非线性映射在矽肺病研究中的应用
作者:李丙瑞 蒋士琦 许树贞 申敬贤
单位:(李丙瑞)兰州大学化学化工学院,甘肃 兰州 730000;(蒋士琦 许树贞 申敬贤)白银公司劳动卫生研究所,甘肃 白银 730900
关键词:矽肺;微量元素;模式识别;非线性映射
中国工业医学杂志990510
摘要:目的 将微量元素谱的非线性映射用于矽肺病研究。方法 以白银公司职工为研究对象。分析42份Ⅰ、Ⅱ、Ⅲ期矽肺患者和41份健康人发样中Cr、Zn、Mg、Al、Cd、Cu、Se、Pb、As、Mn 10种元素。取50份为训练集、33份为预测集。通过权重与相关分析缩减为6参数和5参数组,用非线性映射作模式识别。结果 分类清晰的映射图。结论 微量元素谱的非线性映射技术在矽肺病研究中具有应用前景,但微量元素的选择应考虑具体环境。
, http://www.100md.com
Use of non-linear mapping in diagnosis for silicosis
LI Bing-rui
Department of Chemistry,Lanzhou University,Lanzhou 730000 China;
JIANG Shi-qi XU Shu-zhen SHEN Jing-xian
Occupational Health Institute of Baiyin Nonferrous Metals Cooperation,Baiyin 730900,China
Abstract:Objective To use the pattern of trace elements in non-linear mapping in study on silicosis. Methods Ten kinds of trace elements,including chromium,zinc,magnesium,aluminum,cadmium,copper,selenium,lead,arsenic and manganese,were analyzed in 42 hair specimens from patients with of silicosis stages Ⅰ,Ⅱ and Ⅲ and 41 hair specimens from healthy controls.Fifty specimens were used as a training set and other 33 as a predictive set.Five-parameter and six-parameter groups were compacted with weighted and correlation analysis,and recognized with a non-linear mapping model.Results A non-linear mapping was obtained with clear classification. Conclusion Trace element pattern recognition in hair specimens with non-linear mapping technique can be used in diagnosis for silicosis with promising prospect.But,it is important to choose adequate trace elements to be analyzed in the light of specific condition.
, 百拇医药
Key words:Silicosis;Trace element;Pattern recognition;Non-linear mapping
近年来微量元素与人类疾病关系的研究日益深入。由于拮抗与协同效应等原因,这种关系极为复杂,而计算机模式识别为解决这类难题提供了强有力的手段[1~4]。本文用非线性映射(NLM)模式识别技术研究矽肺病人的发样元素谱,实现了成功的分类。
涉及多因素的观测样本形成高维模式空间中的点集,而人类却只擅长识别三维以下低维空间中的点集分布。非线性映射就是在保持样本间距离变化尽可能小的前提下,将高维模式空间中的点集映射到二维平面进行分类。
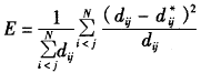
定义误差函数
其中,dij,d*ij分别是高维和二维空间中两点间距离。映射过程力求E极小,最终归结为无约束的非线性规划问题。
, 百拇医药
我们以白银公司矿区职工为研究对象。根据该矿环境特点和病因研究,选择Cr、Zn、Mg、Al、Cd、Cu、Se、Pb、As、Mn 10种元素,用示波极谱与原子吸收光谱分析人发样作非线性映射。分析发样83份,其中健康人发样41份作为对照组,Ⅰ、Ⅱ、Ⅲ期矽肺患者发样共42份;在矽肺患者中,Ⅰ期占79%,以便缩小两组的年龄、环境差异,突出致病因素,且使判别模型具有早期预报的实用价值。从83个样本中抽取50个作为训练集,33个作为预测集。计算结果表明:由上述元素构成的10参数组可实现分类,但包含冗余信息。借助于权重分析与相关分析,可进一步压缩为6参数组{Cr、Zn、Mg、Al、Cd、Cu}、{Cr、Zn、Mg、Se、As、Mn}和5参数组{Cr、Zn、Mg、Al、Cd}、{Zn、Mg、Se、As、Mn}。几种参数组的存在是元素之间复杂相互作用的结果,用{Zn、Mg、Al、Cd、Mn}则得不到成功分类。6参数组{Cr、Zn、Mg、Al、Cd、Cu}映射图见图1(a)、(b)。
, 百拇医药
(a)
(b)
-:矽肺组训练集样本,+:正常组训练集样本
:矽肺组预测集样本,
:正常组预测集样本
图1 {Cr、Zn、Mg、Al、Cd、Cu}映射图
以上结论针对白银矿区而言,对于不同的环境,参数可能存在某些差异,但NLM对矽肺病的研究仍具有重要意义。
(甘肃省人民医院徐秀珍教授对本工作给予热情支持并提出宝贵意见,柴德玲、丁林立、王长凯、赵欣秀、张之芳等同志作了许多测试工作,谨此致谢。)
, 百拇医药
基金项目:甘肃省自然科学基金资助项目(ZR-93-103)
作者简介:李丙瑞(1949—),男,山西原平人,副教授,从事结构化学、量子化学与计算化学的科研与教学。
参考文献
[1]Jurs P C and Isenhour T L,Chemical Application of Pattern Recognition,Wiley,New York,1975.
[2]陈念贻,等.科学通报,1985,30(2):159.
[3]徐辉碧,等.科学通报,1985,30(14):1085~1086.
[4]白遒彬.科学通报,1987,32(21):1678.
收稿日期:1998-08-17;修回日期:1998-11-20, 百拇医药
单位:(李丙瑞)兰州大学化学化工学院,甘肃 兰州 730000;(蒋士琦 许树贞 申敬贤)白银公司劳动卫生研究所,甘肃 白银 730900
关键词:矽肺;微量元素;模式识别;非线性映射
中国工业医学杂志990510
摘要:目的 将微量元素谱的非线性映射用于矽肺病研究。方法 以白银公司职工为研究对象。分析42份Ⅰ、Ⅱ、Ⅲ期矽肺患者和41份健康人发样中Cr、Zn、Mg、Al、Cd、Cu、Se、Pb、As、Mn 10种元素。取50份为训练集、33份为预测集。通过权重与相关分析缩减为6参数和5参数组,用非线性映射作模式识别。结果 分类清晰的映射图。结论 微量元素谱的非线性映射技术在矽肺病研究中具有应用前景,但微量元素的选择应考虑具体环境。
, http://www.100md.com
Use of non-linear mapping in diagnosis for silicosis
LI Bing-rui
Department of Chemistry,Lanzhou University,Lanzhou 730000 China;
JIANG Shi-qi XU Shu-zhen SHEN Jing-xian
Occupational Health Institute of Baiyin Nonferrous Metals Cooperation,Baiyin 730900,China
Abstract:Objective To use the pattern of trace elements in non-linear mapping in study on silicosis. Methods Ten kinds of trace elements,including chromium,zinc,magnesium,aluminum,cadmium,copper,selenium,lead,arsenic and manganese,were analyzed in 42 hair specimens from patients with of silicosis stages Ⅰ,Ⅱ and Ⅲ and 41 hair specimens from healthy controls.Fifty specimens were used as a training set and other 33 as a predictive set.Five-parameter and six-parameter groups were compacted with weighted and correlation analysis,and recognized with a non-linear mapping model.Results A non-linear mapping was obtained with clear classification. Conclusion Trace element pattern recognition in hair specimens with non-linear mapping technique can be used in diagnosis for silicosis with promising prospect.But,it is important to choose adequate trace elements to be analyzed in the light of specific condition.
, 百拇医药
Key words:Silicosis;Trace element;Pattern recognition;Non-linear mapping
近年来微量元素与人类疾病关系的研究日益深入。由于拮抗与协同效应等原因,这种关系极为复杂,而计算机模式识别为解决这类难题提供了强有力的手段[1~4]。本文用非线性映射(NLM)模式识别技术研究矽肺病人的发样元素谱,实现了成功的分类。
涉及多因素的观测样本形成高维模式空间中的点集,而人类却只擅长识别三维以下低维空间中的点集分布。非线性映射就是在保持样本间距离变化尽可能小的前提下,将高维模式空间中的点集映射到二维平面进行分类。
定义误差函数
其中,dij,d*ij分别是高维和二维空间中两点间距离。映射过程力求E极小,最终归结为无约束的非线性规划问题。
, 百拇医药
我们以白银公司矿区职工为研究对象。根据该矿环境特点和病因研究,选择Cr、Zn、Mg、Al、Cd、Cu、Se、Pb、As、Mn 10种元素,用示波极谱与原子吸收光谱分析人发样作非线性映射。分析发样83份,其中健康人发样41份作为对照组,Ⅰ、Ⅱ、Ⅲ期矽肺患者发样共42份;在矽肺患者中,Ⅰ期占79%,以便缩小两组的年龄、环境差异,突出致病因素,且使判别模型具有早期预报的实用价值。从83个样本中抽取50个作为训练集,33个作为预测集。计算结果表明:由上述元素构成的10参数组可实现分类,但包含冗余信息。借助于权重分析与相关分析,可进一步压缩为6参数组{Cr、Zn、Mg、Al、Cd、Cu}、{Cr、Zn、Mg、Se、As、Mn}和5参数组{Cr、Zn、Mg、Al、Cd}、{Zn、Mg、Se、As、Mn}。几种参数组的存在是元素之间复杂相互作用的结果,用{Zn、Mg、Al、Cd、Mn}则得不到成功分类。6参数组{Cr、Zn、Mg、Al、Cd、Cu}映射图见图1(a)、(b)。
, 百拇医药
(a)
(b)
-:矽肺组训练集样本,+:正常组训练集样本
图1 {Cr、Zn、Mg、Al、Cd、Cu}映射图
以上结论针对白银矿区而言,对于不同的环境,参数可能存在某些差异,但NLM对矽肺病的研究仍具有重要意义。
(甘肃省人民医院徐秀珍教授对本工作给予热情支持并提出宝贵意见,柴德玲、丁林立、王长凯、赵欣秀、张之芳等同志作了许多测试工作,谨此致谢。)
, 百拇医药
基金项目:甘肃省自然科学基金资助项目(ZR-93-103)
作者简介:李丙瑞(1949—),男,山西原平人,副教授,从事结构化学、量子化学与计算化学的科研与教学。
参考文献
[1]Jurs P C and Isenhour T L,Chemical Application of Pattern Recognition,Wiley,New York,1975.
[2]陈念贻,等.科学通报,1985,30(2):159.
[3]徐辉碧,等.科学通报,1985,30(14):1085~1086.
[4]白遒彬.科学通报,1987,32(21):1678.
收稿日期:1998-08-17;修回日期:1998-11-20, 百拇医药