一种非线性传染病模型的定性分析
作者:黄 运 新
单位:湖北大学 武汉430062
关键词:非线性传染率;稳定性;周期解
数理医药学杂志990104
摘 要 探讨了一类具有非线性传染率的传染病模型平衡点的稳定性及周期解存在唯一性的条件。
1 模型
记S、I、R分别为一封闭人群中易受感染者、患者、病愈康复者的人数,N=S+I+R为人口总数。
假定:(1)每个个体都有一相同的死亡率μ;
(2)单位时间内每个患者传染的人数为k、I、S(非线性传染率),其中k为大于0的常数;
, 百拇医药
(3)一个易受感染者在与病人进行有效接触后立即被传染,其康复率为常数γ;
(4)患者病愈后具有一定的免疫能力,其免疫率为h。
由以上假设不难导出以下模型:
(1)
其中b(N)为出生率,它是总人口数N的函数。
若假定出生率等于死亡率,即N=S+I+R保持不变,记为N0,则b(N0)=μ*N0。从(1)式中消去S可得
(2)
, 百拇医药
2 平衡点及其性质
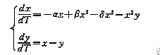
为了使模型具有较为简单的形式,令
则(2)式可变为
(3)
其中
令
可解得
, http://www.100md.com 若记 △=β2-4α(δ+1)
则系统(3)有如下的几个平衡点,O(0,0), A(x1,x1), B(x2,x2)
其中
由线性稳定性判别法不难验证:
当△<0,即β<4α(δ+1)时,系统(3)只有一个稳定结点O(0,0);
当△>0,即β>4α(δ+1)时,A(x1,x1)是系统(3)的一个鞍点。
我们重点考察当△>0即β>4α(δ+1)时,正指标奇点B(x2,x2)的性质。
, 百拇医药
将(3)式在(x2,x2)处展开,忽略非线性项,得线性化系统为
(4)
其中,X=x-x2, Y=Y2-X2、(α-δx22)、-x22分别是f1(x,y)关于x和y的偏导数在x=x2、y=x2处的值。
该线性化系统的特征方程为
(5)
, 百拇医药
显然
当△>0,即β2>4α(δ+1)时
由
,可得
即det(M)>0
由Routh-Hurwitz判据立即可得;
当tr(M)>0时,系统(3)的奇点B(x2,x2)渐近稳定;
当tr(M)<0时,系统(3)的奇点B(x2,x2)不稳定。
, http://www.100md.com
tr(M)=0为临界情形。
3 周期解的存在性
由上述讨论可知系统(3)有两条分枝曲线:
由Hopf分枝理论可得
定理 (1)当δ≥
时,在tr(M)=0的右侧临近(tr(M)<0),系统(3)存在不稳定的周期解;
(2)当
时,在tr(M)=0的左侧临近(tr(M)>0),系统(3)存在稳定的周期解;
, http://www.100md.com
(3)当
时,在tr(M)=0的右侧临近(tr(M)<0),系统(3)存在不稳定的周期解。
证 将(3)作变换,X=x-x2,Y=y-x2得
(6)
由参考文献[1],对(6)式在分枝曲线
上作适当变换可得如下形式:
其中
, http://www.100md.com
因此,当(1)σ≥
时,a>0则由文献[1]知系统(3)的奇点B(x2,x2)不稳定,从而在tr(M)=0的右侧临近,(3)存在不稳定的同期解;
(2)0<δ<
,且
时,a<0,奇点B(x2,x2)渐近稳定,从而在tr(M)=0的左侧临近,(3)存在稳定的周期解;
(3)0<δ<
,
时,a>0,系统(3)的奇点B(x2,x2)不稳定,从而在tr(M)=0的右侧临近,(3)存在不稳定的周期解。
, 百拇医药
参考文献
[1]Guckenleimer. J, Holmes. P, Nonlinear oscillations, Dynamical Systems, and Bifurcations of Vector Fields. Berlin Heidelberg, New York, Tokyo,Springer, 1983.
[2]刘秉正.非线性动力学与混沌基础.东北师大出版社,1994.
[3]陈兰荪.数学生态学模型与研究方法.科学出版社,1988.
收稿日期:1998-07-21, http://www.100md.com
单位:湖北大学 武汉430062
关键词:非线性传染率;稳定性;周期解
数理医药学杂志990104
摘 要 探讨了一类具有非线性传染率的传染病模型平衡点的稳定性及周期解存在唯一性的条件。
1 模型
记S、I、R分别为一封闭人群中易受感染者、患者、病愈康复者的人数,N=S+I+R为人口总数。
假定:(1)每个个体都有一相同的死亡率μ;
(2)单位时间内每个患者传染的人数为k、I、S(非线性传染率),其中k为大于0的常数;
, 百拇医药
(3)一个易受感染者在与病人进行有效接触后立即被传染,其康复率为常数γ;
(4)患者病愈后具有一定的免疫能力,其免疫率为h。
由以上假设不难导出以下模型:
(1)
其中b(N)为出生率,它是总人口数N的函数。
若假定出生率等于死亡率,即N=S+I+R保持不变,记为N0,则b(N0)=μ*N0。从(1)式中消去S可得
(2)
, 百拇医药
2 平衡点及其性质
为了使模型具有较为简单的形式,令
(3)
其中
令
可解得
, http://www.100md.com 若记 △=β2-4α(δ+1)
则系统(3)有如下的几个平衡点,O(0,0), A(x1,x1), B(x2,x2)
其中
由线性稳定性判别法不难验证:
当△<0,即β<4α(δ+1)时,系统(3)只有一个稳定结点O(0,0);
当△>0,即β>4α(δ+1)时,A(x1,x1)是系统(3)的一个鞍点。
我们重点考察当△>0即β>4α(δ+1)时,正指标奇点B(x2,x2)的性质。
, 百拇医药
将(3)式在(x2,x2)处展开,忽略非线性项,得线性化系统为
(4)
其中,X=x-x2, Y=Y2-X2、(α-δx22)、-x22分别是f1(x,y)关于x和y的偏导数在x=x2、y=x2处的值。
该线性化系统的特征方程为
(5)
, 百拇医药
显然
当△>0,即β2>4α(δ+1)时
由
即det(M)>0
由Routh-Hurwitz判据立即可得;
当tr(M)>0时,系统(3)的奇点B(x2,x2)渐近稳定;
当tr(M)<0时,系统(3)的奇点B(x2,x2)不稳定。
, http://www.100md.com
tr(M)=0为临界情形。
3 周期解的存在性
由上述讨论可知系统(3)有两条分枝曲线:
由Hopf分枝理论可得
定理 (1)当δ≥
(2)当
, http://www.100md.com
(3)当
证 将(3)作变换,X=x-x2,Y=y-x2得
(6)
由参考文献[1],对(6)式在分枝曲线
其中
, http://www.100md.com
因此,当(1)σ≥
(2)0<δ<
(3)0<δ<
, 百拇医药
参考文献
[1]Guckenleimer. J, Holmes. P, Nonlinear oscillations, Dynamical Systems, and Bifurcations of Vector Fields. Berlin Heidelberg, New York, Tokyo,Springer, 1983.
[2]刘秉正.非线性动力学与混沌基础.东北师大出版社,1994.
[3]陈兰荪.数学生态学模型与研究方法.科学出版社,1988.
收稿日期:1998-07-21, http://www.100md.com