利用速度方向法简化多普勒效应公式
作者:王刚 王岚
单位:哈尔滨工业大学航天工程与力学系 哈尔滨150086
关键词:多普勒效应;速度方向;频率
数理医药学杂志990260
摘要 采用规定速度方向的方法,使速度变成可正可负的代数量,简化了多普勒效应公式。
多普勒效应研究的是由于声源和观察者相对媒质运动而使观察者接收到的频率发生变化的现象。多普勒效应涉及三个物体:声源、观察者和媒质。无论声源还是观察者运动的大小、方向发生变化,都会引起接收频率的变化。因此,一般物理学教材中[1]的多普勒效应公式比较复杂,叙述也较繁琐。
1 一般教材中多普勒效应的公式表达形式的缺点
, 百拇医药
设声源相对媒质的运动速度为v观察者相对媒质的速度为u,媒质中的声速为c,声源的振动频率与观察者接收到的频率分别为f0与f,多普勒效应公式的一般表达式为
式中分子与分母的符号选取法则是:当声源与观察者相对运动时,分子取“+”号,分母取“-”号;当二者背离运动时,分子取“-”号,分母取“+”号。
上述表达式有以下两个缺点:①公式中含有“+”、“-”号,无论使用还是记忆都不方便。②上述表达结果只包括声源与观察者相对及背离两种运动形式。如二者同向运动,而速度大小不同,则由上式不能给出结果。
2 利用速度方向法简化多普勒效应公式
首先规定速度方向,规定向右为正,向左为负;声源S在左侧,观察者R在右侧,而静止的媒质0在中间,见附图。
, 百拇医药
附图 多普勒效应速度方向图
设声源发出的声波波长及观察者接收到的波长分别为λ0及λ。规定速度方向后得到简化的多普勒效应公式的一般表达式为
式中u,v均为代数量,可正可负。简化后的多普勒效应公式结果简单不再带有正、负号。在不改变已往公式结果的前提下,适用于各种运动情况,以下从几个方面加以证实。
2.1 声源、观察者都静止:f=f0,这点不必解释。
2.2 声源运动、观察者不动:先讨论声源以速度v接近观察者,即v>0,u=0。在一段时间内,声源发出的波数为f0t,声源移动的距离为vt,t=0时发出的波走过距离为ct,而t时刻发出的波则刚出来,因而在0~t时间内所发出的f0t个波将均匀地分布在ct-vt之间,从而观察者接收到的波长为
, http://www.100md.com
而观察者所接收到的声波速度不变,仍为c,因此观察者接收到的频率为
按照上面的分析方法,当声源离开观察者运动时,则v<0,u=0,此时前面提到的(ct-vt)用(ct+|vt|)代替,而ct+|vt|=ct-vt,故上面的结论仍然成立。
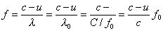
2.3 声源不动、观察者运动:先讨论观察者以速度u离开声源,即u>0,v=0。由于声源不动,故波在媒质中的分布是均匀的,观察者所接收到的波长λ=λ0,而此时由于观察者运动,其所感受到的波速为(c-u),因此观察者接收到的频率为2.3 声源不动、观察者运动:先讨论观察者以速度u离开声源,即u>0,v=0。由于声源不动,故波在媒质中的分布是均匀的,观察者所接收到的波长λ=λ0,而此时由于观察者运动,其所感受到的波速为(c-u),因此观察者接收到的频率为
, 百拇医药
如果观察者向着声源运动,即u<0,则观察者感觉到的波速为c+|u|=c-u,那么,上面的式了仍然成立。
2.4 当声源和观察者均运动时,则观察者接收到的频率为多普勒效应公式的一般表达式
此时根据声源和观察者运动方向的不同,式中的u,v选用不同符号。
3 结束语
通过比较可以看出,利用速度方向法,简化的多普勒效应公式不仅结果表示简单、好记,使用时也很方便、易懂,而且适用范围更具一般性。
参考文献:
1漆安慎,杜婵英,力学基础.北京:高等教育出版社,1982.
收稿日期:1998-11-04, 百拇医药
单位:哈尔滨工业大学航天工程与力学系 哈尔滨150086
关键词:多普勒效应;速度方向;频率
数理医药学杂志990260
摘要 采用规定速度方向的方法,使速度变成可正可负的代数量,简化了多普勒效应公式。
多普勒效应研究的是由于声源和观察者相对媒质运动而使观察者接收到的频率发生变化的现象。多普勒效应涉及三个物体:声源、观察者和媒质。无论声源还是观察者运动的大小、方向发生变化,都会引起接收频率的变化。因此,一般物理学教材中[1]的多普勒效应公式比较复杂,叙述也较繁琐。
1 一般教材中多普勒效应的公式表达形式的缺点
, 百拇医药
设声源相对媒质的运动速度为v观察者相对媒质的速度为u,媒质中的声速为c,声源的振动频率与观察者接收到的频率分别为f0与f,多普勒效应公式的一般表达式为
式中分子与分母的符号选取法则是:当声源与观察者相对运动时,分子取“+”号,分母取“-”号;当二者背离运动时,分子取“-”号,分母取“+”号。
上述表达式有以下两个缺点:①公式中含有“+”、“-”号,无论使用还是记忆都不方便。②上述表达结果只包括声源与观察者相对及背离两种运动形式。如二者同向运动,而速度大小不同,则由上式不能给出结果。
2 利用速度方向法简化多普勒效应公式
首先规定速度方向,规定向右为正,向左为负;声源S在左侧,观察者R在右侧,而静止的媒质0在中间,见附图。
, 百拇医药
附图 多普勒效应速度方向图
设声源发出的声波波长及观察者接收到的波长分别为λ0及λ。规定速度方向后得到简化的多普勒效应公式的一般表达式为
式中u,v均为代数量,可正可负。简化后的多普勒效应公式结果简单不再带有正、负号。在不改变已往公式结果的前提下,适用于各种运动情况,以下从几个方面加以证实。
2.1 声源、观察者都静止:f=f0,这点不必解释。
2.2 声源运动、观察者不动:先讨论声源以速度v接近观察者,即v>0,u=0。在一段时间内,声源发出的波数为f0t,声源移动的距离为vt,t=0时发出的波走过距离为ct,而t时刻发出的波则刚出来,因而在0~t时间内所发出的f0t个波将均匀地分布在ct-vt之间,从而观察者接收到的波长为
, http://www.100md.com
而观察者所接收到的声波速度不变,仍为c,因此观察者接收到的频率为
按照上面的分析方法,当声源离开观察者运动时,则v<0,u=0,此时前面提到的(ct-vt)用(ct+|vt|)代替,而ct+|vt|=ct-vt,故上面的结论仍然成立。
2.3 声源不动、观察者运动:先讨论观察者以速度u离开声源,即u>0,v=0。由于声源不动,故波在媒质中的分布是均匀的,观察者所接收到的波长λ=λ0,而此时由于观察者运动,其所感受到的波速为(c-u),因此观察者接收到的频率为2.3 声源不动、观察者运动:先讨论观察者以速度u离开声源,即u>0,v=0。由于声源不动,故波在媒质中的分布是均匀的,观察者所接收到的波长λ=λ0,而此时由于观察者运动,其所感受到的波速为(c-u),因此观察者接收到的频率为
, 百拇医药
如果观察者向着声源运动,即u<0,则观察者感觉到的波速为c+|u|=c-u,那么,上面的式了仍然成立。
2.4 当声源和观察者均运动时,则观察者接收到的频率为多普勒效应公式的一般表达式
此时根据声源和观察者运动方向的不同,式中的u,v选用不同符号。
3 结束语
通过比较可以看出,利用速度方向法,简化的多普勒效应公式不仅结果表示简单、好记,使用时也很方便、易懂,而且适用范围更具一般性。
参考文献:
1漆安慎,杜婵英,力学基础.北京:高等教育出版社,1982.
收稿日期:1998-11-04, 百拇医药