对《数据库中园形分布资料的处理》一文的补充
作者:丁建生
单位:丁建生(兰州医学院卫生统计教研室 兰州730000)
关键词:
数理医药学杂志000309 中图分类号:TP 311.131 文献标识码:B
文章编号:1004-4337(2000)03-0207-01
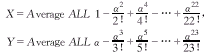
《数理医药学杂志》1997年第10卷第4期刊发的赵宝玉同志的《数据库中园形分布资料的处理》[1]一文,对已建立数据库的园形分布资料来说,在数据库中对园形分布资料直接进行统计处理,无疑是一种方便、简捷的方式,这对于非统计专业的医务、卫生工作者来说,的确是一种较为理想的处理园形分布资料的方法。文中提出了处理园形分布资料中所用到的三角函数可用幂级数展开式作近似计算来代替实际中查表的麻烦过程,这个想法与作法解决了数据库语言中无三角函数这一处理园形分布资料时的障碍,提供了用数据库处理园形分布资料的有效途径。但在具体计算时,作者提出用REPLACE命令反非角度数据字段的数据变换成角度后替换到另一新字段,然后计算:
, 百拇医药
显然作者是用数据库操作命令逐步完成求平均角的,其过程不仅繁琐,而且要算2!,3!,…23!,须经一系列操作后也只能算出cosα,sinα,要算出平均角还得查表或利用计算器,换句话说,仍不能直接算出平均角来。我们对其作法稍加完善,在实际应用时便方便多了。
1 替换到角度字段的内容,直接替换成孤度,原因是三角函数的幂级数展开式中的角度都是孤度。对非角度的园形分布数据,可将非角度数据的字段值转化成角度后替换到新设字段中去(设新字段为JD)。通用操作命令为:Repl all JD with(非角度园形分布数-0.5)/周期。
2 计算平均角可用下列程序完成,文件名为MA.PRG。
set talk off
use yx
X=0
, 百拇医药
Y=0
n=0
do while .not.eof( )
n=n+X2
k=0
jc=1
cosa=0
sina=0
do while k<=10
COSA=COSA+(-1)^K.JD^(2.K)/JC
K=K+1
, 百拇医药
SINA=SINA+(-1)^(K-1).JD^(2.K-1)/(JC.(2.K-1))
T=1
JC=1
DO WHILE T<=2.K
JC=JC.T
T=T+1
ENDDO
DNDDO
X=X+COSA.X2
, 百拇医药 Y=Y+SINA.X2
SKIP
ENDDO
X=X/N
Y=Y/N
K=0
MS=0
DO WHILE K<=10
MS=MS+(-1)^K.Z^(2.K+1)/(2.K+1)
K=K+1
ENDDO
, 百拇医药
MS=MS.180/3.1415926
IF X>0.AND.Y<0
MS=360+MS
ENDIF
IF X<0
MS=180+MS
ENDIF
?"平均角为:",MS
3 程序中计算三角函数的幂级数展开式的项数取了10项,即K≤10,精度已达0.001,若要更高些,可把10改大些便可,其精度几乎可达任何要求,而且直接打出平均角的结果,充分发挥了计算机的优势,而操作更方便、简单。
4 若需进一步计算角的正常值、角的标准差、作两个或多个样本角的Watson与Williams检验,在上述程序中稍加改动便很容易完成。
利用上述作法,经我们实际处理住院病人死亡时间资料、新生儿死亡时间资料及分析,并在预防医学系毕业生专题实习中采用,都取得了很好的效果。
参考文献
1,赵宝玉.数据库中园形分布资料的处理.数理医药学杂志,1997,10(4):321~322.
收稿日期:1999-09-28, 百拇医药
单位:丁建生(兰州医学院卫生统计教研室 兰州730000)
关键词:
数理医药学杂志000309 中图分类号:TP 311.131 文献标识码:B
文章编号:1004-4337(2000)03-0207-01
《数理医药学杂志》1997年第10卷第4期刊发的赵宝玉同志的《数据库中园形分布资料的处理》[1]一文,对已建立数据库的园形分布资料来说,在数据库中对园形分布资料直接进行统计处理,无疑是一种方便、简捷的方式,这对于非统计专业的医务、卫生工作者来说,的确是一种较为理想的处理园形分布资料的方法。文中提出了处理园形分布资料中所用到的三角函数可用幂级数展开式作近似计算来代替实际中查表的麻烦过程,这个想法与作法解决了数据库语言中无三角函数这一处理园形分布资料时的障碍,提供了用数据库处理园形分布资料的有效途径。但在具体计算时,作者提出用REPLACE命令反非角度数据字段的数据变换成角度后替换到另一新字段,然后计算:
, 百拇医药
显然作者是用数据库操作命令逐步完成求平均角的,其过程不仅繁琐,而且要算2!,3!,…23!,须经一系列操作后也只能算出cosα,sinα,要算出平均角还得查表或利用计算器,换句话说,仍不能直接算出平均角来。我们对其作法稍加完善,在实际应用时便方便多了。
1 替换到角度字段的内容,直接替换成孤度,原因是三角函数的幂级数展开式中的角度都是孤度。对非角度的园形分布数据,可将非角度数据的字段值转化成角度后替换到新设字段中去(设新字段为JD)。通用操作命令为:Repl all JD with(非角度园形分布数-0.5)/周期。
2 计算平均角可用下列程序完成,文件名为MA.PRG。
set talk off
use yx
X=0
, 百拇医药
Y=0
n=0
do while .not.eof( )
n=n+X2
k=0
jc=1
cosa=0
sina=0
do while k<=10
COSA=COSA+(-1)^K.JD^(2.K)/JC
K=K+1
, 百拇医药
SINA=SINA+(-1)^(K-1).JD^(2.K-1)/(JC.(2.K-1))
T=1
JC=1
DO WHILE T<=2.K
JC=JC.T
T=T+1
ENDDO
DNDDO
X=X+COSA.X2
, 百拇医药 Y=Y+SINA.X2
SKIP
ENDDO
X=X/N
Y=Y/N
K=0
MS=0
DO WHILE K<=10
MS=MS+(-1)^K.Z^(2.K+1)/(2.K+1)
K=K+1
ENDDO
, 百拇医药
MS=MS.180/3.1415926
IF X>0.AND.Y<0
MS=360+MS
ENDIF
IF X<0
MS=180+MS
ENDIF
?"平均角为:",MS
3 程序中计算三角函数的幂级数展开式的项数取了10项,即K≤10,精度已达0.001,若要更高些,可把10改大些便可,其精度几乎可达任何要求,而且直接打出平均角的结果,充分发挥了计算机的优势,而操作更方便、简单。
4 若需进一步计算角的正常值、角的标准差、作两个或多个样本角的Watson与Williams检验,在上述程序中稍加改动便很容易完成。
利用上述作法,经我们实际处理住院病人死亡时间资料、新生儿死亡时间资料及分析,并在预防医学系毕业生专题实习中采用,都取得了很好的效果。
参考文献
1,赵宝玉.数据库中园形分布资料的处理.数理医药学杂志,1997,10(4):321~322.
收稿日期:1999-09-28, 百拇医药