CT层厚的测量技术及其相关影响因素研究
作者:余晓锷 康立丽 洪德明 杨俊杰 林木炎
单位:余晓锷(510515 广州第一军医大学生物工程医学);康立丽(510515 广州第一军医大学生物工程医学);洪德明(510515 广州第一军医大学生物工程医学);杨俊杰(510515 广州第一军医大生物工程医学)林木炎(510515 广州第一军医大学生物工程医学)
关键词:层厚;方法;体模
放射学实践000317 【摘要】目的:测量CT的层厚,探讨与层厚相关的各项参数。方法:采用3种不同的方法对10台CT进行测试,计算出CT的层厚并测量了不同层厚条件下CT的噪声和空间分辨力。结果:3种测试方法各有优缺点,有多种因素影响CT层厚。结论:必须通过测试校准来确保CT设备层厚的准确性。
Study on the measurement technology for CT slice thickness and pertinent parameters
, 百拇医药
Yu Xiao'e,Kang Lili,Hong Deming,et al.
(Department of BME,Th e First Military Medical University,Guangzhou 510515)
【Abstract】Objective:To study the measurement technique of slice thickness of CT scanners,and discuss pertinent parameters.Methods:three different methods were used and compared to measure and calculate CT slice thickness in 10 sets of computed tomography scanners,and the other par ameters such as noise and spatial resolution were also measured.Results:the methods used have their own advantages and disadvantages.There were many parameters affecting CT slice thickness.Conclusions:CT slice thickness must be measured and calibrated to assure the precision of the CT scanner.
, 百拇医药
【Key words】:Slice thickness Method Phantom
根据发达国家(如美国)的质量保证要求,层厚是CT机QA检测的月检项目,它关系到Z轴分辨力等重要参数[1]。笔者对10台CT的层厚用不同的方法进行了测试,并且测试了不同层厚条件下的噪声和空间分辨力,分析了与CT层厚相关的若干因素。
材料与方法
测试原理:现有体模测量层厚的方法 通常是扫描模体中一斜置或成螺旋状的金属(片),利用几何投影原理,金属丝(片)在 扫描影像上的长度(CT值分布曲线的半高宽)乘以金属丝(片)与扫描平面夹角的正切即为 层厚。如果在模体中放置的是螺旋状的金属丝(片),则通过影像弧度推算层厚。
受检设备:共检测10台CT设备,设备型号包括有GEMAX640、SOMATOM AR.T、GE Sytec 3000 、Picker I.Qxtra、GE Sytec S、GE HiSpeed CT/I(螺旋)。
, 百拇医药
检测方法:①采用斜面(线)法测量层厚[2](图1)。
图1 斜面法测量层厚Z。
美国体模实验室生产的Catphan体模可以用斜面法和交叉斜面法来测量CT层厚。该体模的层厚测试模块内嵌有一定方向的钨丝,斜线与模块上下底面的夹角为23°,扫描层的厚度为Zmm,斜线的像长度X是扫描层内斜线真实长度在模块底面平行的平面上的投影。因此,Z=X.t an23°。在实际应用中,采用设备的标准头部扫描条件,对层厚模块进行扫描。在体模位置 摆正的前提下,扫描所得的图像如图1所示。对图1,将窗宽调到最窄,窗位调到等于图像和背景CT值的平均值,调用设备所带的测距(distance)功能测量上、下、左、右4条线的长度,取其平均值,把所得平均值乘以tan23°(0.42),即得出层厚的实测值。或者无需调节窗宽窗位,调用设备自身所带的灵敏度剖面线(Sensitivity Profile)功能得出上、下、左、右4条线段在Z轴方向上的灵敏度曲线,分别测量层灵敏度剖面线的半高宽,取4条半高宽的平均值再乘以夹角的正切值,即等于层厚的实测值。
, 百拇医药
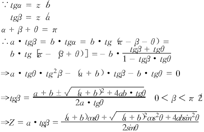
②利用交叉金属斜面(线)测量层厚(图2)。
图2 交叉斜面(线)测量层厚Z。
交叉斜面(线)测量层厚模块是在体模内置有相交成一定角度的斜面(线)。如图2所示,用双斜面测层厚时,假定两斜面夹角为θ,CT像上两斜面投影像灵敏度曲线的半高宽分别为a和b,则断层的厚度可以由下面推导得出:
③利用部分体积效应(Partial Volume Effect:PVE)测量层厚[3](图3)。
图3 PVE法 测量层厚Z。
Junji Shiraishi提出根据PVE原理测量层厚的新方法。如图3所示,断层跨越两种不同CT值 材料A和B的界面,位置1,A在断层内的厚度为X1,图象的CT值为CTX1;位置2,A在断层 内的厚度为X2,图象的CT值为CTX2。断层仅在A或仅在B中时图象CT值分别为CTa和CT b,P=|x1-x2|,则层厚Z为:
, 百拇医药
Z=P|CTa-CTb|/|CTx1-CTx2|
即在设定层厚下做4次扫描,在CT像上相当尺寸ROI上测得CTa、CTb、CTx1、CTx2 ,实际测量位置1、2床移动的距离P,由上式就可算出层厚。
表1 10台CT测试条件和层厚实测值(mm) 测试条件
实测层厚
mA
kV
扫描 时间(s)
标称层厚
, 百拇医药
方法1
方法2
55
120
4.8
10
9.66
9.77
70
130
3.3
10
9.14
, 百拇医药
9.24
80
120
5.0
10
10.08
10.20
70
130
3.0
10
9.35
9.46
, 百拇医药
60
120
3.6
10
9.91
10.03
55
120
4.8
10
9.74
9.81
45
, 百拇医药
130
3.0
10
9.56
9.66
120
140
1.0
10
9.66
9.78
50
120
, http://www.100md.com
4.0
10
6.93
6.59
80
125
4.0
8
6.51
7.02
实验时,体模置于扫描孔中心,棒与扫描孔同轴,无床、机架倾斜。用标称层厚在有机玻璃 和PVC棒中各扫一幅图像;在有机玻璃和PVC棒界面处扫两幅图像,两次扫描床移动一定距离 ,移动距离用卡尺测量。在棒的图像中心选直径2cm的ROI测CT值。
, 百拇医药
结果
10台CT设备的标称层厚、测试条件及由方法1和方法2测量计算出的实际层厚 值列于表1。目前国家有关CT规范规定CT设备层厚(≥5mm)的范围在±15%之间,也就 是对于标称层厚为10mm的CT设备其层厚允许范围为8.5~11.5mm之间,标称层厚为8mm的设备 层厚的允许范围为6.8~9.2mm之间。由表1可以看出,如用方法1所得的结果衡量,设备9和 设备10的层厚都不合格。如用方法2的结果衡量,则只有设备9的层厚指标不合格。表2列出 了CT设备不同层厚下的噪声测量值和高对比度分辨力结果。从表中可以得出,其它条件相同 的前提下,层厚越薄,噪声值越大。
讨论
1.3种测量方法的比较。①斜面(线)法比较简单实用。在测量时只需利用设备测距功能或灵敏度剖面线功能测出投影的长度,乘上一个系数即为实测的层厚值。但它在使用过程中要求模块位置必须与进床位置正交,否则会影响测量结果的精确性。方法2计算起来比较复杂 ,但它可以消除斜面摆放的方向误差,所得的结果比较可靠。事实上方法1是方法2的一个特 例。②设备的重建算法会影响方法1和方法2的测试结果。因为重建算法不同,灵敏度曲线形 状不同,所测得的层厚值也会有差异。③PVE方法测层厚假定理想边界的断层,与重建算法 无关。在图像上选足够大ROI测CT值,将噪声的起伏平均掉,具有测量精确、重复性好的特 点。但这种方法的缺点是扫描模体的层面比较多(至少要扫4个层面),不象前两种方法, 仅需一次扫描即可。
, 百拇医药
2.斜面测试法中斜置角度[4]和交叉斜面测试法中层面厚度的考虑。早期用于测试 层厚的模块中金属丝放置的角度一般为45°,这样使得CT分布曲线的半高宽与所测层厚是1 ∶1的关系,降低了层厚检测的精度,后来层厚检测模块采用了23°斜置金属丝,层厚检测 影像上金属丝长度方向CT分布曲线半高宽为层厚的2.5倍,层厚检测的精度提高了,这 对于高档机中薄层扫描的层厚检测更为有利。用交叉斜面方法测量层厚时,所用的斜面应尽 量薄,但考虑其投影像的信噪比要求,取其厚度小于最小层厚的20%即可。
表2 10台CT不同层厚(mm)下的噪声和空间分辨力结果 10
8
5
4
3
, 百拇医药 2
N
RES
N
RES
N
RES
N
RES
N
RES
N
RES
3.18
, http://www.100md.com
6
/
/
4.65
/
/
/
/
/
6.43
6
2.30
6
/
, 百拇医药
/
3.20
6
/
/
/
/
5.40
6
2.00
6
/
/
3.20
, http://www.100md.com
6
/
/
4.60
6
/
2.80
6
/
/
4.20
6
/
/
, http://www.100md.com
/
/
6.90
6
2.20
6
/
/
2.50
6
/
/
/
/
, 百拇医药
4.40
6
3.26
6
/
/
4.73
6
/
/
/
/
6.45
6
, 百拇医药
3.65
6
/
/
5.11
6
/
/
/
/
7.95
6
3.80
7
, 百拇医药
/
/
5.51
7
/
/
6.58
6
/
/
4.71
5
/
/
, http://www.100md.com
/
/
5.66
5
/
/
/
/
/
/
3.18
5
/
/
, 百拇医药
5.75
5
/
/
10.77
5
备注:表中N代表噪声(%),RES代表空间分辨力(线对/ 厘米),/代表没有所选层厚条件下的噪声或空间分辨力值。
3.层厚与Z轴 纵向分辨力的关系。CT在Z轴上 的分辨力由实际的层厚宽度决定,而这个层面宽度又由层灵敏度剖面线(SSP)决定。 理想状态下,CT扫描设备的SSP应为矩形,也就是说,在层面宽度内有射线穿过,而在层面 宽度之外完全不接受射线。然而,在实际应用中,SSP所呈现的形态不是矩形,而是呈一正 态分布。不同设备的SSP形状不同,同一设备条件相异时SSP形状也不尽相同。层厚和层面间 距决定CT设备的Z轴分辨力,Z轴分辨力通常为层厚或层面间隔的两倍。
, 百拇医药
4.层厚与空间分辨力及密度分辨力的关系。理论上层厚越薄,空间分辨力越好。但在体模测试的实验中,当层厚由10mm变至2mm时,空间分辨力变化并不明显,这是因为测试体模在 纵向变化不大的缘故。换句话说,也就是层厚的厚薄决定了Z轴方向的分辨力,而X-Y平面的分辨力与层厚的关系并不大,决定X-Y平面的分辨力主要是探测器的间隔及探测器的孔径大小等等。层厚越薄,噪声越大,密度分辨力就会降低;而且由于切层薄,扫描的层数就会增加,病人接收的X线剂量的总量增加。现在CT扫描最薄层厚为0.5mm,仅仅在某些特定检测条件下使用。
5.层厚与剂量的关系讨论。一般窄的层厚剂量损失较大,宽的层厚剂量损失较小。采用相同的mA、kV、扫描时间来成像,探测器的光子数随着层厚的加宽而线性的增加。例如,把层厚从1mm增大到3mm,则探测器的光子数也将增加3倍。小的层厚可以改善空间分辨力,并且 可以减小容积伪影。降低层厚通常会导致半影的相对增加,这样就会令剂量得不到充分的利 用。
6.层厚与放射治疗的关系。从某种程度上说,层厚这项参数精确与否最直接的影响是表现在放射治疗上。由于一般放射治疗采用CT图像来定位,如果层厚值不精确,势必会影响对实施放疗的范围大小,这样导致的严重后果是要么患者的肿瘤组织不能得到照射治疗,要么病人的正常组织无谓地被照射到,两种情况都会损害到患者的切身利益。
, http://www.100md.com
参考文献
1,Pei-Jan Paul Lin,Thomas J.Beck.Specification And Acceptance Testing Of Computed Tomography Scanners[J].AAPM REPORT,No.39.
2,冯小刚,林意群,余晓锷,等.CT机的性能检测和临床照片评估[J].中国医学影像学杂志,1997,7∶220-224.
3,Junji,Kazuyoshi,Yasuto O.Measurement of CT Section Thickness by Using the Partial Volume Effect[J].Radiology.1992,184∶870-872.
4,吴毅,杜国生,田中青.CT性能检测体模及检测方法[J].世界医疗器械,1999,6(4)∶58-62.
收稿日期:1999-12-08, 百拇医药
单位:余晓锷(510515 广州第一军医大学生物工程医学);康立丽(510515 广州第一军医大学生物工程医学);洪德明(510515 广州第一军医大学生物工程医学);杨俊杰(510515 广州第一军医大生物工程医学)林木炎(510515 广州第一军医大学生物工程医学)
关键词:层厚;方法;体模
放射学实践000317 【摘要】目的:测量CT的层厚,探讨与层厚相关的各项参数。方法:采用3种不同的方法对10台CT进行测试,计算出CT的层厚并测量了不同层厚条件下CT的噪声和空间分辨力。结果:3种测试方法各有优缺点,有多种因素影响CT层厚。结论:必须通过测试校准来确保CT设备层厚的准确性。
Study on the measurement technology for CT slice thickness and pertinent parameters
, 百拇医药
Yu Xiao'e,Kang Lili,Hong Deming,et al.
(Department of BME,Th e First Military Medical University,Guangzhou 510515)
【Abstract】Objective:To study the measurement technique of slice thickness of CT scanners,and discuss pertinent parameters.Methods:three different methods were used and compared to measure and calculate CT slice thickness in 10 sets of computed tomography scanners,and the other par ameters such as noise and spatial resolution were also measured.Results:the methods used have their own advantages and disadvantages.There were many parameters affecting CT slice thickness.Conclusions:CT slice thickness must be measured and calibrated to assure the precision of the CT scanner.
, 百拇医药
【Key words】:Slice thickness Method Phantom
根据发达国家(如美国)的质量保证要求,层厚是CT机QA检测的月检项目,它关系到Z轴分辨力等重要参数[1]。笔者对10台CT的层厚用不同的方法进行了测试,并且测试了不同层厚条件下的噪声和空间分辨力,分析了与CT层厚相关的若干因素。
材料与方法
测试原理:现有体模测量层厚的方法 通常是扫描模体中一斜置或成螺旋状的金属(片),利用几何投影原理,金属丝(片)在 扫描影像上的长度(CT值分布曲线的半高宽)乘以金属丝(片)与扫描平面夹角的正切即为 层厚。如果在模体中放置的是螺旋状的金属丝(片),则通过影像弧度推算层厚。
受检设备:共检测10台CT设备,设备型号包括有GEMAX640、SOMATOM AR.T、GE Sytec 3000 、Picker I.Qxtra、GE Sytec S、GE HiSpeed CT/I(螺旋)。
, 百拇医药
检测方法:①采用斜面(线)法测量层厚[2](图1)。
图1 斜面法测量层厚Z。
美国体模实验室生产的Catphan体模可以用斜面法和交叉斜面法来测量CT层厚。该体模的层厚测试模块内嵌有一定方向的钨丝,斜线与模块上下底面的夹角为23°,扫描层的厚度为Zmm,斜线的像长度X是扫描层内斜线真实长度在模块底面平行的平面上的投影。因此,Z=X.t an23°。在实际应用中,采用设备的标准头部扫描条件,对层厚模块进行扫描。在体模位置 摆正的前提下,扫描所得的图像如图1所示。对图1,将窗宽调到最窄,窗位调到等于图像和背景CT值的平均值,调用设备所带的测距(distance)功能测量上、下、左、右4条线的长度,取其平均值,把所得平均值乘以tan23°(0.42),即得出层厚的实测值。或者无需调节窗宽窗位,调用设备自身所带的灵敏度剖面线(Sensitivity Profile)功能得出上、下、左、右4条线段在Z轴方向上的灵敏度曲线,分别测量层灵敏度剖面线的半高宽,取4条半高宽的平均值再乘以夹角的正切值,即等于层厚的实测值。
, 百拇医药
②利用交叉金属斜面(线)测量层厚(图2)。
图2 交叉斜面(线)测量层厚Z。
交叉斜面(线)测量层厚模块是在体模内置有相交成一定角度的斜面(线)。如图2所示,用双斜面测层厚时,假定两斜面夹角为θ,CT像上两斜面投影像灵敏度曲线的半高宽分别为a和b,则断层的厚度可以由下面推导得出:
图3 PVE法 测量层厚Z。
Junji Shiraishi提出根据PVE原理测量层厚的新方法。如图3所示,断层跨越两种不同CT值 材料A和B的界面,位置1,A在断层内的厚度为X1,图象的CT值为CTX1;位置2,A在断层 内的厚度为X2,图象的CT值为CTX2。断层仅在A或仅在B中时图象CT值分别为CTa和CT b,P=|x1-x2|,则层厚Z为:
, 百拇医药
Z=P|CTa-CTb|/|CTx1-CTx2|
即在设定层厚下做4次扫描,在CT像上相当尺寸ROI上测得CTa、CTb、CTx1、CTx2 ,实际测量位置1、2床移动的距离P,由上式就可算出层厚。
表1 10台CT测试条件和层厚实测值(mm) 测试条件
实测层厚
mA
kV
扫描 时间(s)
标称层厚
, 百拇医药
方法1
方法2
55
120
4.8
10
9.66
9.77
70
130
3.3
10
9.14
, 百拇医药
9.24
80
120
5.0
10
10.08
10.20
70
130
3.0
10
9.35
9.46
, 百拇医药
60
120
3.6
10
9.91
10.03
55
120
4.8
10
9.74
9.81
45
, 百拇医药
130
3.0
10
9.56
9.66
120
140
1.0
10
9.66
9.78
50
120
, http://www.100md.com
4.0
10
6.93
6.59
80
125
4.0
8
6.51
7.02
实验时,体模置于扫描孔中心,棒与扫描孔同轴,无床、机架倾斜。用标称层厚在有机玻璃 和PVC棒中各扫一幅图像;在有机玻璃和PVC棒界面处扫两幅图像,两次扫描床移动一定距离 ,移动距离用卡尺测量。在棒的图像中心选直径2cm的ROI测CT值。
, 百拇医药
结果
10台CT设备的标称层厚、测试条件及由方法1和方法2测量计算出的实际层厚 值列于表1。目前国家有关CT规范规定CT设备层厚(≥5mm)的范围在±15%之间,也就 是对于标称层厚为10mm的CT设备其层厚允许范围为8.5~11.5mm之间,标称层厚为8mm的设备 层厚的允许范围为6.8~9.2mm之间。由表1可以看出,如用方法1所得的结果衡量,设备9和 设备10的层厚都不合格。如用方法2的结果衡量,则只有设备9的层厚指标不合格。表2列出 了CT设备不同层厚下的噪声测量值和高对比度分辨力结果。从表中可以得出,其它条件相同 的前提下,层厚越薄,噪声值越大。
讨论
1.3种测量方法的比较。①斜面(线)法比较简单实用。在测量时只需利用设备测距功能或灵敏度剖面线功能测出投影的长度,乘上一个系数即为实测的层厚值。但它在使用过程中要求模块位置必须与进床位置正交,否则会影响测量结果的精确性。方法2计算起来比较复杂 ,但它可以消除斜面摆放的方向误差,所得的结果比较可靠。事实上方法1是方法2的一个特 例。②设备的重建算法会影响方法1和方法2的测试结果。因为重建算法不同,灵敏度曲线形 状不同,所测得的层厚值也会有差异。③PVE方法测层厚假定理想边界的断层,与重建算法 无关。在图像上选足够大ROI测CT值,将噪声的起伏平均掉,具有测量精确、重复性好的特 点。但这种方法的缺点是扫描模体的层面比较多(至少要扫4个层面),不象前两种方法, 仅需一次扫描即可。
, 百拇医药
2.斜面测试法中斜置角度[4]和交叉斜面测试法中层面厚度的考虑。早期用于测试 层厚的模块中金属丝放置的角度一般为45°,这样使得CT分布曲线的半高宽与所测层厚是1 ∶1的关系,降低了层厚检测的精度,后来层厚检测模块采用了23°斜置金属丝,层厚检测 影像上金属丝长度方向CT分布曲线半高宽为层厚的2.5倍,层厚检测的精度提高了,这 对于高档机中薄层扫描的层厚检测更为有利。用交叉斜面方法测量层厚时,所用的斜面应尽 量薄,但考虑其投影像的信噪比要求,取其厚度小于最小层厚的20%即可。
表2 10台CT不同层厚(mm)下的噪声和空间分辨力结果 10
8
5
4
3
, 百拇医药 2
N
RES
N
RES
N
RES
N
RES
N
RES
N
RES
3.18
, http://www.100md.com
6
/
/
4.65
/
/
/
/
/
6.43
6
2.30
6
/
, 百拇医药
/
3.20
6
/
/
/
/
5.40
6
2.00
6
/
/
3.20
, http://www.100md.com
6
/
/
4.60
6
/
2.80
6
/
/
4.20
6
/
/
, http://www.100md.com
/
/
6.90
6
2.20
6
/
/
2.50
6
/
/
/
/
, 百拇医药
4.40
6
3.26
6
/
/
4.73
6
/
/
/
/
6.45
6
, 百拇医药
3.65
6
/
/
5.11
6
/
/
/
/
7.95
6
3.80
7
, 百拇医药
/
/
5.51
7
/
/
6.58
6
/
/
4.71
5
/
/
, http://www.100md.com
/
/
5.66
5
/
/
/
/
/
/
3.18
5
/
/
, 百拇医药
5.75
5
/
/
10.77
5
备注:表中N代表噪声(%),RES代表空间分辨力(线对/ 厘米),/代表没有所选层厚条件下的噪声或空间分辨力值。
3.层厚与Z轴 纵向分辨力的关系。CT在Z轴上 的分辨力由实际的层厚宽度决定,而这个层面宽度又由层灵敏度剖面线(SSP)决定。 理想状态下,CT扫描设备的SSP应为矩形,也就是说,在层面宽度内有射线穿过,而在层面 宽度之外完全不接受射线。然而,在实际应用中,SSP所呈现的形态不是矩形,而是呈一正 态分布。不同设备的SSP形状不同,同一设备条件相异时SSP形状也不尽相同。层厚和层面间 距决定CT设备的Z轴分辨力,Z轴分辨力通常为层厚或层面间隔的两倍。
, 百拇医药
4.层厚与空间分辨力及密度分辨力的关系。理论上层厚越薄,空间分辨力越好。但在体模测试的实验中,当层厚由10mm变至2mm时,空间分辨力变化并不明显,这是因为测试体模在 纵向变化不大的缘故。换句话说,也就是层厚的厚薄决定了Z轴方向的分辨力,而X-Y平面的分辨力与层厚的关系并不大,决定X-Y平面的分辨力主要是探测器的间隔及探测器的孔径大小等等。层厚越薄,噪声越大,密度分辨力就会降低;而且由于切层薄,扫描的层数就会增加,病人接收的X线剂量的总量增加。现在CT扫描最薄层厚为0.5mm,仅仅在某些特定检测条件下使用。
5.层厚与剂量的关系讨论。一般窄的层厚剂量损失较大,宽的层厚剂量损失较小。采用相同的mA、kV、扫描时间来成像,探测器的光子数随着层厚的加宽而线性的增加。例如,把层厚从1mm增大到3mm,则探测器的光子数也将增加3倍。小的层厚可以改善空间分辨力,并且 可以减小容积伪影。降低层厚通常会导致半影的相对增加,这样就会令剂量得不到充分的利 用。
6.层厚与放射治疗的关系。从某种程度上说,层厚这项参数精确与否最直接的影响是表现在放射治疗上。由于一般放射治疗采用CT图像来定位,如果层厚值不精确,势必会影响对实施放疗的范围大小,这样导致的严重后果是要么患者的肿瘤组织不能得到照射治疗,要么病人的正常组织无谓地被照射到,两种情况都会损害到患者的切身利益。
, http://www.100md.com
参考文献
1,Pei-Jan Paul Lin,Thomas J.Beck.Specification And Acceptance Testing Of Computed Tomography Scanners[J].AAPM REPORT,No.39.
2,冯小刚,林意群,余晓锷,等.CT机的性能检测和临床照片评估[J].中国医学影像学杂志,1997,7∶220-224.
3,Junji,Kazuyoshi,Yasuto O.Measurement of CT Section Thickness by Using the Partial Volume Effect[J].Radiology.1992,184∶870-872.
4,吴毅,杜国生,田中青.CT性能检测体模及检测方法[J].世界医疗器械,1999,6(4)∶58-62.
收稿日期:1999-12-08, 百拇医药