肺底积液的X线诊断及积液量的计算
作者:戴学英 孙玉发
单位:
戴学英(224300 江苏省射阳县人民医院);孙玉发(224300 江苏省射阳县人民医院)
关键词:
放射学实践000340 肺底积液是胸腔积液的一种特殊形式。是指液体积聚于肺底与横膈之间的胸膜腔内。有包裹性与非包裹性之分。本文讨论非包裹性肺底积液的X线表现及液体量的计算。
材料及方法
本文收集肺底积液30例,其中男13例,女17例,病变部位全部发生在右侧。分别摄有胸部直立后前位,仰卧后前位,仰卧健侧抬高位及侧卧水平后前位片,25例并摄有直立侧位片。
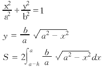
在直立后前位片上测定中线至腋缘方向的胸腔内径(a),在侧位片上测定胸腔最大前后内径(2b),在侧卧水平后前位片上测得液面腋缘内壁之距离称为液面高(h),液面由膈至肺尖的距离称之为液面长度(L)。然后利用标准椭圆方程计算相应高度的胸腔截面积(s),并计算相应液面长度的积液量。将经B超定位导引穿刺抽取的液体量与计算量相比较,并统计处理。
, http://www.100md.com
图1 各径线及截面积示意图。
结 果
经B超定位导引穿刺抽取的积液量与计算量相比较并经统计学处理 P>0.05,无显著性差异。
肺底积液的X线征象有:
在直立后前位上可见到“假膈顶升高征”。液体模仿了横膈,形成了膈顶升高的假象。但此时升高了的假横膈其最高点外移,患侧肋膈角及心膈角变浅。
患侧心缘部分淹没征。
患侧下野肺纹理在假横膈平面突然中断消失,或下肺野纹理密集,招高,走向趋向水平。下野因受压而肺实质透亮度减低,肺门影可增浓,可伴有肺不张。
水平叶间胸膜增厚且呈拱形改变。或伴有叶间胸膜腔少量积液。假横膈与水平叶间胸膜之间距离缩短。
, 百拇医药
部分病例可同时伴有胸膜腔少量游离积液。
直立侧位时见患侧的假膈影后缘 上翘。
仰卧位时非包裹性肺底积液可均匀分布于背侧胸膜腔内,使整个患侧肺野透亮度减低,而使真正的膈顶得以显示。如健侧抬高适当位置可使液体流入叶间胸膜腔内。
侧卧水平后前位投照时,液体聚集于侧胸壁的胸膜腔内,形成一个液平面。
图2 侧卧水平后前位测得液面高 度及长度。
计算原理及方法 按照上述方法测得胸腔内径及前后内径,液面高度及长度,根据标准椭圆方程求得相应高度的胸腔截面积S。
, http://www.100md.com
以液面相应高度的截面积S乘以液面长度L另加上120ml即为该肺底积液的计算量(120ml常数 是根据郭清涛氏动物实验证明胸腔内有120ml液体时方能在侧卧水平上显示,中华放射学杂志1959,3∶186)
此计算量只是粗略的估计。如果每个病例都用定积分计算耗时甚多,为了简便起见,我们将 通常中等身材人胸腔前后内径为15cm,人体中轴线至腋缘方向的胸腔内径为12cm,则上式为 :
将液面高度h从1至11cm分别代入上式方程则解得如下常数表: h(cm)
S(cm2)
h(cm)
S(cm2)
, 百拇医药
h(cm)
S(cm2)
1.0
4.0
4.5
36.7
8.0
(82.5
1.5
7.5
5.0
42.7
8.5
, 百拇医药
(89.6
2.0
11.3
5.5
49.0
9.0
96.8
2.5
15.7
6.0
55.3
9.5
104.4
, http://www.100md.com
3.0
20.5
6.5
61.9
10.0
111.5
3.5
25.5
7.0
68.6
10.5
119.0
4.0
, http://www.100md.com
31.0
7.5
75.5
11.0
126.4
这样只要在侧卧水平后前位片上测及液面高度及长度即可计算出肺底积液的积液量。例如:在侧卧水平后前位上测得液面高度为6cm,液面长度为19cm,从上表中查得液面高6cm时的胸腔相应截面积为55.3cm2,则粗略估计积液量为:
55.3×19+120=1170(ml) 收稿日期:1999-07-05, http://www.100md.com
单位:
戴学英(224300 江苏省射阳县人民医院);孙玉发(224300 江苏省射阳县人民医院)
关键词:
放射学实践000340 肺底积液是胸腔积液的一种特殊形式。是指液体积聚于肺底与横膈之间的胸膜腔内。有包裹性与非包裹性之分。本文讨论非包裹性肺底积液的X线表现及液体量的计算。
材料及方法
本文收集肺底积液30例,其中男13例,女17例,病变部位全部发生在右侧。分别摄有胸部直立后前位,仰卧后前位,仰卧健侧抬高位及侧卧水平后前位片,25例并摄有直立侧位片。
在直立后前位片上测定中线至腋缘方向的胸腔内径(a),在侧位片上测定胸腔最大前后内径(2b),在侧卧水平后前位片上测得液面腋缘内壁之距离称为液面高(h),液面由膈至肺尖的距离称之为液面长度(L)。然后利用标准椭圆方程计算相应高度的胸腔截面积(s),并计算相应液面长度的积液量。将经B超定位导引穿刺抽取的液体量与计算量相比较,并统计处理。
, http://www.100md.com
图1 各径线及截面积示意图。
结 果
经B超定位导引穿刺抽取的积液量与计算量相比较并经统计学处理 P>0.05,无显著性差异。
肺底积液的X线征象有:
在直立后前位上可见到“假膈顶升高征”。液体模仿了横膈,形成了膈顶升高的假象。但此时升高了的假横膈其最高点外移,患侧肋膈角及心膈角变浅。
患侧心缘部分淹没征。
患侧下野肺纹理在假横膈平面突然中断消失,或下肺野纹理密集,招高,走向趋向水平。下野因受压而肺实质透亮度减低,肺门影可增浓,可伴有肺不张。
水平叶间胸膜增厚且呈拱形改变。或伴有叶间胸膜腔少量积液。假横膈与水平叶间胸膜之间距离缩短。
, 百拇医药
部分病例可同时伴有胸膜腔少量游离积液。
直立侧位时见患侧的假膈影后缘 上翘。
仰卧位时非包裹性肺底积液可均匀分布于背侧胸膜腔内,使整个患侧肺野透亮度减低,而使真正的膈顶得以显示。如健侧抬高适当位置可使液体流入叶间胸膜腔内。
侧卧水平后前位投照时,液体聚集于侧胸壁的胸膜腔内,形成一个液平面。
图2 侧卧水平后前位测得液面高 度及长度。
计算原理及方法 按照上述方法测得胸腔内径及前后内径,液面高度及长度,根据标准椭圆方程求得相应高度的胸腔截面积S。
, http://www.100md.com
以液面相应高度的截面积S乘以液面长度L另加上120ml即为该肺底积液的计算量(120ml常数 是根据郭清涛氏动物实验证明胸腔内有120ml液体时方能在侧卧水平上显示,中华放射学杂志1959,3∶186)
此计算量只是粗略的估计。如果每个病例都用定积分计算耗时甚多,为了简便起见,我们将 通常中等身材人胸腔前后内径为15cm,人体中轴线至腋缘方向的胸腔内径为12cm,则上式为 :
将液面高度h从1至11cm分别代入上式方程则解得如下常数表: h(cm)
S(cm2)
h(cm)
S(cm2)
, 百拇医药
h(cm)
S(cm2)
1.0
4.0
4.5
36.7
8.0
(82.5
1.5
7.5
5.0
42.7
8.5
, 百拇医药
(89.6
2.0
11.3
5.5
49.0
9.0
96.8
2.5
15.7
6.0
55.3
9.5
104.4
, http://www.100md.com
3.0
20.5
6.5
61.9
10.0
111.5
3.5
25.5
7.0
68.6
10.5
119.0
4.0
, http://www.100md.com
31.0
7.5
75.5
11.0
126.4
这样只要在侧卧水平后前位片上测及液面高度及长度即可计算出肺底积液的积液量。例如:在侧卧水平后前位上测得液面高度为6cm,液面长度为19cm,从上表中查得液面高6cm时的胸腔相应截面积为55.3cm2,则粗略估计积液量为:
55.3×19+120=1170(ml) 收稿日期:1999-07-05, http://www.100md.com