广东省老年人失牙、义齿修复状况和咬牙对
作者:林焕彩 刘建伟 卢展民 张和光
单位:中山医科大学光华口腔医院预防科, 广东 广州 510055
关键词:失牙;牙修复体;牙健康调查;老年人
中山医科大学学报000424
摘 要:【目的】 描述广东省老年人失牙、指征失牙(有拔牙指征的牙齿)、义齿修复情况和咬
牙对,并分析影响失牙的因素。【方法】 通过多阶段整群抽样抽取65~74岁老年人1 515人,经培训人员进行问卷调查并按世界卫生组织标准进行临床检查。【结果】 平均失牙数11.9颗,指征失牙数2.5颗,农村老人有较多指征失牙。协方差分析结果表明失牙与社会经济因素和性别有关。无牙老年人占4%。有义齿老年人只有47%。仅有49%老年人有8对以上咬
牙对。【结论】 广东省老年人中约一半牙列功能低于可接受水平,需努力保存他们的自然牙齿。
, 百拇医药
中图分类号:R780.1 文献标识码: A
文章编号:1000-257X(2000)04-0310-04
Tooth Loss, Prosthetic Status and Occluding Pairs among
the Elderly of Guangdong, China
LIN Huan-cai, LIU Jiang-wei, LO ECM, ZHANG He-guang
(Guanghua Stomatological Hospital, Sun Yat-sen University of Medical Sciences, Guangzhou 510055, China)
, 百拇医药
Abstract:【Objective】 To describe tooth loss, teeth indicated for extraction, dental prosthetic status, and occluding tooth pairs among the elderly residents of Guangdong Province, China and to investigate any factors affecting tooth mortality. 【Methods】 The study sample consisted of 1 515 65~74-year-old subjects recruited through multi-stage cluster sampling. The subjects were interviewed by trained interviewers. Clinical examination procedures and diagnostic criteria used following those recommended by World Health Organization. 【Results】 Mean number of missing teeth (MT) and teeth indicated for extraction (IMT) were found to be 11.9 and 2.5. Greater IMT were found in rural residents. ANCOVA analysis indicated that tooth loss was associated with socio-economic factors and gender. 4% of the elderly were completely edentulous and 47% of the elderly were found to have dental prostheses in either jaw. Only 49% of the elderly had eight or more occluding tooth pairs. 【Conclusion】 The functions of the dentitions of around half of Guangdong elderly were not acceptable and effort should be made to reserve their natural teeth.
, 百拇医药
Key words:tooth loss; dental prosthesis; dental health surveys; aged
失牙的状况能反映口腔疾病的严重情况和牙科服务使用。失牙的方式有两种:一种是牙齿牙周疾病的发展导致牙齿自动脱落,另一种是医生将其拔除。后一种方式与牙科治疗服务密切相关。发展中国家居民,尤其是居住于农村者较少接受牙科治疗。所以,可以假定他们口腔中有较多应该拔除而没有拔除的牙齿。研究者在描述发展中国家居民失牙情况时曾提到“指征失牙”(Teeth indicated for extraction) 这一概念,它是指临床上需要拔除而仍存留的牙齿[1]。当评估牙列的功能时,咬牙 合牙对(Occluding tooth pairs)应该比存留牙数更加直接。Kyser认为老年人至少有8~10对牙齿,其功能才可接受[2]。然而有关咬牙 合牙对的流行病学资料在国际上非常罕见。国内对老年人的失牙、义齿修复情况已有一些报告,但是以往这些报告大多由于抽样不当、标准不清、结果表达不合适等原因而难以引用。近期完成的全国口腔健康抽样调查报告我国65~74岁老年人平均失牙数为10颗,约35%老年人佩戴有义齿[3]。国内尚未见对指征失牙和咬牙 合牙对情况的调查报告,也罕见对影响牙齿缺失的因素进行多因素分析。本文旨在描述广东省城乡老年人的失牙、指征失牙、义齿修复情况和咬牙 合牙对并分析影响牙齿缺失的因素。
, 百拇医药
1 材料与方法
1.1 样 本
调查样本包括65~74岁组1 515人,其中男性759人,女性756人。调查对象通过多阶段整群抽样从8个城市和8个农村调查点抽取。首先根据地理位置选取广州、汕头、湛江、清远4个地区为全省代表。随后的两个阶段采用单纯随机抽样方法在每个地区抽取两条街道和两个镇作为调查点。城市地区老年人在居民住宅区中抽取,农村地区在村庄中抽取。每个调查点查80~100人。
1.2 方 法
问卷调查由经过培训的问卷人员执行,采用面对面问卷方式,使用格式化问卷以减少错误。每份问卷完成后由调查人员复查再进入临床检查。
临床检查由3位口腔科医生负责,调查前和调查中期对诊断标准进行过两次校正。调查中复查10%受检者以监测和计算检查者之间各项临床诊断的一致性。检查程序、器械和诊断标准按照世界卫生组织(1997)标准[4]进行检查。
, http://www.100md.com
无论任何原因,只要牙齿不存在即为失牙,包括第三磨牙。需要拔除的牙齿即为指征失牙(indicated missing teeth, IMT),指征失牙的诊断按照世界卫生组织(1997)标准[4]。如果将失牙和指征失牙加在一起,可以称之为“校正失牙”(adjust missing teeth, AMT)。咬牙 合牙对定义为正中牙 合位时有接触的成对上下颌牙齿(包括桥基牙和桥体)。活动义齿、有拔牙指征的牙齿和因为松动或基牙龋坏需要拆除的固定桥桥体排除在外。义齿修复状况按上下牙弓分别记录。
1.3 资料分析
数据分析采用视窗SPSS统计软件,用Kappa值衡量检查者之间各项临床检查的可靠性,用卡方检验判别两组计数资料的分布是否有显著性差异,用t检验判别两组均数间是否有显著性差别,用协方差分析法(ANCOVA)分析影响校正失牙数的因素。ANCOVA分析中参照针对牙科服务系统的第二次国际合作研究(ICSII)[5]分析模型,假定个人倾向性因素和使能因素影响口腔健康行为,进而影响口腔健康状况。因此,居住地(城乡)、性别、受教育程度、牙科知识指数、牙科态度指数、牙科恐惧、家庭物品拥有指数(family material possession index, FMPI)、刷牙频率、吸咽习惯和最后一次看牙间隔时间等被认为有可能影响校正失牙数的因素被选入协方差分析中。牙科知识指数、牙科态度指数和家庭物品拥有指数的计算方法按文献[6]。
, 百拇医药
2 结 果
2.1 检查者间一致性检验
3位检查者对失牙和义齿修复状况诊断的Kappa值在0.9以上,对拔牙需要的诊断Kappa值在0.8以上,显示有很好的一致性。
2.2 失牙和指征失牙
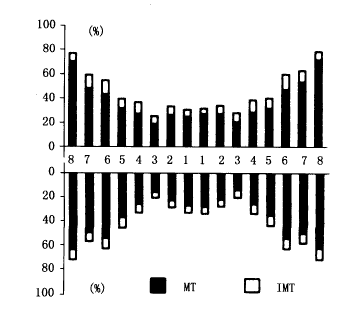
4%的65~74岁老年人无牙,其中城市为4.4%,农村为3.4%,城乡间无显著性差别(P>0.05)。如果将有拔牙指征的牙拔除,无牙的比例将增至6.1%,城乡分别为5.0%和7.3%(P>0.05)。城乡老年人平均失牙(MT)数没有显著性差别,但是农村老年人有较高的指征失牙(IMT)数(表1)。磨牙缺失率最高,依次为双尖牙、切牙和尖牙,各牙位牙齿有拔牙指征的比例类似(图1)。
协方差分析结果表明,女性、受教育程度低者、不刷牙者和那些经济上较不富裕者有较高的校正缺失牙数(表2)。
, 百拇医药
2.3 义齿修复情况
无义齿的老年人占52.9%(表3)。戴上颌总义齿、下颌总义齿和全口总义齿的比例分别为6.2%、6.1%和3.2%。无论是上颌或下颌,固定桥比局部活动义齿多见。城市老年人比农村老年人多戴局部活动义齿,其有义齿的比例也高于农村老年人(表4)。
表1 广东省老年人平均失牙、指征失牙和校正失牙数
Table 1 Mean number of missing teeth (MT), indicated missing teeth (IMT) and adjusted missing teeth(AMT) among Guangdong elders Gender
Location
n
, 百拇医药
MT
IMT
AMT
Men
Urban
391
10.9
1.7 2)
12.6
Rural
368
10.5
2.9
, http://www.100md.com
13.5
Total
759
10.7
2.3
13.0
Women
Urban
383
12.4 1)
1.8 2)
14.3 2)
, http://www.100md.com
Rural
373
13.9
3.6
17.5
Total
756
13.2
2.7
15.9
Total
Urban
774
, 百拇医药
11.6
1.8 2)
13.4 2)
Rural
741
12.2
3.3
15.5
Total
1 515
11.9
2.5
, 百拇医药
14.4
Compared with rurals, 1) P<0.05; 2) P<0.01表2 影响广东省65~74岁老年人校正失牙数的因素
Table 2 Related factors to AMT of Guangdong elders Independent variable
Estimate
Se(Estimate)
P
Gender
<0.01
Men 1)
, 百拇医药
Women
1.86
0.55
Education
<0.05
No schooling 1)
Primary
-1.09
0.60
Secondary & post
-2.28
0.78
, 百拇医药
Tooth brushing frequency
<0.01
Once or more per day 1)
Less than once per day
5.89
0.77
FMPI
-0.04
0.02
<0.05
(Intercept)
, http://www.100md.com
14.27
0.59
<0.01
ANCOVA analysis, F=28.71; d.f.=5,1509; P<0.01; 1) Reference category表3 广东省老年人上下牙弓义齿修复情况
Table 3 Percentage of Guangdong elders with dental prostheses by arch
MAXILLA
No
One
2 or more
, http://www.100md.com
Partial
Bridge
Complete
prostheses
bridge
bridges
denture
+denture
denture
Total
MANDIBLE
No prostheses
, 百拇医药
52.9
6.9
2.1
1.8
-
0.7
64.5
One bridge
4.2
7.7
2.4
1.0
0.1
, 百拇医药
0.7
16.0
2 or more bridges
0.8
2.6
3.0
0.6
0.1
0.5
7.5
Partial denture
0.5
1.1
, 百拇医药
0.5
2.3
0.2
0.9
5.5
Bridge+denture
-
0.2
-
0.1
-
0.2
0.5
, 百拇医药
Complete denture
0.2
1.3
0.4
0.8
0.2
3.2
6.1
Total
58.5
19.7
8.4
6.6
, 百拇医药
0.5
6.2
100.0
图1 广东省老年人各牙位失牙和指征失牙比例
Fig.1 Proportions of missing teeth (MT) and indicated missing teeth (IMT) in Guangdong elders
表4 广东省老年人义齿修复情况比较
Table 4 Percentage of Guangdong elders with dental prostheses according to location of residency Location
, 百拇医药
(n)
Any
prostheses
Bridge
Partial
denture
Complete
denture
Urban(774)
51.4
35.7
16.5
, 百拇医药
10.2
Rural(741)
42.6
37.7
4.2
7.8
P
<0.01
>0.05
<0.01
>0.05
2.4 咬
牙对
, 百拇医药
城乡老年人咬
牙对的百分率分布见图2。22%的老年人没有咬
牙对,只有49%的老年人有8对或以上的咬
牙对,而有10对或以上的老年人仅占34%。
图2 广东省城乡老年人拥有咬
牙对的百分率分布
Fig.2 Distribution of Guangdong elders in urban and rural
areas according to the number of occluding pairs
, http://www.100md.com
3 讨 论
结果显示广东省65~74岁老年人平均失牙数为11.9颗,比全国调查结果略高[3]。与西方工业化国家近年报告相比[9,10],广东省老年人的平均失牙数较低,即使将指征失牙计算在内亦是如此[7]。
调查发现的女性失牙数高于男性与许多国家报告的结果一致,但其原因仍不清楚[8]。除性别外,协方差分析结果表明受教育程度、家庭物品拥有指数等社会因素与校正失牙数有关。这些结果与其它国家报告的社会经济地位较低者失牙多的结果相符合[9]。由于部分不刷牙的老年人报告牙齿少是不刷牙原因之一,不刷牙与失牙的因果关系及其强度待进一步研究。
调查结果显示广东省老年人平均有2.5颗的指征失牙数,即是平均每人口腔存留的牙齿中有2.5颗是没有功能、应该拔除的,这些牙齿还可能成为口腔病灶而引起身体其它器官的疾病。较高的指征失牙数显示在广东省牙科服务的提供和使用都很低。这种情况在农村地区尤为如此,因为农村老年人的指征失牙数几乎为城市地区的两倍。
, http://www.100md.com
在广东省农村地区,仍然有许多未经正式培训的“牙科医生”。它们在义齿修复时采用相当特别的原则,即使口腔内存留牙较少,也提供固定义齿的修复,他们较少采用局部活动义齿的修复方法。另外,农村地区老年人可能比较习惯选择固定义齿。这些可以解释农村地区局部活动义齿少见这一结果。
没有咬牙 合牙对的比例达到22%,只有49%的老年人有8对或以上的咬牙 合牙对。除去有拔牙指征的牙齿和需拆除的桥体后计数的咬牙 合牙对,或许比单纯计算存留牙更能体现老年人牙列的功能状况。只有有咬牙 合关系的牙齿或义齿才能发挥咀嚼功能,而没有咬牙 合关系的牙齿仅起到美观和辅助发音的作用。Kyser[3]认为老年人至少有8~10对牙齿其功能状态才可接受。参照此标准,虽然广东省老年人缺牙的状况不如西方工业化国家居民那样严重,但约一半的老年人牙列功能低于可接受水平,仍需努力去保存他们的自然牙齿和改善牙列功能状况。而这些工作应该在他们还没有成为老年人时就开始。
基金项目:香港政府RGC科研基金,香港大学CRCG科研基金
, 百拇医药
作者简介:林焕彩(1963-),男,广东汕尾人,博士,副主任医师,专长为口腔预防医学;卢展民为香港大学牙科学院口腔公共卫生学副教授.
参考文献:
[1] Manji F, Baelum V, Fejerskov O. Tooth mortality in an adult rural population in Kenya [J]. J Dent Res, 1988, 67(2):496.
[2] Kyser A F. How much reduction of the dental arch is functionally acceptable for the ageing patient? [J]. Int Dent J, 1990,40(3): 183.
[3] 全国牙病防治指导组. 第二次全国口腔健康流行病学抽样调查. 北京:人民卫生出版社,1999.12~14.
, 百拇医药
[4] World Health Organization. Oral health surveys: basic methods [M]. 4th ed. Geneva: WHO,1997.1~50.
[5] Chen M, Andersen R M, Barmes D E, et al. Comparing oral health care systems [M]. Geneva: World Health Organization, 1997. 7~25.
[6] 林焕彩,廖旭辉,刘建伟,等.广东省成年人的口腔健康行为[J].中山医科大学学报,1999,20(增刊):79.
[7] Marcus S E, Drury T F, Brown L J, et al. Tooth retention and tooth loss in the permanent dentition of adults: United States, 1988-91 [J]. J Dent Res, 1996,75(Spec Iss):684.
[8] O'Mullane D, Whelton H, Galvin N. Health services and women's oral health [J]. J Dent Educ, 1993,57(10):749.
[9] Eklund S A, Burt B A. Risk factors for total tooth loss in the United States: longitudinal analysis of national data [J]. J Public Health Dent, 1994,54(1):5.
收稿日期:2000-03-16, http://www.100md.com
单位:中山医科大学光华口腔医院预防科, 广东 广州 510055
关键词:失牙;牙修复体;牙健康调查;老年人
中山医科大学学报000424
摘 要:【目的】 描述广东省老年人失牙、指征失牙(有拔牙指征的牙齿)、义齿修复情况和咬
, 百拇医药
中图分类号:R780.1 文献标识码: A
文章编号:1000-257X(2000)04-0310-04
Tooth Loss, Prosthetic Status and Occluding Pairs among
the Elderly of Guangdong, China
LIN Huan-cai, LIU Jiang-wei, LO ECM, ZHANG He-guang
(Guanghua Stomatological Hospital, Sun Yat-sen University of Medical Sciences, Guangzhou 510055, China)
, 百拇医药
Abstract:【Objective】 To describe tooth loss, teeth indicated for extraction, dental prosthetic status, and occluding tooth pairs among the elderly residents of Guangdong Province, China and to investigate any factors affecting tooth mortality. 【Methods】 The study sample consisted of 1 515 65~74-year-old subjects recruited through multi-stage cluster sampling. The subjects were interviewed by trained interviewers. Clinical examination procedures and diagnostic criteria used following those recommended by World Health Organization. 【Results】 Mean number of missing teeth (MT) and teeth indicated for extraction (IMT) were found to be 11.9 and 2.5. Greater IMT were found in rural residents. ANCOVA analysis indicated that tooth loss was associated with socio-economic factors and gender. 4% of the elderly were completely edentulous and 47% of the elderly were found to have dental prostheses in either jaw. Only 49% of the elderly had eight or more occluding tooth pairs. 【Conclusion】 The functions of the dentitions of around half of Guangdong elderly were not acceptable and effort should be made to reserve their natural teeth.
, 百拇医药
Key words:tooth loss; dental prosthesis; dental health surveys; aged
失牙的状况能反映口腔疾病的严重情况和牙科服务使用。失牙的方式有两种:一种是牙齿牙周疾病的发展导致牙齿自动脱落,另一种是医生将其拔除。后一种方式与牙科治疗服务密切相关。发展中国家居民,尤其是居住于农村者较少接受牙科治疗。所以,可以假定他们口腔中有较多应该拔除而没有拔除的牙齿。研究者在描述发展中国家居民失牙情况时曾提到“指征失牙”(Teeth indicated for extraction) 这一概念,它是指临床上需要拔除而仍存留的牙齿[1]。当评估牙列的功能时,咬牙 合牙对(Occluding tooth pairs)应该比存留牙数更加直接。Kyser认为老年人至少有8~10对牙齿,其功能才可接受[2]。然而有关咬牙 合牙对的流行病学资料在国际上非常罕见。国内对老年人的失牙、义齿修复情况已有一些报告,但是以往这些报告大多由于抽样不当、标准不清、结果表达不合适等原因而难以引用。近期完成的全国口腔健康抽样调查报告我国65~74岁老年人平均失牙数为10颗,约35%老年人佩戴有义齿[3]。国内尚未见对指征失牙和咬牙 合牙对情况的调查报告,也罕见对影响牙齿缺失的因素进行多因素分析。本文旨在描述广东省城乡老年人的失牙、指征失牙、义齿修复情况和咬牙 合牙对并分析影响牙齿缺失的因素。
, 百拇医药
1 材料与方法
1.1 样 本
调查样本包括65~74岁组1 515人,其中男性759人,女性756人。调查对象通过多阶段整群抽样从8个城市和8个农村调查点抽取。首先根据地理位置选取广州、汕头、湛江、清远4个地区为全省代表。随后的两个阶段采用单纯随机抽样方法在每个地区抽取两条街道和两个镇作为调查点。城市地区老年人在居民住宅区中抽取,农村地区在村庄中抽取。每个调查点查80~100人。
1.2 方 法
问卷调查由经过培训的问卷人员执行,采用面对面问卷方式,使用格式化问卷以减少错误。每份问卷完成后由调查人员复查再进入临床检查。
临床检查由3位口腔科医生负责,调查前和调查中期对诊断标准进行过两次校正。调查中复查10%受检者以监测和计算检查者之间各项临床诊断的一致性。检查程序、器械和诊断标准按照世界卫生组织(1997)标准[4]进行检查。
, http://www.100md.com
无论任何原因,只要牙齿不存在即为失牙,包括第三磨牙。需要拔除的牙齿即为指征失牙(indicated missing teeth, IMT),指征失牙的诊断按照世界卫生组织(1997)标准[4]。如果将失牙和指征失牙加在一起,可以称之为“校正失牙”(adjust missing teeth, AMT)。咬牙 合牙对定义为正中牙 合位时有接触的成对上下颌牙齿(包括桥基牙和桥体)。活动义齿、有拔牙指征的牙齿和因为松动或基牙龋坏需要拆除的固定桥桥体排除在外。义齿修复状况按上下牙弓分别记录。
1.3 资料分析
数据分析采用视窗SPSS统计软件,用Kappa值衡量检查者之间各项临床检查的可靠性,用卡方检验判别两组计数资料的分布是否有显著性差异,用t检验判别两组均数间是否有显著性差别,用协方差分析法(ANCOVA)分析影响校正失牙数的因素。ANCOVA分析中参照针对牙科服务系统的第二次国际合作研究(ICSII)[5]分析模型,假定个人倾向性因素和使能因素影响口腔健康行为,进而影响口腔健康状况。因此,居住地(城乡)、性别、受教育程度、牙科知识指数、牙科态度指数、牙科恐惧、家庭物品拥有指数(family material possession index, FMPI)、刷牙频率、吸咽习惯和最后一次看牙间隔时间等被认为有可能影响校正失牙数的因素被选入协方差分析中。牙科知识指数、牙科态度指数和家庭物品拥有指数的计算方法按文献[6]。
, 百拇医药
2 结 果
2.1 检查者间一致性检验
3位检查者对失牙和义齿修复状况诊断的Kappa值在0.9以上,对拔牙需要的诊断Kappa值在0.8以上,显示有很好的一致性。
2.2 失牙和指征失牙
4%的65~74岁老年人无牙,其中城市为4.4%,农村为3.4%,城乡间无显著性差别(P>0.05)。如果将有拔牙指征的牙拔除,无牙的比例将增至6.1%,城乡分别为5.0%和7.3%(P>0.05)。城乡老年人平均失牙(MT)数没有显著性差别,但是农村老年人有较高的指征失牙(IMT)数(表1)。磨牙缺失率最高,依次为双尖牙、切牙和尖牙,各牙位牙齿有拔牙指征的比例类似(图1)。
协方差分析结果表明,女性、受教育程度低者、不刷牙者和那些经济上较不富裕者有较高的校正缺失牙数(表2)。
, 百拇医药
2.3 义齿修复情况
无义齿的老年人占52.9%(表3)。戴上颌总义齿、下颌总义齿和全口总义齿的比例分别为6.2%、6.1%和3.2%。无论是上颌或下颌,固定桥比局部活动义齿多见。城市老年人比农村老年人多戴局部活动义齿,其有义齿的比例也高于农村老年人(表4)。
表1 广东省老年人平均失牙、指征失牙和校正失牙数
Table 1 Mean number of missing teeth (MT), indicated missing teeth (IMT) and adjusted missing teeth(AMT) among Guangdong elders Gender
Location
n
, 百拇医药
MT
IMT
AMT
Men
Urban
391
10.9
1.7 2)
12.6
Rural
368
10.5
2.9
, http://www.100md.com
13.5
Total
759
10.7
2.3
13.0
Women
Urban
383
12.4 1)
1.8 2)
14.3 2)
, http://www.100md.com
Rural
373
13.9
3.6
17.5
Total
756
13.2
2.7
15.9
Total
Urban
774
, 百拇医药
11.6
1.8 2)
13.4 2)
Rural
741
12.2
3.3
15.5
Total
1 515
11.9
2.5
, 百拇医药
14.4
Compared with rurals, 1) P<0.05; 2) P<0.01表2 影响广东省65~74岁老年人校正失牙数的因素
Table 2 Related factors to AMT of Guangdong elders Independent variable
Estimate
Se(Estimate)
P
Gender
<0.01
Men 1)
, 百拇医药
Women
1.86
0.55
Education
<0.05
No schooling 1)
Primary
-1.09
0.60
Secondary & post
-2.28
0.78
, 百拇医药
Tooth brushing frequency
<0.01
Once or more per day 1)
Less than once per day
5.89
0.77
FMPI
-0.04
0.02
<0.05
(Intercept)
, http://www.100md.com
14.27
0.59
<0.01
ANCOVA analysis, F=28.71; d.f.=5,1509; P<0.01; 1) Reference category表3 广东省老年人上下牙弓义齿修复情况
Table 3 Percentage of Guangdong elders with dental prostheses by arch
MAXILLA
No
One
2 or more
, http://www.100md.com
Partial
Bridge
Complete
prostheses
bridge
bridges
denture
+denture
denture
Total
MANDIBLE
No prostheses
, 百拇医药
52.9
6.9
2.1
1.8
-
0.7
64.5
One bridge
4.2
7.7
2.4
1.0
0.1
, 百拇医药
0.7
16.0
2 or more bridges
0.8
2.6
3.0
0.6
0.1
0.5
7.5
Partial denture
0.5
1.1
, 百拇医药
0.5
2.3
0.2
0.9
5.5
Bridge+denture
-
0.2
-
0.1
-
0.2
0.5
, 百拇医药
Complete denture
0.2
1.3
0.4
0.8
0.2
3.2
6.1
Total
58.5
19.7
8.4
6.6
, 百拇医药
0.5
6.2
100.0
图1 广东省老年人各牙位失牙和指征失牙比例
Fig.1 Proportions of missing teeth (MT) and indicated missing teeth (IMT) in Guangdong elders
表4 广东省老年人义齿修复情况比较
Table 4 Percentage of Guangdong elders with dental prostheses according to location of residency Location
, 百拇医药
(n)
Any
prostheses
Bridge
Partial
denture
Complete
denture
Urban(774)
51.4
35.7
16.5
, 百拇医药
10.2
Rural(741)
42.6
37.7
4.2
7.8
P
<0.01
>0.05
<0.01
>0.05
2.4 咬
, 百拇医药
城乡老年人咬
图2 广东省城乡老年人拥有咬
Fig.2 Distribution of Guangdong elders in urban and rural
areas according to the number of occluding pairs
, http://www.100md.com
3 讨 论
结果显示广东省65~74岁老年人平均失牙数为11.9颗,比全国调查结果略高[3]。与西方工业化国家近年报告相比[9,10],广东省老年人的平均失牙数较低,即使将指征失牙计算在内亦是如此[7]。
调查发现的女性失牙数高于男性与许多国家报告的结果一致,但其原因仍不清楚[8]。除性别外,协方差分析结果表明受教育程度、家庭物品拥有指数等社会因素与校正失牙数有关。这些结果与其它国家报告的社会经济地位较低者失牙多的结果相符合[9]。由于部分不刷牙的老年人报告牙齿少是不刷牙原因之一,不刷牙与失牙的因果关系及其强度待进一步研究。
调查结果显示广东省老年人平均有2.5颗的指征失牙数,即是平均每人口腔存留的牙齿中有2.5颗是没有功能、应该拔除的,这些牙齿还可能成为口腔病灶而引起身体其它器官的疾病。较高的指征失牙数显示在广东省牙科服务的提供和使用都很低。这种情况在农村地区尤为如此,因为农村老年人的指征失牙数几乎为城市地区的两倍。
, http://www.100md.com
在广东省农村地区,仍然有许多未经正式培训的“牙科医生”。它们在义齿修复时采用相当特别的原则,即使口腔内存留牙较少,也提供固定义齿的修复,他们较少采用局部活动义齿的修复方法。另外,农村地区老年人可能比较习惯选择固定义齿。这些可以解释农村地区局部活动义齿少见这一结果。
没有咬牙 合牙对的比例达到22%,只有49%的老年人有8对或以上的咬牙 合牙对。除去有拔牙指征的牙齿和需拆除的桥体后计数的咬牙 合牙对,或许比单纯计算存留牙更能体现老年人牙列的功能状况。只有有咬牙 合关系的牙齿或义齿才能发挥咀嚼功能,而没有咬牙 合关系的牙齿仅起到美观和辅助发音的作用。Kyser[3]认为老年人至少有8~10对牙齿其功能状态才可接受。参照此标准,虽然广东省老年人缺牙的状况不如西方工业化国家居民那样严重,但约一半的老年人牙列功能低于可接受水平,仍需努力去保存他们的自然牙齿和改善牙列功能状况。而这些工作应该在他们还没有成为老年人时就开始。
基金项目:香港政府RGC科研基金,香港大学CRCG科研基金
, 百拇医药
作者简介:林焕彩(1963-),男,广东汕尾人,博士,副主任医师,专长为口腔预防医学;卢展民为香港大学牙科学院口腔公共卫生学副教授.
参考文献:
[1] Manji F, Baelum V, Fejerskov O. Tooth mortality in an adult rural population in Kenya [J]. J Dent Res, 1988, 67(2):496.
[2] Kyser A F. How much reduction of the dental arch is functionally acceptable for the ageing patient? [J]. Int Dent J, 1990,40(3): 183.
[3] 全国牙病防治指导组. 第二次全国口腔健康流行病学抽样调查. 北京:人民卫生出版社,1999.12~14.
, 百拇医药
[4] World Health Organization. Oral health surveys: basic methods [M]. 4th ed. Geneva: WHO,1997.1~50.
[5] Chen M, Andersen R M, Barmes D E, et al. Comparing oral health care systems [M]. Geneva: World Health Organization, 1997. 7~25.
[6] 林焕彩,廖旭辉,刘建伟,等.广东省成年人的口腔健康行为[J].中山医科大学学报,1999,20(增刊):79.
[7] Marcus S E, Drury T F, Brown L J, et al. Tooth retention and tooth loss in the permanent dentition of adults: United States, 1988-91 [J]. J Dent Res, 1996,75(Spec Iss):684.
[8] O'Mullane D, Whelton H, Galvin N. Health services and women's oral health [J]. J Dent Educ, 1993,57(10):749.
[9] Eklund S A, Burt B A. Risk factors for total tooth loss in the United States: longitudinal analysis of national data [J]. J Public Health Dent, 1994,54(1):5.
收稿日期:2000-03-16, http://www.100md.com