喹唑啉类化合物的合成及抗肿瘤活性*
作者:崔智勇 赵维璋 李仁利
单位:北京医科大学药物化学系药物化学研究室,北京 100083
关键词:喹唑啉类;化学合成;喹唑啉类;药理学;肿瘤细胞;培养的;药物作用;白血病L1210;药物疗法
北京医科大学学报990108 摘 要 目的:合成亲脂性叶酸拮抗剂2,4-二氨基-5-甲基-6-取代苄胺基喹唑啉类化合物,并研究其对肿瘤细胞的抑制作用。方法:以邻甲苯胺为原料设计并合成喹唑啉类化合物;用四甲基偶氮唑蓝比色法和磺酰罗丹明B法测定其对肿瘤细胞的抑制作用。结果:该类化合物对L1210白血病细胞有较强的抑制作用。在已测定的部分化合物的药理结果中化合物D1、D3、D5和D6对人结肠癌HCT-8细胞,化合物D1~5对人红白血病K562细胞均有较强的抑制作用;化合物D1~6对人HL-60白血病细胞和人胃癌BGC细胞均有一定的抑制作用。结论:该喹唑啉类化合物具有较强的抗肿瘤作用。
, http://www.100md.com
中国图书资料分类法分类号 R979.1
The syntheses and antitumor activities of quinazolines
CUI Zhi-Yong, ZHAO Wei-Zhang, LI Ren-Li
(Department of Medicinal Chemistry, Beijing Medical University, Beijing 100083)
MeSH Quinazolines/chem syn Quinazolines/pharm Tumor cells, cultured/drug eff Leukemia L1210/drug ther
ABSTRACT Objective: To synthesize lipophilic antifolates 2,4-diamino-5-methyl-6-substituted benzylamino quinazolines and determine the inhibitory effects of these compounds on some cancer cell lines. Methods: 2-methyl aniline as the material, quinazolines were designed and synthesized;By the MTT (3-(4,5-dimethylthiazol-2-yl)-2,5-diphenyl tetrazolium bromide) assay and SRB (sulforhodamine B) assay, the antitumor activities of these compounds to some cancer cell lines were well determined. Results: These compounds had potent inhibitory effects on L1210 leukemia cell line. The inhibitory activities of six compounds have been tested to other tumor cell lines up to now. Compounds D1, D3, D5 and D6 possessed potent inhibitory effect on HCT-8 (human carcinoma of colon) cell line and D1~5 exhibited potent inhibitory activities to human erythroleukemia K562 cell line. All the six compounds showed moderate inhibitory activities to human carcinoma of stomach BGC cell line and human leukemia HL-60 cell line. Conclusion: This kind of quinazolines had potent inhibitory effects on some cancer cell lines.
, 百拇医药
(J Beijing Med Univ, 1999,31:27-31)
在对肿瘤的化疗中,经典的二氢叶酸还原酶抑制剂氨甲喋呤(methetraxate, MTX)占有非常重要的地位,它对急性淋巴细胞性白血病、乳腺癌、脑癌、肝癌、绒毛膜上皮癌及恶性葡萄胎等均有较满意的疗效。但是肿瘤细胞对其易产生耐药性,根据肿瘤细胞对氨甲喋呤的耐药机制,设计了一类非经典的亲脂性二氢叶酸还原酶抑制剂,如三嗪类、嘧啶类、吡啶并嘧啶和喹唑啉类等化合物。由于其分子中不带谷氨酸侧链,因而对氨甲喋呤耐药的肿瘤细胞不会对它们产生交叉耐药性。其中的喹唑啉类化合物以前主要作为抗疟药,对其抗肿瘤作用研究较少。最近发现喹唑啉类化合物AG-187对鼠L1210白血病细胞(半抑制浓度IC50为3.5 nmol*L-1)有很强的抑制作用[1],同时对人淋巴母细胞CCRFCEM(半抑制浓度IC50为16 nmol*L-1)及人结肠癌GC3/M(TK-)细胞(半抑制浓度IC50为39 nmol*L-1)均有较强的抑制作用。对已合成的非经典二氢叶酸还原酶抑制剂进行的构效关系研究中发现5位甲基能增加化合物的抑制活性,因此我们设计合成了一系列与AG-187结构相似的2,4-二氨基-5-甲基-6-取代苄胺基喹唑啉类化合物。
, http://www.100md.com
1 材料与方法
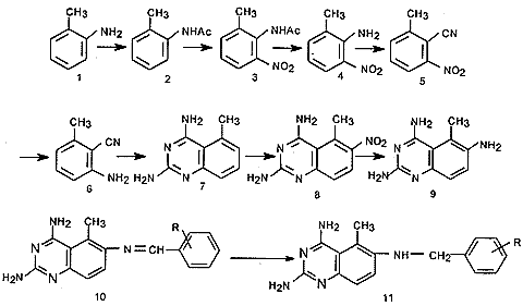
化合物的合成路线如图1所示[2]。
图1 喹唑啉的合成路线
Figure 1 The synthetic route of the quinazolines
柱层析所用硅胶为青岛海洋化工厂生产的硅胶H或200~300目硅胶。化合物的1H-NMR由JEOL-FX-90Q或VXR-300型仪器测定,TMS为内标,δ值(ppm)[δ=(样品中被测磁核的共振频率-标准物中磁核的共振频率)÷标准物中磁核的共振频率×106];质谱用VG20-253GC/MS/DC测定;元素分析由美国PE公司2400型元素分析仪测定,用显微熔点仪和电热熔点管测定了所有化合物熔点,温度未经校正。
, 百拇医药
1.1 2,4-二氨基-5-甲基喹唑啉的合成[2,3]
2-甲基-6-氨基苄腈(0.053 mol),二氰二胺(0.083 mol),2.87mol.L-1盐酸33 ml(0.09 mol),加热回流4.5h,加入20ml热水,趁热抽滤,滤液用0.94mol.L-1碳酸钠溶液调pH=9,滤出沉淀,室温干燥,用水重结晶,得2,4-二氨基-5-甲基喹唑啉白色针状晶体8.2g,产率89.1%,mp209~211℃(文献[3]为210~212℃)。
1.2 2,4-二氨基-5-甲基-6-硝基喹唑啉的合成
2,4-二氨基-5-甲基喹唑啉18g(0.1 mol)放入250 ml三口瓶中加入36 ml水,加热至100℃,滴入市售14.4 mol.L-1浓硝酸36ml(0.52mol)冷却抽滤,干燥得2,4-二氨基-5-甲基喹唑啉的硝酸盐黄色固体19.7g,mp219℃分解。
, 百拇医药
发烟硝酸86.4 ml(1.95 mol)放入250 ml三口瓶中,冰盐浴冷却,瓶内温度0~10 ℃滴入浓硫酸86.4ml,瓶内温度低于4℃时,分次加入2,4-二氨基-5-甲基喹唑啉的硝酸盐黄色固体19.7g,加完后搅拌1 h,接着室温搅拌2h,反应液倒入1200 ml冰水中,抽滤干燥得2,4-二氨基-5-甲基-6-硝基喹唑啉黄色固体20g,产率80.6%,mp290℃分解(文献[2]为293℃分解)。
1.3 2,4,6-三氨基-5-甲基喹唑啉的合成
2,4-二氨基-5-甲基-6-硝基喹唑啉20 g溶于14.4 mol.L-1乙酸300ml,回流,抽滤,低于20 ℃用浓氨水碱化滤液,得2,4-二氨基-5-甲基-6-硝基喹唑啉的乙酸盐黄色固体15g,287℃分解(文献[2]为288℃)。
7 g 2,4-二氨基-5-甲基-6-硝基喹唑啉的乙酸盐(0.025 mol)加热溶于无水乙醇及少量乙二醇独甲醚中,放入加压釜内,加入钯与碳的质量比为5∶95的催化剂2g,维持氢气压力0.25 MPa,反应时间8 h,浓缩反应液,得到黄色固体,用水重结晶得2,4,6-三氨基-5-甲基喹唑啉乙酸盐的黄色固体4.9g,产率78.4%,mp220~222℃(文献[2]220~224℃)。
, http://www.100md.com
1.4 2,4-二氨基-5-甲基-6-[(2'-正丙氧基)亚苄基胺基]喹唑啉的合成
1 g 2,4,6-三氨基-5-甲基喹唑啉乙酸盐(0.0053 mol),2.61 g邻正丙氧基苯甲醛(0.0159mol),10g 3A分子筛,20ml无水乙醇,放入50ml茄形瓶里,回流7h,滤出分子筛,滤液加入硅胶H拌样,减压柱层析(CH2Cl2与CH3OH体积比为5∶1)得2,4-二氨基-5-甲基-6-[(2'-正丙氧基)亚苄基胺基]喹唑啉黄色固体0.78g,产率58.2%,mp164~165℃。EI-m/e 335(M+),90M 1H-NMR(DMSO)δ:1.0t 3H CH3,1.6~1.87 m 2H CH3,2.81 S 3H ph CH3,4.08 t 2H OCH2,7.07~7.67m 6H ph,8.84 s 1H N=CH。
, 百拇医药
1.5 2,4-二氨基-5-甲基-6-[(2'-正丙氧基苄基)胺基]喹唑啉的合成(D8)
2,4-二氨基-5-甲基-6-[(2'-正丙氧基亚苄基)胺基]喹唑啉0.27g(0.81 mmol),溶于30 ml无水乙醇中,加入钯与碳的质量比为5∶95的催化剂0.2g,外浴60℃,氢气压力0.2~0.22 MPa,还原8h,浓缩溶剂,固体用无水乙醇重结晶得2,4-二氨基-5-甲基-6-[(2-正丙氧基苄基)胺基]喹唑啉D8的黄色固体0.19g,产率70.4%,mp184~185℃。
2 结果
喹唑啉产物的结果及波谱数据见表1、图2。
表1 2,4-二氨基-5-甲基-6-取代苄胺基喹唑啉的理化常数、质谱和对L1210细胞的抑制活性
Table 1 The physical-chemical constants , mass spectrums and the inhibitory activities to L1210 cell
, http://www.100md.com
of 2,4-diamino-5-methyl-6-substituted benzylamino quinazolines
No.
X
t/℃
M+ and the main
fragment peaks
The inhibitory activities
to L1210/cell#
D1
, 百拇医药
4-OCH3
224~226
309,188,171,121
2.24
D2
3-CH3
142~144
293,188,171,105
17.0
D3
3,4-(OCH3)2
, http://www.100md.com
241~243
339,188,171,151
25.1
D4
3-OCH2CH2OCH3, 4-OCH3
82~84
383,188,171
17.0
D5
2,3-(OCH3)2
, 百拇医药
203~205
339,188,171
17.8
D6
4-OC3H7
178~180
337,188,171
20.4
D7
4-OC2H5
189~191
, 百拇医药
323,188,171,135
20.0
D8
2-OC3H7
184~185
337,188,171,149
8.91
D9
2-OC4H9
150~152
351,188,171
, 百拇医药
52.5
D10
2-OC2H5
174~176
323,188,171,135
22.4
D11
3-OCH3,4-OC4H9
193~195
379,188
, 百拇医药
24.5
D12
3-OC3H7,4-OCH3
202~204
367,188,179,171
19.0
D13
2,4-Cl2
170~172
347,349,188,171,161,159
, 百拇医药
20.0
D14
3-OCH3,4-OC6H13
185~187
409,188,221,171
1.20
D15
2-Br,5,6-(OCH3)2
248~250
417,419,188,339(-Br),171
, 百拇医药
1.44
D16
3-OCH3,4-OCH2COOC2H5
100~102
411,188
1.58
D17
3-OC6H13
124~126
379,188,171
, http://www.100md.com
112
D18
2-OC6H13
154~156
379,188,171
12.9
D19
3-OCH3,4-OCH2OCH3
280(dec)
369,188,181,171
, http://www.100md.com
0.794
D20
2-OCH2OCH3
240~242
339,188,171
1.15
D21
3-OCH2OCH3
246~248
339,188,171
13.2
, 百拇医药
D22
3,5-(OCH3)2
204~206
339,188,151,171
1.78
D23
H
191~193
279,188,171
1.38
D24
, 百拇医药
4-OC6H13
159(dec)
379,188,191,171
2.82
D25
4-OOCCH3
100~102
337,188,171
2.24
D26
3-OOCCH3
, 百拇医药
144~146
337,188,171
1.74
D27
3,5-Br2,4-OCH2COOC2H5
174~176
537,188,459,381,171
0.562
D28
2-OH
, http://www.100md.com
176(dec)
295,171
3.16
The element analyseis of all the compounds are within 0.5%;
#,50% inhibiting concentration, 108 mol.L-1.

图2 2,4-二氨基-5-甲基-6-取代苄胺基喹唑啉的核磁共振氢谱数据
, 百拇医药 Figure 2 The 1H-NMR data of 2,4-diamino-5-methyl-6-substituted
benzylamino quinazolines
采用四甲基偶氮唑蓝比色法(MTT法)测定了所有28个化合物对鼠L1210白血病细胞的抑制作用。到目前为止,用MTT法还得到了部分化合物对人白血病HL-60细胞、人红白血病K562细胞和人胃癌BGC细胞的抑制作用;用磺酰罗丹明B染色法(SRB法)测定部分化合物对人结肠癌HCT-8细胞的抑制作用。结果见表1、2。
表2 一些喹唑啉化合物对其它肿瘤细胞的抑制作用
Table 2 The inhibitory effects of several quinazolines to other tumor cell lines No.
, 百拇医药
c/(mol.L-1)
HCT-8#
A
c/(mol.L-1)
HL-60#
A
c/(mol.L-1)
BGC#
A
c/(mol.L-1)
, 百拇医药
K562#
A
10-7
69.10
10-7
6.57
10-7
47.3
10-7
66.95
D1
, 百拇医药
10-6
78.59
+++
10-6
75.4
++
10-6
64.1
++
10-6
67.70
+++
, 百拇医药
10-5
84.31
10-5
99.1
10-5
74.3
10-5
73.79
10-7
70.49
10-7
, 百拇医药
23.31
10-7
30.9
10-7
65.98
D2
10-6
76.93
++
10-6
68.55
++
, 百拇医药
10-6
68.3
++
10-6
71.44
+++
10-5
80.36
10-5
82.62
10-5
88.3
, http://www.100md.com
10-5
77.33
10-7
71.60
10-7
74.75
10-7
64.5
10-7
71.65
D3
, 百拇医药
10-6
77.48
+++
10-6
83.72
++
10-6
70.3
++
10-6
73.47
+++
, http://www.100md.com
10-5
91.99
10-5
97.10
10-5
82.5
10-5
75.08
10-7
22.67
10-7
, http://www.100md.com
29.10
10-7
25.1
10-7
70.37
D4
10-6
65.85
++
10-6
78.16
++
, 百拇医药
10-6
65.1
++
10-6
84.06
+++
10-5
73.47
10-5
80.41
10-5
62.5
, 百拇医药
10-5
86.10
10-7
65.61
10-7
35.03
10-7
27.7
10-7
73.05
D5
, http://www.100md.com
10-6
76.12
+++
10-6
77.42
++
10-6
63.2
++
10-6
86.52
+++
, 百拇医药
10-5
80.52
10-5
87.81
10-5
62.0
10-5
88.13
10-7
56.28
10-7
, http://www.100md.com
23.24
10-7
29.6
10-7
47.38
D6
10-6
71.39
+++
10-6
81.24
++
, 百拇医药
10-6
63.2
++
10-6
67.05
++
10-5
98.34
10-5
97.17
10-5
80.6
, http://www.100md.com
10-5
97.21
A, assessment; ++, moderate inhibitory activities; +++,potent inhibitory activities; #, inhibitory percentage(%).
3 讨论
文献[4]报道各种取代的喹唑啉类化合物的西佛碱(Schiff base)形成一般用DMF作溶剂,三氨基喹唑啉与取代苯甲醛反应,由苯共沸带水,然后浓缩溶剂制得;或用乙二醇独乙醚作溶剂,回流后浓缩得产物。因为溶剂沸点高,所以后处理蒸溶剂较麻烦;而且反应时间长。我们在实验中采取经过处理的3A分子筛(300℃干燥5h)干燥过的无水乙醇作溶剂,并在反应液中加入经300℃干燥5h的3A分子筛以吸收反应中产生的水,从而促进反应的进行,使反应时间减少,反应时间一般可减至2h左右,而且反应后生成的西佛碱一般不溶于溶剂,可直接过滤得到产物。部分溶解的西佛碱通过硅胶柱层析得到产物。
, http://www.100md.com
在还原胺化反应中,主要产物为苄胺,得到的苄胺发生氢解的产物较少。一般在钯催化剂存在的条件下,易发生苄胺的氢解反应。苄基发生氢解反应的活性与其结构有很大关系,碳氮键的氢解活性通常低于碳卤键和碳氧键,苄基与氮或氧相连时的发生氢解脱苄反应的活性由高到低依次为:苄基取代的季胺盐、苄氧、苄基取代叔胺、苄基取代仲胺。苄基取代的仲胺发生氢解反应活性最低。另外本反应中,苄胺上的取代基多为推电子基团,增加了苄基的电子云密度,也使氢解反应的活性降低。
药理实验结果表明,化合物D19和D27对小鼠白血病L1210细胞有较强的抑制作用。其他化合物也有一定的抑制活性,说明该类化合物在抑制肿瘤细胞的作用方面值得进一步通过构效关系研究,以发现抑制活性更强的化合物。另外在已测定的结果中化合物D1、D3、D5和D6对人结肠癌HCT-8细胞;D1~5对人红白血病K562细胞有较强的抑制作用;D1~6对人白血病HL-60细胞及人胃癌BGC细胞有一定的抑制作用。其他化合物的抑制作用正在测定中。鉴于目前对结肠癌尚未找到有效的治疗药物,通过已测定的几个化合物的活性结果表明该类化合物抑制结肠癌的活性也值得深入研究。
, http://www.100md.com
* 国家自然科学基金(39270805)资助项目。
参考文献
1 Jeffrey MB, Hansch C. Silipo C, et al. Structure-activity relationships of dihydrofolate reductase inhibitors. Chem Rev, 1984,84:333-407
2 Davoll J, Johnson AM. Quinazoline analogues of folic acid. J Chem Soc, 1970,16:997-1002
3 Rosowsky A, Marini JL, Nadel ME, et al. Quinazolines Ⅵ ynthesis of 2,4-diamino quinazolines from anthranilonitriles. J Med Chem, 1970,13:882-886
4 Davoll J, Johnson AM, Davies HJ, et al. Folate antagonists 2:2,4-diamino-6-{[aralkyl and (heterocyclic)methyl]amino}quinazolines, a novel class of antimetabolites of interest in drug-resistant malaria and Ghagas' disease. J Med Chem, 1972,15:812-826
(1998-04-21收稿)
(本文编辑:王 蕾), http://www.100md.com
单位:北京医科大学药物化学系药物化学研究室,北京 100083
关键词:喹唑啉类;化学合成;喹唑啉类;药理学;肿瘤细胞;培养的;药物作用;白血病L1210;药物疗法
北京医科大学学报990108 摘 要 目的:合成亲脂性叶酸拮抗剂2,4-二氨基-5-甲基-6-取代苄胺基喹唑啉类化合物,并研究其对肿瘤细胞的抑制作用。方法:以邻甲苯胺为原料设计并合成喹唑啉类化合物;用四甲基偶氮唑蓝比色法和磺酰罗丹明B法测定其对肿瘤细胞的抑制作用。结果:该类化合物对L1210白血病细胞有较强的抑制作用。在已测定的部分化合物的药理结果中化合物D1、D3、D5和D6对人结肠癌HCT-8细胞,化合物D1~5对人红白血病K562细胞均有较强的抑制作用;化合物D1~6对人HL-60白血病细胞和人胃癌BGC细胞均有一定的抑制作用。结论:该喹唑啉类化合物具有较强的抗肿瘤作用。
, http://www.100md.com
中国图书资料分类法分类号 R979.1
The syntheses and antitumor activities of quinazolines
CUI Zhi-Yong, ZHAO Wei-Zhang, LI Ren-Li
(Department of Medicinal Chemistry, Beijing Medical University, Beijing 100083)
MeSH Quinazolines/chem syn Quinazolines/pharm Tumor cells, cultured/drug eff Leukemia L1210/drug ther
ABSTRACT Objective: To synthesize lipophilic antifolates 2,4-diamino-5-methyl-6-substituted benzylamino quinazolines and determine the inhibitory effects of these compounds on some cancer cell lines. Methods: 2-methyl aniline as the material, quinazolines were designed and synthesized;By the MTT (3-(4,5-dimethylthiazol-2-yl)-2,5-diphenyl tetrazolium bromide) assay and SRB (sulforhodamine B) assay, the antitumor activities of these compounds to some cancer cell lines were well determined. Results: These compounds had potent inhibitory effects on L1210 leukemia cell line. The inhibitory activities of six compounds have been tested to other tumor cell lines up to now. Compounds D1, D3, D5 and D6 possessed potent inhibitory effect on HCT-8 (human carcinoma of colon) cell line and D1~5 exhibited potent inhibitory activities to human erythroleukemia K562 cell line. All the six compounds showed moderate inhibitory activities to human carcinoma of stomach BGC cell line and human leukemia HL-60 cell line. Conclusion: This kind of quinazolines had potent inhibitory effects on some cancer cell lines.
, 百拇医药
(J Beijing Med Univ, 1999,31:27-31)
在对肿瘤的化疗中,经典的二氢叶酸还原酶抑制剂氨甲喋呤(methetraxate, MTX)占有非常重要的地位,它对急性淋巴细胞性白血病、乳腺癌、脑癌、肝癌、绒毛膜上皮癌及恶性葡萄胎等均有较满意的疗效。但是肿瘤细胞对其易产生耐药性,根据肿瘤细胞对氨甲喋呤的耐药机制,设计了一类非经典的亲脂性二氢叶酸还原酶抑制剂,如三嗪类、嘧啶类、吡啶并嘧啶和喹唑啉类等化合物。由于其分子中不带谷氨酸侧链,因而对氨甲喋呤耐药的肿瘤细胞不会对它们产生交叉耐药性。其中的喹唑啉类化合物以前主要作为抗疟药,对其抗肿瘤作用研究较少。最近发现喹唑啉类化合物AG-187对鼠L1210白血病细胞(半抑制浓度IC50为3.5 nmol*L-1)有很强的抑制作用[1],同时对人淋巴母细胞CCRFCEM(半抑制浓度IC50为16 nmol*L-1)及人结肠癌GC3/M(TK-)细胞(半抑制浓度IC50为39 nmol*L-1)均有较强的抑制作用。对已合成的非经典二氢叶酸还原酶抑制剂进行的构效关系研究中发现5位甲基能增加化合物的抑制活性,因此我们设计合成了一系列与AG-187结构相似的2,4-二氨基-5-甲基-6-取代苄胺基喹唑啉类化合物。
, http://www.100md.com
1 材料与方法
化合物的合成路线如图1所示[2]。
图1 喹唑啉的合成路线
Figure 1 The synthetic route of the quinazolines
柱层析所用硅胶为青岛海洋化工厂生产的硅胶H或200~300目硅胶。化合物的1H-NMR由JEOL-FX-90Q或VXR-300型仪器测定,TMS为内标,δ值(ppm)[δ=(样品中被测磁核的共振频率-标准物中磁核的共振频率)÷标准物中磁核的共振频率×106];质谱用VG20-253GC/MS/DC测定;元素分析由美国PE公司2400型元素分析仪测定,用显微熔点仪和电热熔点管测定了所有化合物熔点,温度未经校正。
, 百拇医药
1.1 2,4-二氨基-5-甲基喹唑啉的合成[2,3]
2-甲基-6-氨基苄腈(0.053 mol),二氰二胺(0.083 mol),2.87mol.L-1盐酸33 ml(0.09 mol),加热回流4.5h,加入20ml热水,趁热抽滤,滤液用0.94mol.L-1碳酸钠溶液调pH=9,滤出沉淀,室温干燥,用水重结晶,得2,4-二氨基-5-甲基喹唑啉白色针状晶体8.2g,产率89.1%,mp209~211℃(文献[3]为210~212℃)。
1.2 2,4-二氨基-5-甲基-6-硝基喹唑啉的合成
2,4-二氨基-5-甲基喹唑啉18g(0.1 mol)放入250 ml三口瓶中加入36 ml水,加热至100℃,滴入市售14.4 mol.L-1浓硝酸36ml(0.52mol)冷却抽滤,干燥得2,4-二氨基-5-甲基喹唑啉的硝酸盐黄色固体19.7g,mp219℃分解。
, 百拇医药
发烟硝酸86.4 ml(1.95 mol)放入250 ml三口瓶中,冰盐浴冷却,瓶内温度0~10 ℃滴入浓硫酸86.4ml,瓶内温度低于4℃时,分次加入2,4-二氨基-5-甲基喹唑啉的硝酸盐黄色固体19.7g,加完后搅拌1 h,接着室温搅拌2h,反应液倒入1200 ml冰水中,抽滤干燥得2,4-二氨基-5-甲基-6-硝基喹唑啉黄色固体20g,产率80.6%,mp290℃分解(文献[2]为293℃分解)。
1.3 2,4,6-三氨基-5-甲基喹唑啉的合成
2,4-二氨基-5-甲基-6-硝基喹唑啉20 g溶于14.4 mol.L-1乙酸300ml,回流,抽滤,低于20 ℃用浓氨水碱化滤液,得2,4-二氨基-5-甲基-6-硝基喹唑啉的乙酸盐黄色固体15g,287℃分解(文献[2]为288℃)。
7 g 2,4-二氨基-5-甲基-6-硝基喹唑啉的乙酸盐(0.025 mol)加热溶于无水乙醇及少量乙二醇独甲醚中,放入加压釜内,加入钯与碳的质量比为5∶95的催化剂2g,维持氢气压力0.25 MPa,反应时间8 h,浓缩反应液,得到黄色固体,用水重结晶得2,4,6-三氨基-5-甲基喹唑啉乙酸盐的黄色固体4.9g,产率78.4%,mp220~222℃(文献[2]220~224℃)。
, http://www.100md.com
1.4 2,4-二氨基-5-甲基-6-[(2'-正丙氧基)亚苄基胺基]喹唑啉的合成
1 g 2,4,6-三氨基-5-甲基喹唑啉乙酸盐(0.0053 mol),2.61 g邻正丙氧基苯甲醛(0.0159mol),10g 3A分子筛,20ml无水乙醇,放入50ml茄形瓶里,回流7h,滤出分子筛,滤液加入硅胶H拌样,减压柱层析(CH2Cl2与CH3OH体积比为5∶1)得2,4-二氨基-5-甲基-6-[(2'-正丙氧基)亚苄基胺基]喹唑啉黄色固体0.78g,产率58.2%,mp164~165℃。EI-m/e 335(M+),90M 1H-NMR(DMSO)δ:1.0t 3H CH3,1.6~1.87 m 2H CH3,2.81 S 3H ph CH3,4.08 t 2H OCH2,7.07~7.67m 6H ph,8.84 s 1H N=CH。
, 百拇医药
1.5 2,4-二氨基-5-甲基-6-[(2'-正丙氧基苄基)胺基]喹唑啉的合成(D8)
2,4-二氨基-5-甲基-6-[(2'-正丙氧基亚苄基)胺基]喹唑啉0.27g(0.81 mmol),溶于30 ml无水乙醇中,加入钯与碳的质量比为5∶95的催化剂0.2g,外浴60℃,氢气压力0.2~0.22 MPa,还原8h,浓缩溶剂,固体用无水乙醇重结晶得2,4-二氨基-5-甲基-6-[(2-正丙氧基苄基)胺基]喹唑啉D8的黄色固体0.19g,产率70.4%,mp184~185℃。
2 结果
喹唑啉产物的结果及波谱数据见表1、图2。
表1 2,4-二氨基-5-甲基-6-取代苄胺基喹唑啉的理化常数、质谱和对L1210细胞的抑制活性
Table 1 The physical-chemical constants , mass spectrums and the inhibitory activities to L1210 cell
, http://www.100md.com
of 2,4-diamino-5-methyl-6-substituted benzylamino quinazolines
X
t/℃
M+ and the main
fragment peaks
The inhibitory activities
to L1210/cell#
D1
, 百拇医药
4-OCH3
224~226
309,188,171,121
2.24
D2
3-CH3
142~144
293,188,171,105
17.0
D3
3,4-(OCH3)2
, http://www.100md.com
241~243
339,188,171,151
25.1
D4
3-OCH2CH2OCH3, 4-OCH3
82~84
383,188,171
17.0
D5
2,3-(OCH3)2
, 百拇医药
203~205
339,188,171
17.8
D6
4-OC3H7
178~180
337,188,171
20.4
D7
4-OC2H5
189~191
, 百拇医药
323,188,171,135
20.0
D8
2-OC3H7
184~185
337,188,171,149
8.91
D9
2-OC4H9
150~152
351,188,171
, 百拇医药
52.5
D10
2-OC2H5
174~176
323,188,171,135
22.4
D11
3-OCH3,4-OC4H9
193~195
379,188
, 百拇医药
24.5
D12
3-OC3H7,4-OCH3
202~204
367,188,179,171
19.0
D13
2,4-Cl2
170~172
347,349,188,171,161,159
, 百拇医药
20.0
D14
3-OCH3,4-OC6H13
185~187
409,188,221,171
1.20
D15
2-Br,5,6-(OCH3)2
248~250
417,419,188,339(-Br),171
, 百拇医药
1.44
D16
3-OCH3,4-OCH2COOC2H5
100~102
411,188
1.58
D17
3-OC6H13
124~126
379,188,171
, http://www.100md.com
112
D18
2-OC6H13
154~156
379,188,171
12.9
D19
3-OCH3,4-OCH2OCH3
280(dec)
369,188,181,171
, http://www.100md.com
0.794
D20
2-OCH2OCH3
240~242
339,188,171
1.15
D21
3-OCH2OCH3
246~248
339,188,171
13.2
, 百拇医药
D22
3,5-(OCH3)2
204~206
339,188,151,171
1.78
D23
H
191~193
279,188,171
1.38
D24
, 百拇医药
4-OC6H13
159(dec)
379,188,191,171
2.82
D25
4-OOCCH3
100~102
337,188,171
2.24
D26
3-OOCCH3
, 百拇医药
144~146
337,188,171
1.74
D27
3,5-Br2,4-OCH2COOC2H5
174~176
537,188,459,381,171
0.562
D28
2-OH
, http://www.100md.com
176(dec)
295,171
3.16
The element analyseis of all the compounds are within 0.5%;
#,50% inhibiting concentration, 108 mol.L-1.
图2 2,4-二氨基-5-甲基-6-取代苄胺基喹唑啉的核磁共振氢谱数据
, 百拇医药 Figure 2 The 1H-NMR data of 2,4-diamino-5-methyl-6-substituted
benzylamino quinazolines
采用四甲基偶氮唑蓝比色法(MTT法)测定了所有28个化合物对鼠L1210白血病细胞的抑制作用。到目前为止,用MTT法还得到了部分化合物对人白血病HL-60细胞、人红白血病K562细胞和人胃癌BGC细胞的抑制作用;用磺酰罗丹明B染色法(SRB法)测定部分化合物对人结肠癌HCT-8细胞的抑制作用。结果见表1、2。
表2 一些喹唑啉化合物对其它肿瘤细胞的抑制作用
Table 2 The inhibitory effects of several quinazolines to other tumor cell lines No.
, 百拇医药
c/(mol.L-1)
HCT-8#
A
c/(mol.L-1)
HL-60#
A
c/(mol.L-1)
BGC#
A
c/(mol.L-1)
, 百拇医药
K562#
A
10-7
69.10
10-7
6.57
10-7
47.3
10-7
66.95
D1
, 百拇医药
10-6
78.59
+++
10-6
75.4
++
10-6
64.1
++
10-6
67.70
+++
, 百拇医药
10-5
84.31
10-5
99.1
10-5
74.3
10-5
73.79
10-7
70.49
10-7
, 百拇医药
23.31
10-7
30.9
10-7
65.98
D2
10-6
76.93
++
10-6
68.55
++
, 百拇医药
10-6
68.3
++
10-6
71.44
+++
10-5
80.36
10-5
82.62
10-5
88.3
, http://www.100md.com
10-5
77.33
10-7
71.60
10-7
74.75
10-7
64.5
10-7
71.65
D3
, 百拇医药
10-6
77.48
+++
10-6
83.72
++
10-6
70.3
++
10-6
73.47
+++
, http://www.100md.com
10-5
91.99
10-5
97.10
10-5
82.5
10-5
75.08
10-7
22.67
10-7
, http://www.100md.com
29.10
10-7
25.1
10-7
70.37
D4
10-6
65.85
++
10-6
78.16
++
, 百拇医药
10-6
65.1
++
10-6
84.06
+++
10-5
73.47
10-5
80.41
10-5
62.5
, 百拇医药
10-5
86.10
10-7
65.61
10-7
35.03
10-7
27.7
10-7
73.05
D5
, http://www.100md.com
10-6
76.12
+++
10-6
77.42
++
10-6
63.2
++
10-6
86.52
+++
, 百拇医药
10-5
80.52
10-5
87.81
10-5
62.0
10-5
88.13
10-7
56.28
10-7
, http://www.100md.com
23.24
10-7
29.6
10-7
47.38
D6
10-6
71.39
+++
10-6
81.24
++
, 百拇医药
10-6
63.2
++
10-6
67.05
++
10-5
98.34
10-5
97.17
10-5
80.6
, http://www.100md.com
10-5
97.21
A, assessment; ++, moderate inhibitory activities; +++,potent inhibitory activities; #, inhibitory percentage(%).
3 讨论
文献[4]报道各种取代的喹唑啉类化合物的西佛碱(Schiff base)形成一般用DMF作溶剂,三氨基喹唑啉与取代苯甲醛反应,由苯共沸带水,然后浓缩溶剂制得;或用乙二醇独乙醚作溶剂,回流后浓缩得产物。因为溶剂沸点高,所以后处理蒸溶剂较麻烦;而且反应时间长。我们在实验中采取经过处理的3A分子筛(300℃干燥5h)干燥过的无水乙醇作溶剂,并在反应液中加入经300℃干燥5h的3A分子筛以吸收反应中产生的水,从而促进反应的进行,使反应时间减少,反应时间一般可减至2h左右,而且反应后生成的西佛碱一般不溶于溶剂,可直接过滤得到产物。部分溶解的西佛碱通过硅胶柱层析得到产物。
, http://www.100md.com
在还原胺化反应中,主要产物为苄胺,得到的苄胺发生氢解的产物较少。一般在钯催化剂存在的条件下,易发生苄胺的氢解反应。苄基发生氢解反应的活性与其结构有很大关系,碳氮键的氢解活性通常低于碳卤键和碳氧键,苄基与氮或氧相连时的发生氢解脱苄反应的活性由高到低依次为:苄基取代的季胺盐、苄氧、苄基取代叔胺、苄基取代仲胺。苄基取代的仲胺发生氢解反应活性最低。另外本反应中,苄胺上的取代基多为推电子基团,增加了苄基的电子云密度,也使氢解反应的活性降低。
药理实验结果表明,化合物D19和D27对小鼠白血病L1210细胞有较强的抑制作用。其他化合物也有一定的抑制活性,说明该类化合物在抑制肿瘤细胞的作用方面值得进一步通过构效关系研究,以发现抑制活性更强的化合物。另外在已测定的结果中化合物D1、D3、D5和D6对人结肠癌HCT-8细胞;D1~5对人红白血病K562细胞有较强的抑制作用;D1~6对人白血病HL-60细胞及人胃癌BGC细胞有一定的抑制作用。其他化合物的抑制作用正在测定中。鉴于目前对结肠癌尚未找到有效的治疗药物,通过已测定的几个化合物的活性结果表明该类化合物抑制结肠癌的活性也值得深入研究。
, http://www.100md.com
* 国家自然科学基金(39270805)资助项目。
参考文献
1 Jeffrey MB, Hansch C. Silipo C, et al. Structure-activity relationships of dihydrofolate reductase inhibitors. Chem Rev, 1984,84:333-407
2 Davoll J, Johnson AM. Quinazoline analogues of folic acid. J Chem Soc, 1970,16:997-1002
3 Rosowsky A, Marini JL, Nadel ME, et al. Quinazolines Ⅵ ynthesis of 2,4-diamino quinazolines from anthranilonitriles. J Med Chem, 1970,13:882-886
4 Davoll J, Johnson AM, Davies HJ, et al. Folate antagonists 2:2,4-diamino-6-{[aralkyl and (heterocyclic)methyl]amino}quinazolines, a novel class of antimetabolites of interest in drug-resistant malaria and Ghagas' disease. J Med Chem, 1972,15:812-826
(1998-04-21收稿)
(本文编辑:王 蕾), http://www.100md.com