利用核磁技术确定游离羟基碳苷的结构和构型
作者:王文忠 吕以仙 张佩瑛
单位:北京大学药学院化学生物学系,北京 100083
关键词:游离羟基碳苷;分子结构;核磁共振
北京医科大学学报000324 [摘 要] 目的:确定游离羟基碳苷的结构和苷键的构型。方法:以核磁共振谱(氢谱,碳谱,氢氢相关谱等)为主,辅以其它波谱数据推断。结果:证实了所合成的五个游离羟基碳苷a~e均为β-吡喃构型。结论:在无对照品的情况下采用多种波谱数据直接确证游离羟基碳苷的结构和构型是可行的。
[中图分类号] Q74 [文献标识码] B
[文章编号] 1000-1530(2000)03-0277-03
Affirming structure and configuration of free hydroxyl C-glycosides by NMR
, http://www.100md.com
WANG Wen-Zhong, LU Yi-Xian, ZHANG Pei-Ying
(Department of Chemical Biology, School of Pharmaceutical Sciences,Peking University,Beijing 100083, China)
ABSTRACT Objective: To affirm structure and glycosidic bond configuration of free hydroxyl C-glycosides. Methods: NMR (1HNMR, 13CNMR, 1H- 1HCOSY, NOESY , etc.) were used as dominant factors, assisted by other spectrum data. Results: All free hydroxyl C-glycosides synthesized were β-C-pyranglycosides. Conclusion: It is possible to directly determine the structure and configuration of free hydroxyl C-glycosides with many kinds of spectrum data, which particularly suits circumstance of no contrast product.
, 百拇医药
KEY WORDS Free hydroxyl C-glycosides; Molecular structure; Nuclear magnetic resonance▲
随着具有生理活性的天然碳苷化合物(代表物showdomycin和vienomycin[1])不断被发现,碳苷化合物成为人们寻找新结构药物的重要来源之一。特别是近年来,在糖化学、酶化学及有机合成研究中碳苷成为继氧苷之后人们关注的另一热点之一。出于研究糖苷酶抑制剂的需要,所用碳苷最好是游离羟基,以保证有较好的水溶性及与底物结构有最大程度的相似性。我们由游离的戊醛糖和己醛糖开始,采用一步法立体专一性地合成出5个游离β-吡喃糖苯乙酮基碳苷(a~e,图1),经文献检索,化合物(a~e)未见报道。为此我们以核磁谱为主结合其它波谱数据确证了它们的结构和苷键的构型。
1 材料与方法
1.1 仪器与试剂
, http://www.100md.com
元素分析型号为PE-240C;核磁共振谱用 INOVA-500 核磁共振仪测定, TMS作为内标。室温。溶剂: DMSO-d6,5 mm样品管, 1H 90°脉宽8.6 μs, 13C 90°脉宽16 μs。探头:ID-PFG(反向-梯度探头),NOESY混合时间0.8 s。质谱用AEI MS-50 SD90(EIMS)和VG ZabspecE质谱仪测定(HMS)。红外光谱仪型号为PE-983;旋光仪型号AA-10R;熔点测定仪为国产显微熔点测定仪。 试剂:未注明的均为市售CP或AR级产品,不经处理直接使用。测试样品通过 Wittig-Horner 反应一步法合成得到。
图1 碳苷a~e
Figure 1 Structures of C-glycosides a-e
, 百拇医药
1.2 测试方法
通过红外光谱,元素分析及高分辨质谱对a~e样品进行定性及定量的基础上,在无对照样品的情况下主要利用1HNMR、13CNMR、NOESY、1H-1H COSY等核磁谱确证糖环的大小及苷键的构型。
2 结果
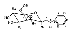
碳苷a~e的主要测试数据见表1。以下分析以碳苷a为代表,其结构及C、H 归属见图2,表2,NOESY谱见图3。
分析测试数据表明,所得碳苷a~e糖基部分均为吡喃环,苷键为β- 构型。
表1 碳苷a~e的主要测试数据
Table 1 Major determined data of C-glycosides a-e C-glycosides
, http://www.100md.com
m.p(℃)
[α]26D
0
IR (cm-1)
13CNMR δ
1HNMR
δ H1
Element analysis
υC=0
υpH-H
, 百拇医药
υC-NO2
C=O
C1
C6
COCH2
C
H
a
163
dep.
-17.39
C 0.46
, 百拇医药
1 686
1 589
694
-
197.90
81.24
61.51
39.97
3.94
59.57
59.35
6.43
6.73
, 百拇医药
b
203
-204
-20.00
C 0.60
1 671
1 590
684
-
198.20
80.75
61.08
41.30
, 百拇医药
3.71
59.57
59.28
6.43
6.15
c
149.5
-151
+19.05
C 0.84
1 692
1 609
, http://www.100md.com
690
1 529
1 347
-
-
-
-
4.30
328.290 2#
328.102 7
d
101
, http://www.100md.com -102
-49.12
C 0.57
1 672
1 591
687
-
198.90
78.18
65.16
41.16
3.94
253.266 4#
, 百拇医药
253.106 9
e
syrup
-40.00
C 0.40
1 673
1 593
687
-
198.40
81.75
59.77
, http://www.100md.com 42.86
4.10
-
#, HMS(M+H)+; ,calculated data; , found data.表2 碳苷a NMR谱归属(原子编号见图2)
Table 2 1H and 13CNMR data of C-glycoside a(atomes positions see figure 2) δH
7.95
7.65
7.54
4.72
, http://www.100md.com
4.69
4.52
4.32
3.94
3.65
3.63
3.41
3.35
3.28
3.05
H numbers
2
1
, http://www.100md.com
2
1
1
1
1
1
1
1
1
2
2
1
H positions
10
, http://www.100md.com
12
11
C4-
C3-
C2-
C6-
1
2
6
6′
3
7
, 百拇医药
5
14
13
OH
OH
OH
OH
4
7′
δC
197.9
136.9
133.2
, http://www.100md.com
128.7
127.9
81.2
74.8
74.1
70.2
67.1
61.5
39.9
〗C numbers
1
1
1
, 百拇医药
2
2
1
1
3
1
1
C positions
8
9
12
10
11
1
, http://www.100md.com
5
2-4
6
7
14
13
图2 碳苷a结构示意图
Figure 2 Structure of C-glycoside a
3 讨论
Railton报道[2]用Wittig 和Wittig-Horner反应进行碳苷的合成时,先形成呋喃环,然后再转成吡喃环[3]得到α-和β-体的混合物,后经碱处理转成单一的β-体。在我们合成过程中,无论何种糖为原料,整个反应过程的TLC检测均只出现一个主产物点。下面以碳苷a(β-D-甘露糖基苯乙酮)为例说明确定产物环系大小及苷键构型的方法。
, 百拇医药
从理论上讲,在1HNMR谱中碳苷的C1-H应为多重峰,但实际上只给出了三重峰,这样就不可能利用通常的3JH1-H2来判断C1构型(实际上由于甘露糖的H1与H2的二面角在α-和β-体中几乎无差别,在无对照样品的情况下,利用3JH1-H2判断C1构型可靠性也不高)。虽然在α-和β-体的1H和13C谱中,H1和C1的位移值有一定差异,但我们无相应对照物,也不便判断。因此最后用NOESY谱确证了构型。当化合物1以β体存在时(图2),H1,H3,H5之间应有NOE效应[4],若以α-体存在则无此关系。从谱中(图3)看出,属于前者,此结果同样可说明其为吡喃环,而非呋喃环。
, http://www.100md.com
对于五碳糖形成的碳苷d、e,从表1列出的
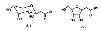
13 CNMR中C1的δ值可看出,它们与六碳糖的碳苷具有同样构型。此外,从1H谱可确定糖环的大小。因核糖碳苷(d)的1HNMR谱表明,3个OH中的H均为d峰,说明与-OH相连的碳上只有一个氢原子,不存在HOCH2-基团,故只能是吡喃环(图4,d-1),而不是呋喃环(图4,d-2)。e的1HNMR谱与之类似。
图3 碳苷a的NOESY谱
Figure 3 NOESY spectra of C-glycoside a
, 百拇医药
图4 碳苷d的两种可能结构
Figure 4 Two possible structures of C-glycoside d
在分析游离碳苷的质谱裂解规律时发现,碳苷d、e 没有脱掉甲醇的碎片离子。而脱掉甲醇的碎片离子的存在是糖环有HO-CH2-基团的重要证据,这从另一个角度也说明了碳苷d为吡喃环。■
王文忠,现在华北煤炭医学院;
基金项目:国家自然科学基金(29472034)资助项目;
参考文献
[1]Imamura N, Kakinuma N, Ikekawa N, et al. The structure of vineomycin B2 [J]. Antibiot, 1981, 34: 1517
, 百拇医药
[2]Railton CJ, Clive DLJ. Wittig chain extension of unprotected carbohydrates: formation of carbohydrate-derived α,β-unsaturated esters [J]. Carbohydrate Res, 1996,281: 69-77
[3]Davidson AH, Hughes LR, Qureshi SS, et al. Wittig reactions on unprotected aldohexoses: formation of optically active tetrahydrofurans and tetrahydropyrans [J]. Tetrahedron Lett, 1988,29: 693-669
[4]杜德克 H,笛特里克W.近代核磁共振谱阐明结构[M].于德泉译.北京: 北京医科大学中国协和医科大学联合出版社, 1991. 10-13
收稿日期:2000-01-12, 百拇医药
单位:北京大学药学院化学生物学系,北京 100083
关键词:游离羟基碳苷;分子结构;核磁共振
北京医科大学学报000324 [摘 要] 目的:确定游离羟基碳苷的结构和苷键的构型。方法:以核磁共振谱(氢谱,碳谱,氢氢相关谱等)为主,辅以其它波谱数据推断。结果:证实了所合成的五个游离羟基碳苷a~e均为β-吡喃构型。结论:在无对照品的情况下采用多种波谱数据直接确证游离羟基碳苷的结构和构型是可行的。
[中图分类号] Q74 [文献标识码] B
[文章编号] 1000-1530(2000)03-0277-03
Affirming structure and configuration of free hydroxyl C-glycosides by NMR
, http://www.100md.com
WANG Wen-Zhong, LU Yi-Xian, ZHANG Pei-Ying
(Department of Chemical Biology, School of Pharmaceutical Sciences,Peking University,Beijing 100083, China)
ABSTRACT Objective: To affirm structure and glycosidic bond configuration of free hydroxyl C-glycosides. Methods: NMR (1HNMR, 13CNMR, 1H- 1HCOSY, NOESY , etc.) were used as dominant factors, assisted by other spectrum data. Results: All free hydroxyl C-glycosides synthesized were β-C-pyranglycosides. Conclusion: It is possible to directly determine the structure and configuration of free hydroxyl C-glycosides with many kinds of spectrum data, which particularly suits circumstance of no contrast product.
, 百拇医药
KEY WORDS Free hydroxyl C-glycosides; Molecular structure; Nuclear magnetic resonance▲
随着具有生理活性的天然碳苷化合物(代表物showdomycin和vienomycin[1])不断被发现,碳苷化合物成为人们寻找新结构药物的重要来源之一。特别是近年来,在糖化学、酶化学及有机合成研究中碳苷成为继氧苷之后人们关注的另一热点之一。出于研究糖苷酶抑制剂的需要,所用碳苷最好是游离羟基,以保证有较好的水溶性及与底物结构有最大程度的相似性。我们由游离的戊醛糖和己醛糖开始,采用一步法立体专一性地合成出5个游离β-吡喃糖苯乙酮基碳苷(a~e,图1),经文献检索,化合物(a~e)未见报道。为此我们以核磁谱为主结合其它波谱数据确证了它们的结构和苷键的构型。
1 材料与方法
1.1 仪器与试剂
, http://www.100md.com
元素分析型号为PE-240C;核磁共振谱用 INOVA-500 核磁共振仪测定, TMS作为内标。室温。溶剂: DMSO-d6,5 mm样品管, 1H 90°脉宽8.6 μs, 13C 90°脉宽16 μs。探头:ID-PFG(反向-梯度探头),NOESY混合时间0.8 s。质谱用AEI MS-50 SD90(EIMS)和VG ZabspecE质谱仪测定(HMS)。红外光谱仪型号为PE-983;旋光仪型号AA-10R;熔点测定仪为国产显微熔点测定仪。 试剂:未注明的均为市售CP或AR级产品,不经处理直接使用。测试样品通过 Wittig-Horner 反应一步法合成得到。
图1 碳苷a~e
Figure 1 Structures of C-glycosides a-e
, 百拇医药
1.2 测试方法
通过红外光谱,元素分析及高分辨质谱对a~e样品进行定性及定量的基础上,在无对照样品的情况下主要利用1HNMR、13CNMR、NOESY、1H-1H COSY等核磁谱确证糖环的大小及苷键的构型。
2 结果
碳苷a~e的主要测试数据见表1。以下分析以碳苷a为代表,其结构及C、H 归属见图2,表2,NOESY谱见图3。
分析测试数据表明,所得碳苷a~e糖基部分均为吡喃环,苷键为β- 构型。
表1 碳苷a~e的主要测试数据
Table 1 Major determined data of C-glycosides a-e C-glycosides
, http://www.100md.com
m.p(℃)
[α]26D
0
IR (cm-1)
13CNMR δ
1HNMR
δ H1
Element analysis
υC=0
υpH-H
, 百拇医药
υC-NO2
C=O
C1
C6
COCH2
C
H
a
163
dep.
-17.39
C 0.46
, 百拇医药
1 686
1 589
694
-
197.90
81.24
61.51
39.97
3.94
59.57
59.35
6.43
6.73
, 百拇医药
b
203
-204
-20.00
C 0.60
1 671
1 590
684
-
198.20
80.75
61.08
41.30
, 百拇医药
3.71
59.57
59.28
6.43
6.15
c
149.5
-151
+19.05
C 0.84
1 692
1 609
, http://www.100md.com
690
1 529
1 347
-
-
-
-
4.30
328.290 2#
328.102 7
d
101
, http://www.100md.com -102
-49.12
C 0.57
1 672
1 591
687
-
198.90
78.18
65.16
41.16
3.94
253.266 4#
, 百拇医药
253.106 9
e
syrup
-40.00
C 0.40
1 673
1 593
687
-
198.40
81.75
59.77
, http://www.100md.com 42.86
4.10
-
#, HMS(M+H)+; ,calculated data; , found data.表2 碳苷a NMR谱归属(原子编号见图2)
Table 2 1H and 13CNMR data of C-glycoside a(atomes positions see figure 2) δH
7.95
7.65
7.54
4.72
, http://www.100md.com
4.69
4.52
4.32
3.94
3.65
3.63
3.41
3.35
3.28
3.05
H numbers
2
1
, http://www.100md.com
2
1
1
1
1
1
1
1
1
2
2
1
H positions
10
, http://www.100md.com
12
11
C4-
C3-
C2-
C6-
1
2
6
6′
3
7
, 百拇医药
5
14
13
OH
OH
OH
OH
4
7′
δC
197.9
136.9
133.2
, http://www.100md.com
128.7
127.9
81.2
74.8
74.1
70.2
67.1
61.5
39.9
〗C numbers
1
1
1
, 百拇医药
2
2
1
1
3
1
1
C positions
8
9
12
10
11
1
, http://www.100md.com
5
2-4
6
7
14
13
图2 碳苷a结构示意图
Figure 2 Structure of C-glycoside a
3 讨论
Railton报道[2]用Wittig 和Wittig-Horner反应进行碳苷的合成时,先形成呋喃环,然后再转成吡喃环[3]得到α-和β-体的混合物,后经碱处理转成单一的β-体。在我们合成过程中,无论何种糖为原料,整个反应过程的TLC检测均只出现一个主产物点。下面以碳苷a(β-D-甘露糖基苯乙酮)为例说明确定产物环系大小及苷键构型的方法。
, 百拇医药
从理论上讲,在1HNMR谱中碳苷的C1-H应为多重峰,但实际上只给出了三重峰,这样就不可能利用通常的3JH1-H2来判断C1构型(实际上由于甘露糖的H1与H2的二面角在α-和β-体中几乎无差别,在无对照样品的情况下,利用3JH1-H2判断C1构型可靠性也不高)。虽然在α-和β-体的1H和13C谱中,H1和C1的位移值有一定差异,但我们无相应对照物,也不便判断。因此最后用NOESY谱确证了构型。当化合物1以β体存在时(图2),H1,H3,H5之间应有NOE效应[4],若以α-体存在则无此关系。从谱中(图3)看出,属于前者,此结果同样可说明其为吡喃环,而非呋喃环。
, http://www.100md.com
对于五碳糖形成的碳苷d、e,从表1列出的
13 CNMR中C1的δ值可看出,它们与六碳糖的碳苷具有同样构型。此外,从1H谱可确定糖环的大小。因核糖碳苷(d)的1HNMR谱表明,3个OH中的H均为d峰,说明与-OH相连的碳上只有一个氢原子,不存在HOCH2-基团,故只能是吡喃环(图4,d-1),而不是呋喃环(图4,d-2)。e的1HNMR谱与之类似。
图3 碳苷a的NOESY谱
Figure 3 NOESY spectra of C-glycoside a
, 百拇医药
图4 碳苷d的两种可能结构
Figure 4 Two possible structures of C-glycoside d
在分析游离碳苷的质谱裂解规律时发现,碳苷d、e 没有脱掉甲醇的碎片离子。而脱掉甲醇的碎片离子的存在是糖环有HO-CH2-基团的重要证据,这从另一个角度也说明了碳苷d为吡喃环。■
王文忠,现在华北煤炭医学院;
基金项目:国家自然科学基金(29472034)资助项目;
参考文献
[1]Imamura N, Kakinuma N, Ikekawa N, et al. The structure of vineomycin B2 [J]. Antibiot, 1981, 34: 1517
, 百拇医药
[2]Railton CJ, Clive DLJ. Wittig chain extension of unprotected carbohydrates: formation of carbohydrate-derived α,β-unsaturated esters [J]. Carbohydrate Res, 1996,281: 69-77
[3]Davidson AH, Hughes LR, Qureshi SS, et al. Wittig reactions on unprotected aldohexoses: formation of optically active tetrahydrofurans and tetrahydropyrans [J]. Tetrahedron Lett, 1988,29: 693-669
[4]杜德克 H,笛特里克W.近代核磁共振谱阐明结构[M].于德泉译.北京: 北京医科大学中国协和医科大学联合出版社, 1991. 10-13
收稿日期:2000-01-12, 百拇医药