不同类型视网膜脱离患者视网膜下积液蛋白质结构分析
作者:陈翠真 魏文斌 张煦 翁乃清 董冰 许振华
单位:陈翠真(北京市眼科研究所,北京 100005);魏文斌(北京同仁医院,北京);张煦(北京大学稀土材料及应用国家重点实验室,北京);翁乃清(北京同仁医院,北京);董冰(北京市眼科研究所,北京 100005) 许振华(北京大学稀土材料及应用国家重点实验室,北京)
关键词:视网膜脱离;光谱分析;拉曼;傅里叶分析
不同类型视网膜脱离患者视网膜 下积液蛋白质结构分析摘 要:为比较不同类型视网膜脱离(RD)患者视网膜下积液(SRF)蛋白质结构的异同,我们用傅里叶拉曼(FTRaman)和傅里叶红外(FTIR)光谱测定不同类型RD患者血清及SRF蛋白质结构。结果发现不同类型RD患者血清的两种光谱很相似,但他们的SRF的两种光谱因类型和病程而异。不同类型RD患者SRF不仅有芳香族结构明显改变,而且脂蛋白结构也有改变。
, http://www.100md.com
分类号:R774.1+2 文献标识码:B
文章编号:1004-4469(2000)01-0042-04
Protein conformational analysis of subretinal fluid in different types retinal detachment
CHEN Cui-zhen
(Beijing Institute of Ophthalmology,Beijing 100730)
Abstract:In order to compare the protein conformation of subretinal fluid (SRF) among different types of retinal detachment (RD) by Fourier transformed Raman and infrared(FTRaman and FTIR) spectroscopy.We found that the two spectral features in the serum of patients with different RD types were essentially the same,but the two spectral features in SRF varied with the different types RD and duration.Not only had the peaks of aromatics changed obviously,but also the peaks of lipid protein too.
, 百拇医药
Key words:retinal detachment;spectrum analysis,Raman;Fourier analysis▲
我们曾报道[1]用傅里叶拉曼(Fourier transformed Raman,FTRaman)和傅里叶红外(Fourier transformed infrared,FTIR)光谱分析了孔源性视网膜脱离(RD)患者(包括伴高度近视患者)血清及SRF蛋白质的结构。本文继续用上述两种光谱进一步比较不同类型RD患者的血清及SRF蛋白质结构的异同。
1 材料和方法
1.1 材料
脉络膜脱离2例(男,29岁,病程40天;女,58岁,病程5个月)多发,大裂孔(>3PD)2例,(男,22岁,病程1周;女,60岁,病程2周)两次RD初次手术失败1例(男,28岁,病程6个月);锯齿缘断离,SRF呈现黄色水液1例(男,30岁,病程1.5个月)。健康人血清4例,平均年龄31.3岁。按常规方法取血清和SRF。
, http://www.100md.com
1.2 方法
1.2.1 样品处理 将收集的血清和SRF样品按每例分装,冷冻干燥,密封样品管置4℃干燥器保存备用。
1.2.2 FTRaman光谱分析 用Bruker RFS100 FRRaman光谱仪,测定时将样品装入微量样品池即可。
1.2.3 FTIR光谱分析 用Nicolel Magna 750 FTIR中红外光谱仪,用显微红外测定吸收光谱。
2 结果
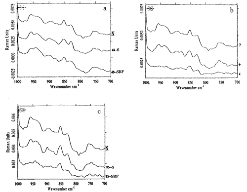
2.1 FTRaman光谱分析 实验发现不同类型的RD患者血清的FTRaman光谱与健康人血清的很相似,它们的蛋白质结构也有酰胺Ⅰ、Ⅱ、Ⅲ和芳香族的基团频率振动,其中以酰胺Ⅲ的谱峰最大,但彼此的峰面积有区别(图1)他们的SRF在700-1000cm-1的振动因RD类型不同而有明显的改变(图2,a-c)。
, 百拇医药
图 1 视网膜脱离患者血清(35-S)、SRF(35-SRF)与健康人血清(N)的FIRaman光谱
图 2 不同类型视网膜脱离(RD)患者血清及SRF的FIRaman光谱
a 脉络膜脱离患者血清(43-S)和SRF(43-SRF)
b 多发、大裂孔RD患者血清(40-S)和SRF(40-SRF)
c 第2次RD手术患者血清(35-S)TSRF(35-SRF)
2.2 FTIR光谱分析 不同类型的患者血清的FTIR光谱与其匹配的健康人血清的也基本相似。但不同类型RD患者的SRF的吸收光谱有很大差异,不仅有芳香族改变,还发现脂蛋白基团振动不一,甚至同一类型的SRF因病程不同,其间也有改变(图3a-c)。
, http://www.100md.com
3 讨论
众所周知,在临床上进行视网膜脱离复位手术时,常常受RD的复杂程度而制约,其中脉络膜脱离RD手术或第二次RD复位手术的难度更大。本实验用FTRaman光谱测定表明,脉脱型的SRF的峰位与其血清的几乎相同,而行第二次手术或多发、大裂孔患者的SRF的峰位不尽相同。这些差别可能与其视网膜色素上皮受损程度不一有关,这些资料补充了以往的报道[2]。Yoshino等[3]曾指出,患有大裂孔的RD患者的SRF中蛋白质组成大体与其血清的相似,是因为视网膜色素上皮的功能屏障受损严重,我们支持这种观点。近年Schneeberger等[4]报道,孔源性视网膜脱离或渗出性RD患者SRF中有阿朴脂蛋白E,其浓度随病程而增加,我们在不同类型RD病例中,也发现SRF的蛋白质结构随病程延长而异,这表明RD类型和病程均能影响SRF中蛋白质结构改变,但它们改变的基团仍以芳香族为主,这与我们最近的报道[1]一致。
, http://www.100md.com
另外,不同类型RD的SRF蛋白质的红外吸收光谱则与前有所不同,它们不仅有芳香族基团改变,而且脂蛋白的谱带(3000-3500cm-1也有改变,甚至同一类型也因病程而异(图3a-c)。例如,脉脱型的43-SRF较31-SRF病程长,前者谱带面积明显大于后者。有人认为脂质过氧化产物至少有一部分来自杆状外节,它在RD中起着重要作用[5]。我们在过去的报道[1]未发现脂蛋白的谱带异常,而本实验的严重病例有此现象,将有助于探讨RD病因。至于脂蛋白、芳香族进一步氧化是否与RD时视网膜色素上皮细胞凋亡有关,尚待进一步研究。
图 3 不同类型视网膜脱离(RD)患者清及SRF的FTIR光谱
a 脉络膜脱离患者血清(32-S;43-S)和SRF(31-SRF;43-SRF)
, 百拇医药
b 多发、大裂孔RD患者血清(39-S;40-S)SRF(39-SRF;40-SRF)
c 第二次RD手术患者血清(35-S)和(35-SRF);锯齿缘裂孔RD患者血清(38-S)和SRF(38-SRF)
以上实验表明,不同类型RD患者SRF中的芳香族和脂蛋白的结构改变与RD病因密切相关,但彼此的因果关系尚待研究。■
参考文献:
[1] 陈翠真,魏文斌,董 冰,等.视网膜脱离患者血清及视网膜下液蛋白质结构分析:眼科研究,1998,16:165.
[2] 陈翠真.视网膜脱离中视网膜下液的生化成分(综述).国外医学眼科学分册.1986,10:321.
[3] Yoshino Y,Toshida K,Alazawa Y,et al.An analysis of subretina fluid in bullous retinal detachment.Ophthalmologiy,1990,200:123.
, 百拇医药
[4] Schneeberger SA,Iwahashi CK,Hjelmeland IM,et al.Apolipoprotein E in the subretinal fluid of rhegmatogenous and exudative retinal detachments.Retina,1997,17:38.
[5] Bosch-morell F,Sanz A,Diaz-Lopis M,et al.Lipid peroxidation products in human subretinal fluid.Free Radic Biol Med,1996,20:899.
收稿日期:1998-12-01
修稿日期:1999-09-03, 百拇医药
单位:陈翠真(北京市眼科研究所,北京 100005);魏文斌(北京同仁医院,北京);张煦(北京大学稀土材料及应用国家重点实验室,北京);翁乃清(北京同仁医院,北京);董冰(北京市眼科研究所,北京 100005) 许振华(北京大学稀土材料及应用国家重点实验室,北京)
关键词:视网膜脱离;光谱分析;拉曼;傅里叶分析
不同类型视网膜脱离患者视网膜 下积液蛋白质结构分析摘 要:为比较不同类型视网膜脱离(RD)患者视网膜下积液(SRF)蛋白质结构的异同,我们用傅里叶拉曼(FTRaman)和傅里叶红外(FTIR)光谱测定不同类型RD患者血清及SRF蛋白质结构。结果发现不同类型RD患者血清的两种光谱很相似,但他们的SRF的两种光谱因类型和病程而异。不同类型RD患者SRF不仅有芳香族结构明显改变,而且脂蛋白结构也有改变。
, http://www.100md.com
分类号:R774.1+2 文献标识码:B
文章编号:1004-4469(2000)01-0042-04
Protein conformational analysis of subretinal fluid in different types retinal detachment
CHEN Cui-zhen
(Beijing Institute of Ophthalmology,Beijing 100730)
Abstract:In order to compare the protein conformation of subretinal fluid (SRF) among different types of retinal detachment (RD) by Fourier transformed Raman and infrared(FTRaman and FTIR) spectroscopy.We found that the two spectral features in the serum of patients with different RD types were essentially the same,but the two spectral features in SRF varied with the different types RD and duration.Not only had the peaks of aromatics changed obviously,but also the peaks of lipid protein too.
, 百拇医药
Key words:retinal detachment;spectrum analysis,Raman;Fourier analysis▲
我们曾报道[1]用傅里叶拉曼(Fourier transformed Raman,FTRaman)和傅里叶红外(Fourier transformed infrared,FTIR)光谱分析了孔源性视网膜脱离(RD)患者(包括伴高度近视患者)血清及SRF蛋白质的结构。本文继续用上述两种光谱进一步比较不同类型RD患者的血清及SRF蛋白质结构的异同。
1 材料和方法
1.1 材料
脉络膜脱离2例(男,29岁,病程40天;女,58岁,病程5个月)多发,大裂孔(>3PD)2例,(男,22岁,病程1周;女,60岁,病程2周)两次RD初次手术失败1例(男,28岁,病程6个月);锯齿缘断离,SRF呈现黄色水液1例(男,30岁,病程1.5个月)。健康人血清4例,平均年龄31.3岁。按常规方法取血清和SRF。
, http://www.100md.com
1.2 方法
1.2.1 样品处理 将收集的血清和SRF样品按每例分装,冷冻干燥,密封样品管置4℃干燥器保存备用。
1.2.2 FTRaman光谱分析 用Bruker RFS100 FRRaman光谱仪,测定时将样品装入微量样品池即可。
1.2.3 FTIR光谱分析 用Nicolel Magna 750 FTIR中红外光谱仪,用显微红外测定吸收光谱。
2 结果
2.1 FTRaman光谱分析 实验发现不同类型的RD患者血清的FTRaman光谱与健康人血清的很相似,它们的蛋白质结构也有酰胺Ⅰ、Ⅱ、Ⅲ和芳香族的基团频率振动,其中以酰胺Ⅲ的谱峰最大,但彼此的峰面积有区别(图1)他们的SRF在700-1000cm-1的振动因RD类型不同而有明显的改变(图2,a-c)。
, 百拇医药
图 1 视网膜脱离患者血清(35-S)、SRF(35-SRF)与健康人血清(N)的FIRaman光谱
图 2 不同类型视网膜脱离(RD)患者血清及SRF的FIRaman光谱
a 脉络膜脱离患者血清(43-S)和SRF(43-SRF)
b 多发、大裂孔RD患者血清(40-S)和SRF(40-SRF)
c 第2次RD手术患者血清(35-S)TSRF(35-SRF)
2.2 FTIR光谱分析 不同类型的患者血清的FTIR光谱与其匹配的健康人血清的也基本相似。但不同类型RD患者的SRF的吸收光谱有很大差异,不仅有芳香族改变,还发现脂蛋白基团振动不一,甚至同一类型的SRF因病程不同,其间也有改变(图3a-c)。
, http://www.100md.com
3 讨论
众所周知,在临床上进行视网膜脱离复位手术时,常常受RD的复杂程度而制约,其中脉络膜脱离RD手术或第二次RD复位手术的难度更大。本实验用FTRaman光谱测定表明,脉脱型的SRF的峰位与其血清的几乎相同,而行第二次手术或多发、大裂孔患者的SRF的峰位不尽相同。这些差别可能与其视网膜色素上皮受损程度不一有关,这些资料补充了以往的报道[2]。Yoshino等[3]曾指出,患有大裂孔的RD患者的SRF中蛋白质组成大体与其血清的相似,是因为视网膜色素上皮的功能屏障受损严重,我们支持这种观点。近年Schneeberger等[4]报道,孔源性视网膜脱离或渗出性RD患者SRF中有阿朴脂蛋白E,其浓度随病程而增加,我们在不同类型RD病例中,也发现SRF的蛋白质结构随病程延长而异,这表明RD类型和病程均能影响SRF中蛋白质结构改变,但它们改变的基团仍以芳香族为主,这与我们最近的报道[1]一致。
, http://www.100md.com
另外,不同类型RD的SRF蛋白质的红外吸收光谱则与前有所不同,它们不仅有芳香族基团改变,而且脂蛋白的谱带(3000-3500cm-1也有改变,甚至同一类型也因病程而异(图3a-c)。例如,脉脱型的43-SRF较31-SRF病程长,前者谱带面积明显大于后者。有人认为脂质过氧化产物至少有一部分来自杆状外节,它在RD中起着重要作用[5]。我们在过去的报道[1]未发现脂蛋白的谱带异常,而本实验的严重病例有此现象,将有助于探讨RD病因。至于脂蛋白、芳香族进一步氧化是否与RD时视网膜色素上皮细胞凋亡有关,尚待进一步研究。
图 3 不同类型视网膜脱离(RD)患者清及SRF的FTIR光谱
a 脉络膜脱离患者血清(32-S;43-S)和SRF(31-SRF;43-SRF)
, 百拇医药
b 多发、大裂孔RD患者血清(39-S;40-S)SRF(39-SRF;40-SRF)
c 第二次RD手术患者血清(35-S)和(35-SRF);锯齿缘裂孔RD患者血清(38-S)和SRF(38-SRF)
以上实验表明,不同类型RD患者SRF中的芳香族和脂蛋白的结构改变与RD病因密切相关,但彼此的因果关系尚待研究。■
参考文献:
[1] 陈翠真,魏文斌,董 冰,等.视网膜脱离患者血清及视网膜下液蛋白质结构分析:眼科研究,1998,16:165.
[2] 陈翠真.视网膜脱离中视网膜下液的生化成分(综述).国外医学眼科学分册.1986,10:321.
[3] Yoshino Y,Toshida K,Alazawa Y,et al.An analysis of subretina fluid in bullous retinal detachment.Ophthalmologiy,1990,200:123.
, 百拇医药
[4] Schneeberger SA,Iwahashi CK,Hjelmeland IM,et al.Apolipoprotein E in the subretinal fluid of rhegmatogenous and exudative retinal detachments.Retina,1997,17:38.
[5] Bosch-morell F,Sanz A,Diaz-Lopis M,et al.Lipid peroxidation products in human subretinal fluid.Free Radic Biol Med,1996,20:899.
收稿日期:1998-12-01
修稿日期:1999-09-03, 百拇医药