绝经前后妇女骨代谢生化指标与骨超声声速的关系
作者:段定红 黄敏丽
单位:200011 上海医科大学附属妇产科医院
关键词:骨代谢生化指标;骨转换;女(雌)性;骨超声声速
绝经前后妇女骨代谢生化指标 与骨超声声速的关系 摘要 目的 观察绝经前后不同年龄妇女的骨超声声速和骨代谢生化指标的变化情况及相互关系。 方法 共197例绝经前后妇女,其中89例为绝经前组,按年龄每隔10年分组,88例为绝经后组。用ELISA法测定各个骨形成与骨吸收指标,同时B超声骨密度仪测定骨超声声速情况。 结果 绝经前骨超声声速无明显改变,绝经后骨超声声速明显下降,骨超声声速在绝经后与年龄及绝经年限呈负相关。骨超声声速与骨吸收指标呈负相关。骨吸收指标Pyd不但在绝经后明显上升,且在绝经前的第3组妇女中已较前有明显升高。 结论 骨代谢生化指标的改变先于骨超声声速的改变,骨量和骨代谢指标测定相结合,可能更有助于预测将来发生骨折的危险程度。
, http://www.100md.com
Relationship between bone biochemical markers and speed of sound in pre-and post-menopausal women
Duan Dinghong,Huang Minli
The Obstetric and Gynecological Hospital of Shanghai Medical University,Shanghai 200011,China
Abstract Objective To study the relationship between bone markers and bone speed of sound (SOS) in women of different ages. Methods 197 women were divided into two groups, 89 premenopausal women and 88 postmenopausal women.All bone formation and resorption markers were measured by enzyme linked immunosorbent assay(ELISA).SOS were measured by ultrasound. Results SOS was lower in postmenopausal women but not in premenopausal women.SOS decreased with age in the postmenopausal women and was negatively related to years since menopause.SOS was also negatively related to bone resorption markers. Pyridinoline (Pyd)in the third subgroup of premenopausal subjects already significantly increased compared with bone formation markers. Conclusions The change in SOS lags behind the change in bone biochemical markers.Measuring SOS and bone biochemical markers at the same time will be useful for calculating the risk of fracture.
, 百拇医药
Key words Bone metabolic biochemical markers Bone turnover Females Bone ultrasound velocity
骨质疏松症的发病机理主要是骨在新陈代谢过程中,旧骨吸收与新骨形成失衡所导致的骨量减少。目前已知,骨在不断地进行着物质代谢称为骨转换或骨重建,是吸收与形成的最终表现,这些过程通常是偶联的,其不平衡的结果往往表现为骨超声声速的变化,发生骨质疏松,最终的结局是骨痛与骨折。骨超声声速反映骨量丢失的情况,而测定骨代谢过程中的一些分解产物则可反映骨转换率。也就是说,这些血、尿中的生化指标也是反映骨量丢失的重要参数。我们研究观察了177名绝经前后妇女的骨超声声速及骨代谢生化指标的变化情况,同时给予其中30名绝经后低骨量妇女一定剂量的双磷酸盐制剂,以观察用药前后各骨代谢指标及骨超声声速的变化情况,并探讨骨代谢生化指标与骨超声声速、年龄和绝经年限之间的关系,以及骨代谢生化指标对指导临床用药的价值。
, 百拇医药
1 对象和方法
1.1 对象
共包括177名绝经前后妇女。其中89例年龄在25~55岁之间,有正常月经周期,按年龄分为3组,每组间隔10年:绝经前第1组,23例,年龄在25~35岁之间,平均年龄29.68±2.29岁;绝经前第2组,31例,年龄在36~45岁之间,平均年龄40.57±2.57岁;绝经前第3组,35例,年龄在46~55岁之间,平均年龄49.62±2.32岁。另外88例为绝经后妇女,年龄在48~68岁之间,平均年龄57.10±6.75岁,自然绝经至少1年以上。所有受试妇女经体格检查,肝肾功能正常,无内分泌疾病及钙代谢紊乱,以前未有过代谢性骨病病史,未服用过影响钙吸收及代谢的药物,未服用过避孕药物及其他激素类药物。
1.2 方法
所有受试者于晨时空腹采静脉血10ml,予离心后,-20℃保存。采血完毕,留取中段尿5 ml,-20℃保存。检测项目及方法:骨吸收指标尿胶原吡啶交联(Pyd)和骨形成指标血骨碱性磷酸酶(BALP),血骨钙素(BGP),血Ⅰ型胶原羧基末端前肽(CICP),均采用酶联免疫吸附法,药盒由美国Metra Biosystems公司生产。运用由Myriad Ultrasound Systems Ltd生产的Sound Scan 2000型B超骨超声声速仪测定胫骨超声声速(SOS),以低于年龄峰值骨量1~2.5SD为骨量减少,低于年龄峰值骨量-2.5SD为骨质疏松诊断标准。选择绝经后组中骨量减少者30例,给予服用羟乙膦酸钠片剂(商品名邦得林)200 mg,每天2次,每次一片,共60天;接着每天服用活性钙胶囊,每天3次,每次2片,共60天;4个月为一个疗程。
, 百拇医药
1.3 统计学分析
所有数据均采用均值±标准差(
)表示。运用由美国疾病控制中心(CDC)流行病学室和WHO AIDS病全球控制小组研制的Epi Info6 疾病数据管理软件进行数据分析。
2 结果
2.1 绝经前后骨代谢生化指标的变化情况
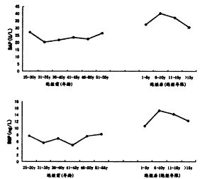
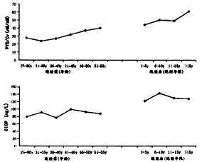
将绝经前妇女按年龄(每隔5年)分组,图1表示了各不同年龄妇女骨代谢生化指标的变化趋势,由图中可以看到,在绝经前5年,各骨代谢生化指标有一个突发、明显的上升。
, http://www.100md.com
图1(1) 骨代谢指标与年龄及绝经年限的关系
图1(2) 骨代谢指标与年龄及绝经年限的关系
2.2 绝经前后骨超声声速的变化情况
根据表1所示,在绝经前,骨超声声速测定值无明显的变化,但在绝经后,骨超声声速较绝经前有明显下降(P<0.01)。
表1 绝经前后骨超声声速测定值
绝经前1组
(n=23)
绝经前2组
, http://www.100md.com
(n=31)
绝经前3组
(n=35)
绝经前组
(n=89)
绝经后组
(n=88)
年龄
29.68±2.29
40.59±2.57
49.62±2.32
40.51±8.54
, 百拇医药
57.1±6.75
年龄范围
25~35
36~45
46~55
25~55
48~68
SOS(m/s)
3958.82±110.69
3940.43±102.11
3883.59±110.21
3960.23±107.54
, http://www.100md.com
3784.71±153.37**
注:**P<0.01;*P<0.05
同样,图2表示了各不同年龄妇女骨超声声速的变化趋势,由图2可以看到,在绝经后前5年,骨超声声速有一个突发明显的下降。
图2 骨密度与年龄(绝经前)
和绝经年限(绝经后)的关系
2.3 骨超声声速与骨代谢生化指标的关系
通过数据分析,发现在骨超声声速与各骨代谢生化指标之间,骨超声声速与骨形成指标BGP、BALP、CICP之间呈正相关(r=0.31、0.27、0.35),但与骨吸收指标Pyd/Cr之间呈明显负相关(r=0.48),而Hop/Cr与骨超声声速之间相关性差(r=0.13)。
, http://www.100md.com
根据表2所示,在绝经前,随年龄上升,各骨代谢指标均有上升趋势;在绝经后,骨吸收指标中的Pyd/Cr及骨超声声速与年龄呈明显负相关,r值分别为0.52、0.38、0.40。而骨吸收指标中的Hop/Cr则与年龄相关性差(r<0.02)。
表2 绝经前后年龄与骨超声声速、骨代谢指标的相关性
时间
SOS
Pyd/Cr
Hop/Cr
BGP
BALP
CICP
绝经前
, 百拇医药
0.33
0.37*
0.11
0.34*
0.42*
0.40*
绝经后
0.49**
0.58**
0.20
0.39*
, 百拇医药
0.35*
0.37*
绝经前后
0.40*
0.52*
0.13
0.37
0.36
0.38*
注:**P<0.01;*P<0.05
2.4 用药前后骨超声声速与骨代谢生化指标变化情况
, 百拇医药
表3显示了绝经后30名低骨量妇女(SOS<1SD)在服用邦得林片剂前后,各骨代谢指标、骨超声声速的变化情况。其中骨超声声速无明显改变(P>0.05),骨代谢指标中,除Pyd/Cr有显著下降(P<0.05)外,其余无显著改变(P>0.05)。
表3 用药前后骨超声声速、骨代谢指标测定值
指标
用药前
用药后
SOS(m/s)
3657.318±171.568
3661.259±152.88
骨形成指标
, http://www.100md.com
BGP(ng/ml)
12.759±2.28
14.194±2.652
BALP(u/l)
31.741±1.319
37.312±3.827
CICP(ng/ml)
108.00±8.651
110.647±7.634
骨吸收指标
Pyd/Cr(nm/mM)
, 百拇医药
61.658±6.505
36.218±1.172*
Hop/Cr(umol)
19.535±11.531
16.792±8.178
注:* P<0.05
3 讨论
由于骨超声声速只在绝经后才明显下降,由此观之,骨量的明显减少往往发生于绝经以后。但在此之前,骨量的微小改变已经发生,骨代谢生化指标的发展与测定方法的逐步完善,已有可能反映骨转换的微小改变,并间接反映出骨量的潜在变化。低骨量是导致绝经后骨质疏松症的主要原因之。在任何时候,测定骨超声声速是一个重要的预测骨折危险程度的方法。研究已经发现,绝经前骨超声声速无明显改变而在绝经后明显下降。但问题在于,哪个部位骨超声声速的测定能最有效的反映骨量情况,目前尚无定论。往往在某一部位骨超声声速的测定值较低,而在其他部位却得到了相对较高的数值。重复多次的测定可能有利于骨量的分析,但同时也大大增加了医疗耗资。故而在测定骨超声声速的同时测定骨代谢生化指标,将会对了解骨转换的状况有很大的帮助。
, 百拇医药
Pyd在绝经前第3组中就较前有了显著上升,而BGP、BALP、CICP的显著改变则在绝经之后。可见,骨形成指标的改变落后于骨吸收指标。根据文献报道,骨转换的提高首先起源于破骨细胞吸收骨质的增加,因此,在上述5个骨代谢指标中,Pyd可被认为是最敏感的反映骨转换情况的指标。
虽然骨超声声速在绝经前的测量值与年龄无关,但在绝经后,与年龄呈负相关,同时与绝经年限有密切关系。在绝经后的头5年,各骨代谢指标有一个突发明显的上升,而骨超声声速也在绝经后5年内的降低率最高,因此提示该年龄段骨量的急速下降明显受绝经影响。而60岁以上老年妇女骨量下降趋向缓慢,逐渐进入老年性匀速骨丢失阶段。骨吸收与形成指标上升状况的不同反映了绝经后妇女骨吸收大于骨形成而引起的钙代谢负平衡,而这个改变起源于围绝经期。因此,在围绝经期进行骨量和代谢指标的测定可能是一个最佳时机,有助于预测将来发生骨折的危险程度。
低骨超声声速的绝经后妇女,给予一定剂量的双磷酸盐制剂加钙治疗4个月后,检测发现骨超声声速无明显改变,而其中的Pyd/Cr、Hop/Cr值有了显著下降。目前已明确该类药物对骨具有直接作用,其对破骨细胞功能的影响主要为:(1)干扰成熟破骨细胞的活性。(2)可维持在足够大的骨表面上的一个浓度梯度进而直接影响其他细胞对破骨细胞的最终激活。我们的疗效观察相隔仅数月,因此未观察到骨超声声速的明显改变,但其中吸收指标的明显下降,则更进一步表明了由于骨代谢生化指标的改变先于骨超声声速,因此,它们为该病的治疗提供了一个动态观察的方法而不需长期等待骨超声声速的变化。可以在较短时间内提供疗效肯定或否定的客观依据,指导今后的治疗。
, 百拇医药
4 结论
4.1 骨代谢生化指标与骨超声声速变化有相关性。
4.2 骨代谢生化指标测定与骨超声声速测定相结合,能更确切的反映骨组织的实际情况,对骨质疏松的诊断有益。
4.3 骨代谢生化指标可更敏感的反映骨转换的情况,便于动态观察。
4.4 骨代谢生化指标的变化可指导临床用药(高转换率与低转换率用药有区别),并可协助判断疗效。
作者简介:段定红,女,主治医师,1966年5月28日生。1990年毕业于上海医科大学医学系,工作于上海医科大学附属妇产科医院。1998年获妇产科学硕士学位。
参考文献
1 Riis BJ.The role of bone turnover in the pathophysiology of osteoporosis.Br J Obstet Gynaecol 1996(Suppl),13:9-15.
, 百拇医药
2 Stegman MR,Heaney KP,Travers-Gustafson P,et al.Cortical ultrasound velocity as an indicator of bone status.Osteoporos Int,1995,5:349-353.
3 Orgee J,McCloskey EV,Foster H,et al.Tibial ultrasound velocity:a useful clinical measure of skeletal status.J Bone Miner Res,1994,9:s156.
4 Riis BJ.The role of bone loss.Am J Med,1995,98(Suppl 2A):29s-31s.
5 Raisz LG.The osteoporosis revolution.Ann Intern Med,1997,126(6):458-462.
, 百拇医药
6 Daniel T.Quantitative ultrasound:a technique to target women with low bone mass for preventive therapy.Am J Med.1995,98(Suppl 2A):48s-51s.
7 Raven P,Fliedelius C,Rosenquist C,et al.High bone turnover is associated with low bone mass in both pre-and postmenopausal women.Bone,1996,19(3):291-298.
8 Riis BJ,Hansen MA,Jensen AM,et al.Low bone mass and fast rate of bone loss at menopause:equal risk factor for future fracture:a 15-year follow-up study.Bone,1996,19(1):9-12.
, 百拇医药
9 Marcus R.Biochemical assessment of bone resorption and formation.Bone,1996,18(1):15s-16s.
10 John A.The endocrinology and biochemistry of osteoporosis.Osteoporosis,1997,56-58.
11 Meunier PJ,Boivin G.Bone mineral density reflects bone mass but also the degree of mineralization of bone:therapeutic implication.Bone,1997,21(5):373-377., 百拇医药
单位:200011 上海医科大学附属妇产科医院
关键词:骨代谢生化指标;骨转换;女(雌)性;骨超声声速
绝经前后妇女骨代谢生化指标 与骨超声声速的关系 摘要 目的 观察绝经前后不同年龄妇女的骨超声声速和骨代谢生化指标的变化情况及相互关系。 方法 共197例绝经前后妇女,其中89例为绝经前组,按年龄每隔10年分组,88例为绝经后组。用ELISA法测定各个骨形成与骨吸收指标,同时B超声骨密度仪测定骨超声声速情况。 结果 绝经前骨超声声速无明显改变,绝经后骨超声声速明显下降,骨超声声速在绝经后与年龄及绝经年限呈负相关。骨超声声速与骨吸收指标呈负相关。骨吸收指标Pyd不但在绝经后明显上升,且在绝经前的第3组妇女中已较前有明显升高。 结论 骨代谢生化指标的改变先于骨超声声速的改变,骨量和骨代谢指标测定相结合,可能更有助于预测将来发生骨折的危险程度。
, http://www.100md.com
Relationship between bone biochemical markers and speed of sound in pre-and post-menopausal women
Duan Dinghong,Huang Minli
The Obstetric and Gynecological Hospital of Shanghai Medical University,Shanghai 200011,China
Abstract Objective To study the relationship between bone markers and bone speed of sound (SOS) in women of different ages. Methods 197 women were divided into two groups, 89 premenopausal women and 88 postmenopausal women.All bone formation and resorption markers were measured by enzyme linked immunosorbent assay(ELISA).SOS were measured by ultrasound. Results SOS was lower in postmenopausal women but not in premenopausal women.SOS decreased with age in the postmenopausal women and was negatively related to years since menopause.SOS was also negatively related to bone resorption markers. Pyridinoline (Pyd)in the third subgroup of premenopausal subjects already significantly increased compared with bone formation markers. Conclusions The change in SOS lags behind the change in bone biochemical markers.Measuring SOS and bone biochemical markers at the same time will be useful for calculating the risk of fracture.
, 百拇医药
Key words Bone metabolic biochemical markers Bone turnover Females Bone ultrasound velocity
骨质疏松症的发病机理主要是骨在新陈代谢过程中,旧骨吸收与新骨形成失衡所导致的骨量减少。目前已知,骨在不断地进行着物质代谢称为骨转换或骨重建,是吸收与形成的最终表现,这些过程通常是偶联的,其不平衡的结果往往表现为骨超声声速的变化,发生骨质疏松,最终的结局是骨痛与骨折。骨超声声速反映骨量丢失的情况,而测定骨代谢过程中的一些分解产物则可反映骨转换率。也就是说,这些血、尿中的生化指标也是反映骨量丢失的重要参数。我们研究观察了177名绝经前后妇女的骨超声声速及骨代谢生化指标的变化情况,同时给予其中30名绝经后低骨量妇女一定剂量的双磷酸盐制剂,以观察用药前后各骨代谢指标及骨超声声速的变化情况,并探讨骨代谢生化指标与骨超声声速、年龄和绝经年限之间的关系,以及骨代谢生化指标对指导临床用药的价值。
, 百拇医药
1 对象和方法
1.1 对象
共包括177名绝经前后妇女。其中89例年龄在25~55岁之间,有正常月经周期,按年龄分为3组,每组间隔10年:绝经前第1组,23例,年龄在25~35岁之间,平均年龄29.68±2.29岁;绝经前第2组,31例,年龄在36~45岁之间,平均年龄40.57±2.57岁;绝经前第3组,35例,年龄在46~55岁之间,平均年龄49.62±2.32岁。另外88例为绝经后妇女,年龄在48~68岁之间,平均年龄57.10±6.75岁,自然绝经至少1年以上。所有受试妇女经体格检查,肝肾功能正常,无内分泌疾病及钙代谢紊乱,以前未有过代谢性骨病病史,未服用过影响钙吸收及代谢的药物,未服用过避孕药物及其他激素类药物。
1.2 方法
所有受试者于晨时空腹采静脉血10ml,予离心后,-20℃保存。采血完毕,留取中段尿5 ml,-20℃保存。检测项目及方法:骨吸收指标尿胶原吡啶交联(Pyd)和骨形成指标血骨碱性磷酸酶(BALP),血骨钙素(BGP),血Ⅰ型胶原羧基末端前肽(CICP),均采用酶联免疫吸附法,药盒由美国Metra Biosystems公司生产。运用由Myriad Ultrasound Systems Ltd生产的Sound Scan 2000型B超骨超声声速仪测定胫骨超声声速(SOS),以低于年龄峰值骨量1~2.5SD为骨量减少,低于年龄峰值骨量-2.5SD为骨质疏松诊断标准。选择绝经后组中骨量减少者30例,给予服用羟乙膦酸钠片剂(商品名邦得林)200 mg,每天2次,每次一片,共60天;接着每天服用活性钙胶囊,每天3次,每次2片,共60天;4个月为一个疗程。
, 百拇医药
1.3 统计学分析
所有数据均采用均值±标准差(
2 结果
2.1 绝经前后骨代谢生化指标的变化情况
将绝经前妇女按年龄(每隔5年)分组,图1表示了各不同年龄妇女骨代谢生化指标的变化趋势,由图中可以看到,在绝经前5年,各骨代谢生化指标有一个突发、明显的上升。
, http://www.100md.com
图1(1) 骨代谢指标与年龄及绝经年限的关系
图1(2) 骨代谢指标与年龄及绝经年限的关系
2.2 绝经前后骨超声声速的变化情况
根据表1所示,在绝经前,骨超声声速测定值无明显的变化,但在绝经后,骨超声声速较绝经前有明显下降(P<0.01)。
表1 绝经前后骨超声声速测定值
绝经前1组
(n=23)
绝经前2组
, http://www.100md.com
(n=31)
绝经前3组
(n=35)
绝经前组
(n=89)
绝经后组
(n=88)
年龄
29.68±2.29
40.59±2.57
49.62±2.32
40.51±8.54
, 百拇医药
57.1±6.75
年龄范围
25~35
36~45
46~55
25~55
48~68
SOS(m/s)
3958.82±110.69
3940.43±102.11
3883.59±110.21
3960.23±107.54
, http://www.100md.com
3784.71±153.37**
注:**P<0.01;*P<0.05
同样,图2表示了各不同年龄妇女骨超声声速的变化趋势,由图2可以看到,在绝经后前5年,骨超声声速有一个突发明显的下降。
图2 骨密度与年龄(绝经前)
和绝经年限(绝经后)的关系
2.3 骨超声声速与骨代谢生化指标的关系
通过数据分析,发现在骨超声声速与各骨代谢生化指标之间,骨超声声速与骨形成指标BGP、BALP、CICP之间呈正相关(r=0.31、0.27、0.35),但与骨吸收指标Pyd/Cr之间呈明显负相关(r=0.48),而Hop/Cr与骨超声声速之间相关性差(r=0.13)。
, http://www.100md.com
根据表2所示,在绝经前,随年龄上升,各骨代谢指标均有上升趋势;在绝经后,骨吸收指标中的Pyd/Cr及骨超声声速与年龄呈明显负相关,r值分别为0.52、0.38、0.40。而骨吸收指标中的Hop/Cr则与年龄相关性差(r<0.02)。
表2 绝经前后年龄与骨超声声速、骨代谢指标的相关性
时间
SOS
Pyd/Cr
Hop/Cr
BGP
BALP
CICP
绝经前
, 百拇医药
0.33
0.37*
0.11
0.34*
0.42*
0.40*
绝经后
0.49**
0.58**
0.20
0.39*
, 百拇医药
0.35*
0.37*
绝经前后
0.40*
0.52*
0.13
0.37
0.36
0.38*
注:**P<0.01;*P<0.05
2.4 用药前后骨超声声速与骨代谢生化指标变化情况
, 百拇医药
表3显示了绝经后30名低骨量妇女(SOS<1SD)在服用邦得林片剂前后,各骨代谢指标、骨超声声速的变化情况。其中骨超声声速无明显改变(P>0.05),骨代谢指标中,除Pyd/Cr有显著下降(P<0.05)外,其余无显著改变(P>0.05)。
表3 用药前后骨超声声速、骨代谢指标测定值
指标
用药前
用药后
SOS(m/s)
3657.318±171.568
3661.259±152.88
骨形成指标
, http://www.100md.com
BGP(ng/ml)
12.759±2.28
14.194±2.652
BALP(u/l)
31.741±1.319
37.312±3.827
CICP(ng/ml)
108.00±8.651
110.647±7.634
骨吸收指标
Pyd/Cr(nm/mM)
, 百拇医药
61.658±6.505
36.218±1.172*
Hop/Cr(umol)
19.535±11.531
16.792±8.178
注:* P<0.05
3 讨论
由于骨超声声速只在绝经后才明显下降,由此观之,骨量的明显减少往往发生于绝经以后。但在此之前,骨量的微小改变已经发生,骨代谢生化指标的发展与测定方法的逐步完善,已有可能反映骨转换的微小改变,并间接反映出骨量的潜在变化。低骨量是导致绝经后骨质疏松症的主要原因之。在任何时候,测定骨超声声速是一个重要的预测骨折危险程度的方法。研究已经发现,绝经前骨超声声速无明显改变而在绝经后明显下降。但问题在于,哪个部位骨超声声速的测定能最有效的反映骨量情况,目前尚无定论。往往在某一部位骨超声声速的测定值较低,而在其他部位却得到了相对较高的数值。重复多次的测定可能有利于骨量的分析,但同时也大大增加了医疗耗资。故而在测定骨超声声速的同时测定骨代谢生化指标,将会对了解骨转换的状况有很大的帮助。
, 百拇医药
Pyd在绝经前第3组中就较前有了显著上升,而BGP、BALP、CICP的显著改变则在绝经之后。可见,骨形成指标的改变落后于骨吸收指标。根据文献报道,骨转换的提高首先起源于破骨细胞吸收骨质的增加,因此,在上述5个骨代谢指标中,Pyd可被认为是最敏感的反映骨转换情况的指标。
虽然骨超声声速在绝经前的测量值与年龄无关,但在绝经后,与年龄呈负相关,同时与绝经年限有密切关系。在绝经后的头5年,各骨代谢指标有一个突发明显的上升,而骨超声声速也在绝经后5年内的降低率最高,因此提示该年龄段骨量的急速下降明显受绝经影响。而60岁以上老年妇女骨量下降趋向缓慢,逐渐进入老年性匀速骨丢失阶段。骨吸收与形成指标上升状况的不同反映了绝经后妇女骨吸收大于骨形成而引起的钙代谢负平衡,而这个改变起源于围绝经期。因此,在围绝经期进行骨量和代谢指标的测定可能是一个最佳时机,有助于预测将来发生骨折的危险程度。
低骨超声声速的绝经后妇女,给予一定剂量的双磷酸盐制剂加钙治疗4个月后,检测发现骨超声声速无明显改变,而其中的Pyd/Cr、Hop/Cr值有了显著下降。目前已明确该类药物对骨具有直接作用,其对破骨细胞功能的影响主要为:(1)干扰成熟破骨细胞的活性。(2)可维持在足够大的骨表面上的一个浓度梯度进而直接影响其他细胞对破骨细胞的最终激活。我们的疗效观察相隔仅数月,因此未观察到骨超声声速的明显改变,但其中吸收指标的明显下降,则更进一步表明了由于骨代谢生化指标的改变先于骨超声声速,因此,它们为该病的治疗提供了一个动态观察的方法而不需长期等待骨超声声速的变化。可以在较短时间内提供疗效肯定或否定的客观依据,指导今后的治疗。
, 百拇医药
4 结论
4.1 骨代谢生化指标与骨超声声速变化有相关性。
4.2 骨代谢生化指标测定与骨超声声速测定相结合,能更确切的反映骨组织的实际情况,对骨质疏松的诊断有益。
4.3 骨代谢生化指标可更敏感的反映骨转换的情况,便于动态观察。
4.4 骨代谢生化指标的变化可指导临床用药(高转换率与低转换率用药有区别),并可协助判断疗效。
作者简介:段定红,女,主治医师,1966年5月28日生。1990年毕业于上海医科大学医学系,工作于上海医科大学附属妇产科医院。1998年获妇产科学硕士学位。
参考文献
1 Riis BJ.The role of bone turnover in the pathophysiology of osteoporosis.Br J Obstet Gynaecol 1996(Suppl),13:9-15.
, 百拇医药
2 Stegman MR,Heaney KP,Travers-Gustafson P,et al.Cortical ultrasound velocity as an indicator of bone status.Osteoporos Int,1995,5:349-353.
3 Orgee J,McCloskey EV,Foster H,et al.Tibial ultrasound velocity:a useful clinical measure of skeletal status.J Bone Miner Res,1994,9:s156.
4 Riis BJ.The role of bone loss.Am J Med,1995,98(Suppl 2A):29s-31s.
5 Raisz LG.The osteoporosis revolution.Ann Intern Med,1997,126(6):458-462.
, 百拇医药
6 Daniel T.Quantitative ultrasound:a technique to target women with low bone mass for preventive therapy.Am J Med.1995,98(Suppl 2A):48s-51s.
7 Raven P,Fliedelius C,Rosenquist C,et al.High bone turnover is associated with low bone mass in both pre-and postmenopausal women.Bone,1996,19(3):291-298.
8 Riis BJ,Hansen MA,Jensen AM,et al.Low bone mass and fast rate of bone loss at menopause:equal risk factor for future fracture:a 15-year follow-up study.Bone,1996,19(1):9-12.
, 百拇医药
9 Marcus R.Biochemical assessment of bone resorption and formation.Bone,1996,18(1):15s-16s.
10 John A.The endocrinology and biochemistry of osteoporosis.Osteoporosis,1997,56-58.
11 Meunier PJ,Boivin G.Bone mineral density reflects bone mass but also the degree of mineralization of bone:therapeutic implication.Bone,1997,21(5):373-377., 百拇医药