六连杆假肢膝关节优化设计*
作者:张瑞红 金德闻 张济川
单位:
关键词:假肢膝关节;六连杆机构;自锁;优化
中国康复990406 摘要 目的:假肢膝关节的设计对于膝上截肢者的安全与步态关系重大。为了改善膝上假肢穿戴者的步态,设计了六连杆假肢膝关节。方法:采用最优化设计使摆动相步态尽可能逼近正常步态;在结构设计上利用瞬停节特性使膝关节在支撑期有自锁功能并具有很强的抗干扰能力。结果:计算机仿真为踝关节运动轨迹均方误差不超过1.96%。结论:该膝关节假肢在支撑期保持稳定性的同时,在摆动期内膝、踝关节运动轨迹,以及大小腿的角度变化关系相对于正常人具有很好的逼近效果,能够有效改善患者步态。
Optimization design of six-bar knee prosthesis
, 百拇医药 ZHANG Ruihong, JIN Dewen, ZHANG Jichuan
Chinese Journal of Rehabilitation Medicine, 1999, 14(4):162~165
Abstract Objective: The constitution of knee prosthesis is very important to safety and gait pattern of above-knee amputees. A six-bar linkage is proposed to knee prosthesis to improve the gait pattern. Method: The self-locking function of the designed knee mechanism provides strong stability in stand phase. The optimization procedure was used in the design of the mechanism to make the gait pattern close to normal in swing phase as much as possible. Result: The mean square error of the prosthetic ankle motion trace is 1.96%. Conclusion: The motion tracks of the prosthetic knee, ankle and the angle between thigh and shank are similar to normal gait in the swing phase. The prosthesis can keep stability in stand phase. It is hopeful to improve the gait pattern by using this mechanism.
, http://www.100md.com
Author′s address Dept. of Precision Instruments and Mechanology, Tsinghua University, Beijing, 100084
Key words Prosthetic knee; Six-bar linkage; Self-locking; Optimization
对于假肢膝关节而言,需要使其产生的步态尽可能逼近正常人的步态。人体下肢各关节(髋、膝、踝)都是十分复杂的,它们和相关的肌肉、肌腱相互配合,能够实现人类优美连贯的步行姿态。对于下肢截肢者而言,用一些相对于自然人体简单得多的机构装置作为下肢的替代物,其步态必然会与正常步态不同。截肢者失去的关节数目越多,这种差异也就越大。如仅失去踝关节的小腿截肢者安装假肢后,其步态远比失去膝关节和踝关节的大腿假肢穿戴者的步态好得多。目前,由于小腿假肢比较简单,穿戴后已能很好地逼近正常人的步态。大腿假肢则仍在不断完善之中〔1,2〕。膝关节是人体最大、最复杂的关节,要设计一个能很好替代人体膝关节的机构还是一个很艰巨的任务。
, http://www.100md.com
1 假肢膝关节机构类型的确定
人体膝关节由股骨下端、胫骨上端和髌骨构成。股骨的内、外侧踝分别与胫骨的内、外侧踝相对。由于股骨下端和胫骨上端相接触表面形状不规则,在膝关节屈曲或伸展过程中,两表面间既有滚动又有滑动。因而,在人体步行过程中,大、小腿的长度是变化的,膝关节的速度瞬心也是时变的,这些变化是单轴关节假肢无法模拟的。因此,研究多轴膝关节假肢很有意义。
分析步行时下肢摆动情况可以看出,在一个步态周期过程中,小腿以膝关节为轴,相对于大腿按某规律转过一系列的位置。如果认为步行过程中股骨及胫骨、腓骨均无变形,则可以将大腿小腿分别简化为刚性构件。在步态周期中,小腿为相对于大腿占据一系列位置的刚体导引构件。小腿的下端踝关节运动轨迹为一连续曲线。因此,对于人体膝关节在一个步态周期中的模拟,可以归结为对于假肢膝关节机构运动学规律的设计和膝关节机构的动力学力矩控制两个方面。运动规律设计的目标则主要是小腿的刚体导引(即小腿相对于大腿的转角)和踝关节运动轨迹〔3〕。只有在膝关节机构运动学规律满足要求的条件下,才可能通过动力学的控制达到比较完美的仿生效果。本文主要讨论膝关节机构的运动学设计。
, 百拇医药
多轴膝关节是由连杆机构组成的。这是因为小腿的刚体导引为一般的平面运动,而连杆机构是具有这个条件的最简单的形式。最简单的连杆机构为铰链四连杆机构,但是四杆机构刚体轨迹仅能精确拟合5个点,而六杆机构杆件虽然比四杆机构多了两杆,却能拟合至9个点〔4〕,因此,我们选择了六杆机构。
在六杆膝关节设计中,由于对踝关节轨迹有要求,大小腿必须与不相邻的两杆固结。同时为了使大小腿的相对运动规律更多的和正常人的规律相拟合,在选择与大小腿固结的构件时,应尽量选择相隔最远的两构件。例如,在图1中,若将大腿与杆4固结(相当于机架),小腿与2固结,则该六杆机构能精确拟合的点数和四杆机构是相同的。若大腿与1杆相连,小腿与6杆相连,则该机构能精确拟合到9点。
2 六连杆膝关节的优化设计2.1 优化原则
2.1.1 当髋关节按正常步态的轨迹运动时,踝关节的轨迹应最接近正常人踝关节轨迹。同时,六连杆膝关节中心尽可能接近正常人的膝关节中心运动轨迹。
, 百拇医药
考虑到假肢踝关节角度是固定的,而正常人的踝关节角度在步行过程中是变化的。踝关节的角度变化将增大摆动期脚尖的离地间隙。因此,在假肢设计中,将踝关节模拟的理想值设定为调整后的正常人的踝关节轨迹,以保证假肢摆动时有足够的离地间隙。
2.1.2 在摆动期,大腿和小腿的摆动规律和正常人的相一致。也就是说,如图2所示,JP与HI构件间的相对转角符合正常步态的摆动期运动规律。
图2 膝关节
2.1.3 当大小腿夹角为180°时,即支撑中期时,六杆机构处于自锁位置。此时EF和FG处于一直线上(图1)。通过对六杆机构自锁性分析可以知道,此时A、B、C、D铰链均为瞬停节,即构件1、2、3、4之间均不能相对转动,因此机构自锁,并有很好的抗干扰能力〔5〕。
, http://www.100md.com
图1 六杆机构假肢示意
2.2 目标函数
根据上述要求可建立目标函数:
其中Px、Py为由假肢系统求出的踝关节坐标。
x、
y为正常步态踝关节坐标。Kx、Ky为由假肢系统求出的膝关节坐标。
x、
y为正常步态膝关节坐标。C1、C2为权重系数,C1+C2=1。
, 百拇医药
2.3 设计变量
如图2所示,首先,六杆机构x1~x10共10个杆(边)长均可调整。其次,大腿固结于AB杆上的位置也是可调整的。其位置可用固结点I距A点的位置x11、HI的长度x12及HI与AB的夹角θ三者来表示。同样,小腿上也有三个可调整参数:x13,固结点J距F的距离;x14,JP的长度;β,JP与FG的夹角。可见,整个假肢系统从HIAB到FGJP构件,共有16个参数可供调整。即:X=[x1,x2,… x14,θ,β]T。
2.4 约束条件
设各点坐标分别以各点名字加x、y下标组成,如:P点坐标为Px、Py,则可以将前面所述优化原则用约束条件表达出来:
, 百拇医药
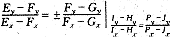
2.4.1 自锁条件可作为约束条件列出一个条件方程组:
当角标式成立时,应有主式成立。
2.4.2 HI、JP夹角和正常人大小腿夹角相同,可通过二者斜率相同来表示。即令:
其中
knee为正常人的大小腿夹角,为已知的实验数据。
2.4.3 各杆长的限制:
ximini≤ximax (i=1,2,…14)
, 百拇医药
2.4.4 运动范围的限制:膝关节运动起来以后,前后方向最好也应限制在一定范围之内,如限制前后运动范围不超过Xmax,可表述为不等式约束:
(Ax ,Bx ,Cx ,Dx ,Ex ,Fx ,Gx )max-(Ax,Bx,Cx,Dx,Ex,Fx,Gx )min≤Xmax
纵向长度(竖直方向)限制在一定范围Ymax之内:
(Ay ,By ,Cy ,Dy ,Ey ,Fy ,Gy)max-(Ay,By,Cy,Dy,Ey,Fy,Gy)min≤Ymax
, 百拇医药
3 优化计算及仿真结果 通过实验我们可以获得在正常步态的一个周期内髋、膝、踝关节运动的位移-时间曲线。将此作为假肢设计的模拟对象。按照以上等式约束和不等式约束,用混合罚函数优化法(见图3),可得出膝关节机构的最优解。
图3 混合罚函数法优化流程
该机构模拟踝关节的运动轨迹和理想踝关节轨迹对比如图4(a)所示。其均方误差Errankle为1.96%,假肢膝关节瞬心运动轨迹和理想膝关节运动轨迹对比如图4(b)所示。
其中均方误差Errankle定义为:
, 百拇医药 (a) 踝关节运动轨迹
(b) 膝关节瞬心轨迹
图4 一个步态周期的仿真结果对比(‘O’为理想值,‘X’为模拟值)
式中
x(1),
y(1)为第一个位置的踝关节的理想值。在误差计算中,分母如此计算是为了消除起始位置对误差的影响。
* 国家自然科学基金项目,39770214
, 百拇医药
作者单位:清华大学精仪系,北京,100084
参考文献
1 Radcliffe CW.Four-bar linkage prosthetic knee mechanisms: Kinematics, alignment, and prescription criteria.Prosthetics and Orthotics International, 1994, 18(3): 159.
2 张振龙.下肢假肢的研究与设计.北京航空航天大学博士论文,1991.10
3 金孟浩.SDC六连杆假肢膝关节结构的优化研究.上海交通大学学报,1984, 18(4): 77.
4 约翰纳斯.伏尔默.石则昌,陆锡年,陈立周,译.连杆机构.北京:机械工业出版社,1989.
5 华大年,华志宏,吕静平,等.连杆机构设计.上海:上海科学技术出版社,1995.
收稿日期:1999-05-06, http://www.100md.com
单位:
关键词:假肢膝关节;六连杆机构;自锁;优化
中国康复990406 摘要 目的:假肢膝关节的设计对于膝上截肢者的安全与步态关系重大。为了改善膝上假肢穿戴者的步态,设计了六连杆假肢膝关节。方法:采用最优化设计使摆动相步态尽可能逼近正常步态;在结构设计上利用瞬停节特性使膝关节在支撑期有自锁功能并具有很强的抗干扰能力。结果:计算机仿真为踝关节运动轨迹均方误差不超过1.96%。结论:该膝关节假肢在支撑期保持稳定性的同时,在摆动期内膝、踝关节运动轨迹,以及大小腿的角度变化关系相对于正常人具有很好的逼近效果,能够有效改善患者步态。
Optimization design of six-bar knee prosthesis
, 百拇医药 ZHANG Ruihong, JIN Dewen, ZHANG Jichuan
Chinese Journal of Rehabilitation Medicine, 1999, 14(4):162~165
Abstract Objective: The constitution of knee prosthesis is very important to safety and gait pattern of above-knee amputees. A six-bar linkage is proposed to knee prosthesis to improve the gait pattern. Method: The self-locking function of the designed knee mechanism provides strong stability in stand phase. The optimization procedure was used in the design of the mechanism to make the gait pattern close to normal in swing phase as much as possible. Result: The mean square error of the prosthetic ankle motion trace is 1.96%. Conclusion: The motion tracks of the prosthetic knee, ankle and the angle between thigh and shank are similar to normal gait in the swing phase. The prosthesis can keep stability in stand phase. It is hopeful to improve the gait pattern by using this mechanism.
, http://www.100md.com
Author′s address Dept. of Precision Instruments and Mechanology, Tsinghua University, Beijing, 100084
Key words Prosthetic knee; Six-bar linkage; Self-locking; Optimization
对于假肢膝关节而言,需要使其产生的步态尽可能逼近正常人的步态。人体下肢各关节(髋、膝、踝)都是十分复杂的,它们和相关的肌肉、肌腱相互配合,能够实现人类优美连贯的步行姿态。对于下肢截肢者而言,用一些相对于自然人体简单得多的机构装置作为下肢的替代物,其步态必然会与正常步态不同。截肢者失去的关节数目越多,这种差异也就越大。如仅失去踝关节的小腿截肢者安装假肢后,其步态远比失去膝关节和踝关节的大腿假肢穿戴者的步态好得多。目前,由于小腿假肢比较简单,穿戴后已能很好地逼近正常人的步态。大腿假肢则仍在不断完善之中〔1,2〕。膝关节是人体最大、最复杂的关节,要设计一个能很好替代人体膝关节的机构还是一个很艰巨的任务。
, http://www.100md.com
1 假肢膝关节机构类型的确定
人体膝关节由股骨下端、胫骨上端和髌骨构成。股骨的内、外侧踝分别与胫骨的内、外侧踝相对。由于股骨下端和胫骨上端相接触表面形状不规则,在膝关节屈曲或伸展过程中,两表面间既有滚动又有滑动。因而,在人体步行过程中,大、小腿的长度是变化的,膝关节的速度瞬心也是时变的,这些变化是单轴关节假肢无法模拟的。因此,研究多轴膝关节假肢很有意义。
分析步行时下肢摆动情况可以看出,在一个步态周期过程中,小腿以膝关节为轴,相对于大腿按某规律转过一系列的位置。如果认为步行过程中股骨及胫骨、腓骨均无变形,则可以将大腿小腿分别简化为刚性构件。在步态周期中,小腿为相对于大腿占据一系列位置的刚体导引构件。小腿的下端踝关节运动轨迹为一连续曲线。因此,对于人体膝关节在一个步态周期中的模拟,可以归结为对于假肢膝关节机构运动学规律的设计和膝关节机构的动力学力矩控制两个方面。运动规律设计的目标则主要是小腿的刚体导引(即小腿相对于大腿的转角)和踝关节运动轨迹〔3〕。只有在膝关节机构运动学规律满足要求的条件下,才可能通过动力学的控制达到比较完美的仿生效果。本文主要讨论膝关节机构的运动学设计。
, 百拇医药
多轴膝关节是由连杆机构组成的。这是因为小腿的刚体导引为一般的平面运动,而连杆机构是具有这个条件的最简单的形式。最简单的连杆机构为铰链四连杆机构,但是四杆机构刚体轨迹仅能精确拟合5个点,而六杆机构杆件虽然比四杆机构多了两杆,却能拟合至9个点〔4〕,因此,我们选择了六杆机构。
在六杆膝关节设计中,由于对踝关节轨迹有要求,大小腿必须与不相邻的两杆固结。同时为了使大小腿的相对运动规律更多的和正常人的规律相拟合,在选择与大小腿固结的构件时,应尽量选择相隔最远的两构件。例如,在图1中,若将大腿与杆4固结(相当于机架),小腿与2固结,则该六杆机构能精确拟合的点数和四杆机构是相同的。若大腿与1杆相连,小腿与6杆相连,则该机构能精确拟合到9点。
2 六连杆膝关节的优化设计2.1 优化原则
2.1.1 当髋关节按正常步态的轨迹运动时,踝关节的轨迹应最接近正常人踝关节轨迹。同时,六连杆膝关节中心尽可能接近正常人的膝关节中心运动轨迹。
, 百拇医药
考虑到假肢踝关节角度是固定的,而正常人的踝关节角度在步行过程中是变化的。踝关节的角度变化将增大摆动期脚尖的离地间隙。因此,在假肢设计中,将踝关节模拟的理想值设定为调整后的正常人的踝关节轨迹,以保证假肢摆动时有足够的离地间隙。
2.1.2 在摆动期,大腿和小腿的摆动规律和正常人的相一致。也就是说,如图2所示,JP与HI构件间的相对转角符合正常步态的摆动期运动规律。
图2 膝关节
2.1.3 当大小腿夹角为180°时,即支撑中期时,六杆机构处于自锁位置。此时EF和FG处于一直线上(图1)。通过对六杆机构自锁性分析可以知道,此时A、B、C、D铰链均为瞬停节,即构件1、2、3、4之间均不能相对转动,因此机构自锁,并有很好的抗干扰能力〔5〕。
, http://www.100md.com
图1 六杆机构假肢示意
2.2 目标函数
根据上述要求可建立目标函数:
其中Px、Py为由假肢系统求出的踝关节坐标。
, 百拇医药
2.3 设计变量
如图2所示,首先,六杆机构x1~x10共10个杆(边)长均可调整。其次,大腿固结于AB杆上的位置也是可调整的。其位置可用固结点I距A点的位置x11、HI的长度x12及HI与AB的夹角θ三者来表示。同样,小腿上也有三个可调整参数:x13,固结点J距F的距离;x14,JP的长度;β,JP与FG的夹角。可见,整个假肢系统从HIAB到FGJP构件,共有16个参数可供调整。即:X=[x1,x2,… x14,θ,β]T。
2.4 约束条件
设各点坐标分别以各点名字加x、y下标组成,如:P点坐标为Px、Py,则可以将前面所述优化原则用约束条件表达出来:
, 百拇医药
2.4.1 自锁条件可作为约束条件列出一个条件方程组:
当角标式成立时,应有主式成立。
2.4.2 HI、JP夹角和正常人大小腿夹角相同,可通过二者斜率相同来表示。即令:
其中
2.4.3 各杆长的限制:
ximin
, 百拇医药
2.4.4 运动范围的限制:膝关节运动起来以后,前后方向最好也应限制在一定范围之内,如限制前后运动范围不超过Xmax,可表述为不等式约束:
(Ax ,Bx ,Cx ,Dx ,Ex ,Fx ,Gx )max-(Ax,Bx,Cx,Dx,Ex,Fx,Gx )min≤Xmax
纵向长度(竖直方向)限制在一定范围Ymax之内:
(Ay ,By ,Cy ,Dy ,Ey ,Fy ,Gy)max-(Ay,By,Cy,Dy,Ey,Fy,Gy)min≤Ymax
, 百拇医药
3 优化计算及仿真结果 通过实验我们可以获得在正常步态的一个周期内髋、膝、踝关节运动的位移-时间曲线。将此作为假肢设计的模拟对象。按照以上等式约束和不等式约束,用混合罚函数优化法(见图3),可得出膝关节机构的最优解。
图3 混合罚函数法优化流程
该机构模拟踝关节的运动轨迹和理想踝关节轨迹对比如图4(a)所示。其均方误差Errankle为1.96%,假肢膝关节瞬心运动轨迹和理想膝关节运动轨迹对比如图4(b)所示。
其中均方误差Errankle定义为:
, 百拇医药 (a) 踝关节运动轨迹
(b) 膝关节瞬心轨迹
图4 一个步态周期的仿真结果对比(‘O’为理想值,‘X’为模拟值)
式中
* 国家自然科学基金项目,39770214
, 百拇医药
作者单位:清华大学精仪系,北京,100084
参考文献
1 Radcliffe CW.Four-bar linkage prosthetic knee mechanisms: Kinematics, alignment, and prescription criteria.Prosthetics and Orthotics International, 1994, 18(3): 159.
2 张振龙.下肢假肢的研究与设计.北京航空航天大学博士论文,1991.10
3 金孟浩.SDC六连杆假肢膝关节结构的优化研究.上海交通大学学报,1984, 18(4): 77.
4 约翰纳斯.伏尔默.石则昌,陆锡年,陈立周,译.连杆机构.北京:机械工业出版社,1989.
5 华大年,华志宏,吕静平,等.连杆机构设计.上海:上海科学技术出版社,1995.
收稿日期:1999-05-06, http://www.100md.com