利用毛细管测量血液粘度的研究
作者:李孔宁 王 岚 王 红
单位:哈尔滨医科大学物理教研室 (哈尔滨150086)
关键词:毛细管;血液;粘度;切变率
中国血液流变学杂志990309 摘 要 提出一种解决毛细管粘度计测量非牛顿流体(例如血流)粘度时切变率不可知的方法,并以测量不同切变率下的粘度为例给出了仪器结构设计模型。
DEVELOPMENT OF CAPILLARY VISCOMETER FOR
MEASUREMENT OF BLOOD VISCOSITY
Li Kongning Wang Lan Wang Hong
(Physics Department, Harbin Medical Unirersity, Harbin 150086)
, 百拇医药
Abstract A new method was developed for the measurement of non-Newtonial fluids (such as blood) wiht capillary. The structure of a capillary viscometer that can give different shear rates and viscosities was listed.
Keywords capillary blood viscosity shear rate
0 引言
在临床上,测定血液的粘度,对了解血液的流动性及其在生理和病理条件下的变化规律,评价微循环障碍的原因,诊断、防治血液粘度异常的疾病具有重要意义。测定血液粘度的仪器种类很多,目前常用的有两种形式:毛细管式粘度计和旋转式粘度计。毛细管式粘度计以其操作简单、测量快捷,且价格低廉等优点而被国内医院普遍采用。由于血液是非牛顿流体,其表观粘度随切变率增大而减小。因此,一个理想的血液粘度计应给出不同切变率下的粘度值。而目前普遍使用的毛细管式血液粘度计一般只能给出平均切变率或最大切变率,所谓的高切和低切的切变率的具体值又不确切。为此,本文提出了一种结构设计,并推出了切变率-粘度-体积流量的关系,最后给出了具体测量的方法。
, 百拇医药
1 切变率、粘度的计算
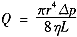
流体力学中泊肃叶定律的给出的水平管中流体的流量Q、管两端的压强差Δp与流体粘度η的关系为
式中r为管子的半径,L为管子的长度。一般毛细管粘度计的结构如图1所示,由上式可推出毛细管粘度中流量Q、液高度h和粘度η的严格关系为
式中ρ为流体的密度,g为重力加速度,等号右边第二项与细管的粘滞阻力对应:第一项与竖直玻璃管的粘滞阻力对应,当R
r时可忽略此项,此时可得粘度计算公式
, 百拇医药
(1)
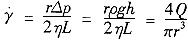
另外可以导出,在毛细管壁处流体流动的切变率最大,其值
为
(2)
对于牛顿流体(如血浆),其粘度不随切变率的变化而变化,在一定温度下,粘度是常数,因此,只需通过测量某一液面高度h时的流量Q,就可计算出粘度值η。而对于非牛顿流体(如血液),其粘度(一般称为表观粘度)随切变率的变化而变化,如血液的粘度随切变率的增大而迅速减小。表1给出了男性全血在切变率从5.8到307的正常粘度参考值[1],从中可以看出,在此切变率范围内,粘度变化近三倍。因此临床上测量血液粘度必须给出对应的切变率才有诊断意义,一个理想的血液粘度测试仪应给出一定切变率范围内,粘度与切变率的对应关系。
, 百拇医药
表1 男性全血粘度正常参考值 切变率(s-1)
307
230
115
38.5
30.7
15.4
9.6
5.8
粘度(mPa.s)
5.3
5.7
, 百拇医药
6.4
8.2
8.9
10.6
12.3
15.0
液面高度(mm)
78.6
63.3
35.6
15.3
13.2
7.9
, 百拇医药
5.7
4.2
目前较常用的毛细管血液粘度测试仪是竖管上端处设两个邻近的液面检测装置,测量在此处的流量Q1代入(1)式,计算出η1,称为高切粘度;在竖管的下端设两个邻近的液面检测装置,测量在此处的流量Q2代入(1)式,计算出η2,称为低切粘度。由(2)式可以看出,对应同一液面高度h下,粘度η不同,切变率
并不相同。(1)、(2)两式相乘可得 
(3)
(3)式说明,同液面高度下,粘度相差两倍,则切变率也相差两倍。因此所谓的高切和低切,其具体切变率是不确定的。
, 百拇医药
2 可给出切变率分布的粘度计设计模型
临床上,一般要求给出切变率在5~250s-1内的粘度值,为此设计的毛细管粘度计可取毛细管半径r=0.8mm,毛细管长度L=10cm,竖直玻璃管的内径取3mm,取血液密度ρ=1.055×103kg/m3,重力加速度g=9.8m/s2,根据(3)式就可计算出的在不同粘度和切变率下所对应竖直管中液面高度h值(如表1第三行所列)。
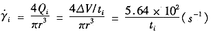
根据表1数据,取竖直玻璃管的高度为9cm,在距底部为3、7、13、17、23、27、33、37……73、77mm的16点分别安置光电式液面检测传感器见参考文献[3],此16个传感器信号分别送入计算机的16个I/O口。利用计算机测量出血液液面经过77mm→73mm、67mm→63mm、57mm→53mm……7mm→3mm所需的时间t8、t7、t6……t1,它们对应的液面度分别取75、65、55……5mm,每个区间所对应的液体体积为
, 百拇医药
ΔV=πR2.Δh=3.13×(1.5×10-3)2×4×10-3=2.83×10-8(m3)
把数据代入(1)式则可出8个粘度值及对应的切变率值
(4)
(5)
式中i=1,2,3……8,时间单位取s。
利用所测量出的8个不同切变率与粘度的对应关系,还可通过建立计算机软件模型,推算出在此切变率范围内的所有切变率与粘度的对应值,进而绘制出切变率-粘度曲线。
, http://www.100md.com
3 结束语
本文提出的原理与方法为毛细管式粘度测试仪的设计提供了一个新思路,其具体实现方式不局限于文中观点,如文中所提到的光电式液面传感器很难制作的太密(文中只有16点),因此也可以采用其它形式的传感器,如利用CCD线阵传感器成像技术,则有可能提供更多组的直接测量数据。
参考文献
1 严宗毅,魏茂元,于天文.血液流变学.黑龙江科学技术出版社,1993
2 胡纪湘.医用物理学.人民卫生出版社,1996
3 王 红,李孔宁,朝伟民.光电式液面传感器设计的研究.仪表技术与传感器,1964,4
(1999年月2月9日收稿), 百拇医药
单位:哈尔滨医科大学物理教研室 (哈尔滨150086)
关键词:毛细管;血液;粘度;切变率
中国血液流变学杂志990309 摘 要 提出一种解决毛细管粘度计测量非牛顿流体(例如血流)粘度时切变率不可知的方法,并以测量不同切变率下的粘度为例给出了仪器结构设计模型。
DEVELOPMENT OF CAPILLARY VISCOMETER FOR
MEASUREMENT OF BLOOD VISCOSITY
Li Kongning Wang Lan Wang Hong
(Physics Department, Harbin Medical Unirersity, Harbin 150086)
, 百拇医药
Abstract A new method was developed for the measurement of non-Newtonial fluids (such as blood) wiht capillary. The structure of a capillary viscometer that can give different shear rates and viscosities was listed.
Keywords capillary blood viscosity shear rate
0 引言
在临床上,测定血液的粘度,对了解血液的流动性及其在生理和病理条件下的变化规律,评价微循环障碍的原因,诊断、防治血液粘度异常的疾病具有重要意义。测定血液粘度的仪器种类很多,目前常用的有两种形式:毛细管式粘度计和旋转式粘度计。毛细管式粘度计以其操作简单、测量快捷,且价格低廉等优点而被国内医院普遍采用。由于血液是非牛顿流体,其表观粘度随切变率增大而减小。因此,一个理想的血液粘度计应给出不同切变率下的粘度值。而目前普遍使用的毛细管式血液粘度计一般只能给出平均切变率或最大切变率,所谓的高切和低切的切变率的具体值又不确切。为此,本文提出了一种结构设计,并推出了切变率-粘度-体积流量的关系,最后给出了具体测量的方法。
, 百拇医药
1 切变率、粘度的计算
流体力学中泊肃叶定律的给出的水平管中流体的流量Q、管两端的压强差Δp与流体粘度η的关系为
式中r为管子的半径,L为管子的长度。一般毛细管粘度计的结构如图1所示,由上式可推出毛细管粘度中流量Q、液高度h和粘度η的严格关系为
式中ρ为流体的密度,g为重力加速度,等号右边第二项与细管的粘滞阻力对应:第一项与竖直玻璃管的粘滞阻力对应,当R
, 百拇医药
(1)
另外可以导出,在毛细管壁处流体流动的切变率最大,其值
(2)
对于牛顿流体(如血浆),其粘度不随切变率的变化而变化,在一定温度下,粘度是常数,因此,只需通过测量某一液面高度h时的流量Q,就可计算出粘度值η。而对于非牛顿流体(如血液),其粘度(一般称为表观粘度)随切变率的变化而变化,如血液的粘度随切变率的增大而迅速减小。表1给出了男性全血在切变率从5.8到307的正常粘度参考值[1],从中可以看出,在此切变率范围内,粘度变化近三倍。因此临床上测量血液粘度必须给出对应的切变率才有诊断意义,一个理想的血液粘度测试仪应给出一定切变率范围内,粘度与切变率的对应关系。
, 百拇医药
表1 男性全血粘度正常参考值 切变率(s-1)
307
230
115
38.5
30.7
15.4
9.6
5.8
粘度(mPa.s)
5.3
5.7
, 百拇医药
6.4
8.2
8.9
10.6
12.3
15.0
液面高度(mm)
78.6
63.3
35.6
15.3
13.2
7.9
, 百拇医药
5.7
4.2
目前较常用的毛细管血液粘度测试仪是竖管上端处设两个邻近的液面检测装置,测量在此处的流量Q1代入(1)式,计算出η1,称为高切粘度;在竖管的下端设两个邻近的液面检测装置,测量在此处的流量Q2代入(1)式,计算出η2,称为低切粘度。由(2)式可以看出,对应同一液面高度h下,粘度η不同,切变率
(3)
(3)式说明,同液面高度下,粘度相差两倍,则切变率也相差两倍。因此所谓的高切和低切,其具体切变率是不确定的。
, 百拇医药
2 可给出切变率分布的粘度计设计模型
临床上,一般要求给出切变率在5~250s-1内的粘度值,为此设计的毛细管粘度计可取毛细管半径r=0.8mm,毛细管长度L=10cm,竖直玻璃管的内径取3mm,取血液密度ρ=1.055×103kg/m3,重力加速度g=9.8m/s2,根据(3)式就可计算出的在不同粘度和切变率下所对应竖直管中液面高度h值(如表1第三行所列)。
根据表1数据,取竖直玻璃管的高度为9cm,在距底部为3、7、13、17、23、27、33、37……73、77mm的16点分别安置光电式液面检测传感器见参考文献[3],此16个传感器信号分别送入计算机的16个I/O口。利用计算机测量出血液液面经过77mm→73mm、67mm→63mm、57mm→53mm……7mm→3mm所需的时间t8、t7、t6……t1,它们对应的液面度分别取75、65、55……5mm,每个区间所对应的液体体积为
, 百拇医药
ΔV=πR2.Δh=3.13×(1.5×10-3)2×4×10-3=2.83×10-8(m3)
把数据代入(1)式则可出8个粘度值及对应的切变率值
(4)
(5)
式中i=1,2,3……8,时间单位取s。
利用所测量出的8个不同切变率与粘度的对应关系,还可通过建立计算机软件模型,推算出在此切变率范围内的所有切变率与粘度的对应值,进而绘制出切变率-粘度曲线。
, http://www.100md.com
3 结束语
本文提出的原理与方法为毛细管式粘度测试仪的设计提供了一个新思路,其具体实现方式不局限于文中观点,如文中所提到的光电式液面传感器很难制作的太密(文中只有16点),因此也可以采用其它形式的传感器,如利用CCD线阵传感器成像技术,则有可能提供更多组的直接测量数据。
参考文献
1 严宗毅,魏茂元,于天文.血液流变学.黑龙江科学技术出版社,1993
2 胡纪湘.医用物理学.人民卫生出版社,1996
3 王 红,李孔宁,朝伟民.光电式液面传感器设计的研究.仪表技术与传感器,1964,4
(1999年月2月9日收稿), 百拇医药