彩色多普勒定量评价瓣膜返流的一种简便方法——“返流狭径”预测二尖瓣返流程度的实验研究
作者:周晓东 钱蕴秋 盐田隆弘 戴卫.桑
单位:710032 西安市第四军医大学西京医院超声科(周晓东、钱蕴秋),美国俄勒冈卫生科技大学先心病中心(盐田隆弘,戴卫.桑)
关键词:二尖瓣返流;返流狭径;彩色多普勒
中国超声医学杂志990103 摘 要 目的:评价返流狭径预测二尖瓣返流(MR)程度的准确性。方法:实验动物选用绵羊6只,预先手术(在4个月前)造成腱索损害引起MR。采用药理学方法获得22种不同的血流动力学状态,使用Vingmed 775彩色超声仪,探头匹配频率5MHz,检测MR和返流狭径(VC,Vena contracta),图像资料直接以数字化形式输入微机待后分析。结果:最大返流量(RFR)1.8~9.8L/min(5.2±2.5L/min);平均RFR 0.7~4.1L/min(2.4±1.2L/min);每搏返流量(RSV)7.0~47.5ml/beat(24.6±11.9ml/beat);返流分数(RF)23%~78%(53±17%)。返流狭径与最大RFR相关良好(r=0.94,SEE=0.05cm),与RSV和RF相关较好(r=0.85,SEE=0.08cm和r=0.89,SEE=0.07cm)。结论:使用高分辨力的超声仪器测定返流狭径是评价MR程度的实用、简便和准确的无创检测技术,并为今后的临床和实验研究提供了一种可比的测量方法。
, 百拇医药
An Animal Study of A Simple Method of Quantitative Assessment of
Valvular Regurgitation by Doppler Color Flow Mapping:
“Vena Contracta”Predicts Severity of Mitral Regurgitation
Zhou Xiaodong,Qian Yunqiu
Division of Ultrasound,Xijing Hospital,Xian 710032
Takahiro Shiota,David Sahn
Oregon Health Sciences University,Portland,Oregon.U.S.A.
, 百拇医药
ABSTRACT Objective:To evaluate the value of vena contracta in predicting the severity of mitral regurgitation(MR).Method:Six sheep with chronic MR produced by artificial chordal damage were examined.Twenty-two hemodynamically different states were obtained pharmacologically.MR jet flow and the vena contracta widths were imaged using a Vingmed 775 scanner with a 5MHz transducer.Image date were directly transformed in digital format to a microcomputer for off-line measurement.Results:The peak regurgitant flow rates(RFR)varied from 1.8 to 9.8L/min(5.2±2.5L/min),mean RFR varied from 0.7 to 4.1L/min(2.4±1.2L/min),regurgitant stroke volumes(RSV)varied from 7.0 to 47.5ml/beat (24.6±11.9ml/beat)and regurgitant fractions (RF) varied from 23% to 78% (53±17%).Vena contracta width,however,correlated closely with the peak RFR(r=0.94,SEE=0.05cm for peak RFR),and also correlated closely with the severity of mitral regurgitation(r=0.85,SEE=0.08cm for RSV and r=0.89,SEE=0.07cm for RF).Conclusion:This study showed that the vena contracta width method is useful for predicting the severity of MR.It is simple and conveniently available with high resolution equipment.The quantitative comparisons in the present study lay out the foundation for future clinical and research studies using this vena contracta technique.
, 百拇医药
KEY WORDS Mitral regurgitation Vena contracta Color Doppler
定量评价二尖瓣病变和瓣膜返流程度对于确定临床治疗方案非常重要〔1~2〕。测定彩色多普勒血流成像返流长度和面积的方法已广泛被临床用来判断二尖瓣返流(MR)的程度。但因仪器因素、血流动力学和流体力学,如Coanda效应等影响,彩色血流长度和面积的方法受到限制。最近的研究认为:使用彩色多普勒超声心动图在二尖瓣口平面能准确地测量返流近端的宽度,与心血管造影评价MR程度密切相关〔3〕。然而,如何测量和应用返流宽度这一方法还没有完全定论。这一方法可能与返流狭径的宽度(即血流会聚加速区末的最狭处或在左房测量返流近端湍流的宽度)相一致。同时,还没有发现应用这一无创方法评价MR和与评价MR程度的金标准对照研究。本文采用严格的慢性MR的动物模型,以测定的返流狭径与血流动力学指标及彩色多普勒血流的返流面积法对照研究,评价返流狭径判断MR程度的准确性。
, 百拇医药
资料与方法
动物模型制备 实验动物选用绵羊6只,体重32~36Kg。第一次手术在4个月前实行。采用心脏直视手术造成二尖瓣前叶(3只羊)或后叶(3只羊)的2~3根腱索损伤,以术中见到二尖瓣关闭不全为准,制备完成慢性MR的动物模型。
心脏插管和电磁流量计探头的放置 超声和血液动力学研究在术后的4~5个月进行,静脉注射苯巴比妥钠(25mg/kg)麻醉,肋下横向开胸,切开心包暴露心脏,分离主动脉,将电磁流量计探头分别放置在升主动脉和肺动脉主干,同时记录主动脉和肺动脉的血流量。采用输血或血管紧张素或二者同时应用来改变心脏负荷,获得22种血流动力学状态。所有血流动力学指标均与超声研究同时记录。
超声心动图研究 超声仪器使用Vingmed 775 System,探头频率为5MHz,探头直接放在心脏表面。心尖和胸骨旁四腔切面观测MR图像和返流狭径。返流狭径指彩色多普勒血流会聚加速区末最狭处或在左房测量的返流近端湍流处的宽度(图1)。
, 百拇医药
FCR:血流会聚;LV=左心室;Jet:射流;LA:左心房;
返流狭径指彩色多普勒血流会聚加速区末的最狭处或左
房测量返端流近湍流处的宽度(箭头所示)。
图1 二尖瓣返流的彩色多普勒返流狭径和射流图像
重复性研究 由两个观察者在不同时间,用同一计算机分别随机选择10种血流动力学状态下的彩色多普勒返流狭径,分析观察者之间的差异;两观测者不知相互的测量结果或电磁流量计的数据。自身对照在10天后重复测量同一组数据计算其差异。
统计学分析 所有测量数据以平均数和标准差表示,彩色多普勒的测量参数与血流动力学、电磁流量计的血流量等指标的相关性研究采用线性相关分析,p<0.05为相差显著。
, 百拇医药 结 果
二尖瓣返流的程度 最大返流量为1.8~9.8L/min(平均5.2±2.5L/min),平均返流量为0.7~4.1L/min(平均2.4±1.2L/min),每搏返流量为7.0~47.5ml/beat(平均24.6±11.9ml/beat)和返流分数为23%~78%(平均53±17%)。
返流类型及其特征 2个为中心型返流(free jet),彩色多普勒显示射流不冲击房壁或仅远端与房壁接触;其余22个均为贴壁型返流(wall jet),彩色多普勒显示射流冲击房壁或大部分与房壁接触。
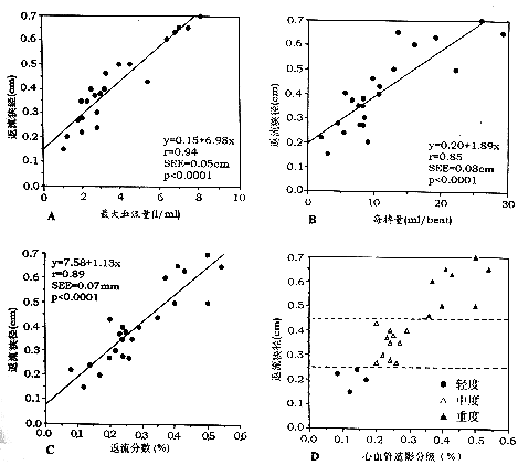
返流狭径与二尖瓣返流程度的关系 彩色多普勒血流成像测定的返流狭径与最大返流量、返流每搏量和返流分数相关良好(r=0.94,SEE=0.05cm,p<0.0001;r=0.85,SEE=0.08cm,p<0.0001和r=0.89,SEE=0.07cm,p<0.0001,图2A-C)。同时,返流狭径与心导管定量返流的程度相一致(图2D);进一步根据狭径宽度可将返流程度分为轻、中和重度。
, 百拇医药
A、B为返流狭径与最大返流量和返流容积之间的关系;
C、D为返流狭径与返流分数和心血管造影分级之间的关系。
图2 返流狭径与血流动力学之间的关系
重复性研究 随机选择10个不同血流动力学状态下的返流狭径,两个观察者和同一观察者两次所测数值之间的差异分别为7.5%和6.8%。
讨 论
彩色多普勒血流成像是检测和评价二尖瓣和主动脉瓣返流非常有用的无创技术之一。离体实验表明二尖瓣返流起始部的大小和范围可反映瓣膜损害的程度与范围,对外科手术有参考的价值〔4〕。另一些研究显示返流近端的直径与返流大小相比更有重要的优越性,因它仅受驱动压和返流量的影响〔5~7〕。彩色多普勒血流成像测量的返流大小不仅依赖返流容积也受血流速度、压力阶差和仪器因素的影响〔8〕。最近,Mele等指出:彩色血流成像所测量的近端返流大小与左室造影判断返流分数相关较好,而且不依赖返流容积的量,与血管造影一样能够鉴别患者的返流程度〔3〕。换句话讲,判定瓣膜病变和返流的程度,彩色多普勒血流成像可代替有创的心血管造影。而且,近端返流大小作为常规的方法判定主动脉关闭不全已广泛被临床接受。
, http://www.100md.com
返流狭径的概念和优越性:本研究所测量的返流狭径是指血流会聚加速区末的最小彩色血流直径。它完全不属于射流的范围;也不是返流口的直径;可认为是有效返流瓣口的大小。在测定和评估返流量时,返流狭径的优越性超过常规的多普勒方法,包括血流会聚、射流的能量和脉冲多普勒的定量方法。因为,测量反流狭径没有严格的技术要求,方法简单,而且不受心脏负荷的影响。血流会聚和射流能量测定可能更准确地判定返流量,但这些技术很难用于斜形瓣口或评价射流的表面形状。相比之下,在临床上应用返流狭径的方法,有快速、准确和操作简便的特点,而且高分辨率的超声显像系统或食管超声可提高其准确性。
本研究的限制及今后的方向:本研究为动物实验,探头直接置于心脏表面、可调整到最佳位置使声束与血流平行,获得精确的二尖瓣返流图像和返流狭径。然而,在临床上少数成人的二尖瓣返流,这种声束与返流完全平行比较困难。我们使用的瓣口几何形状是近似对称或不对称的,二尖瓣口的大小也不规则,需要在两个不同的平面来测定返流狭径的宽度〔9〕。但这些影响因素或限制可通过对返流的三维重建来克服〔10〕。
, 百拇医药
参考文献
[1]Steward WJ,Currie P,Salcedo EE,et al.Intraoperative Doppler color mapping for decision-making in valve repair for mitral regurgitation:technique and results in 100 patients.Circulation.1990,81:556~566
[2]Shiota T,Jones M,Teien DE,et al.Evaluation of mitral regurgitation using a digitally determined color Doppler flow convergence "centerline"acceleration method: Studies in an animal model with quantified mitral regurgitation.Circulation,1994,89:2879~2887
, http://www.100md.com
[3]Mele D,Vandervoot P,Palacios I,et al.Proximal jet size by Doppler color flow mapping predicts severity of mitral regurgitation:Clinical studies.Circulatio.1995, 91:746~754
[4]Stewart WJ,Currie PJ,Salcedo EE,et al.Eavluation of mitral leaflet motion by echocardiography and jet direction by Doppler color flow mapping to determine the mechanisms of mitral regurgitation.J Am Coll Cardiol.1992,20:1353~1361
[5]Xiaodong Zhou,MD,Michael Jones,MD,Takahiro Shiota,MD,et al.Vena contracta imaged by Doppler color flow mapping predicts the severity of eccentric mitral regurgitation better than color jet area:A chronic animal study.JACC,1997,30:1393~1399
, 百拇医药
[6]Simpson IA,Valdes-Cruz LM,Sahn DJ,et al.Doppler color flow mapping of simulated in vitro regurgitant jets:Evaluation of the effects of orifice size and hemodynamic variables.J Am Coll Cardiol.1989,13:1195~1207
[7]Thomas JD,Liu CM,Flachskampf FA,et al.Quantification of jet flow by momentum analysis:An in vitro Doppler color flow study.Circulation.1990,81:247~259
[8]Sahn DJ.Instrumentation and physical factors related to visualization of stenotic and regurgitant jets by Doppler color fow mapping.J Am Coll Cardiol.1988,12:1354~1365
[9]Enriquez-Sarano M,Bailey KR,Seward JB,et al.Quantitative Doppler assessment of valvular regurgitation.Circulation,1993,87:841~848
[10]周晓东,钱蕴秋,戴卫.桑等.彩色多普勒血流显像的三维重建定量评价心脏瓣膜返流一瓣口形态和混叠速度对返流容积的影响.中国超声医学杂志,1997,13(7):1~4
(1998-07-13收稿), http://www.100md.com
单位:710032 西安市第四军医大学西京医院超声科(周晓东、钱蕴秋),美国俄勒冈卫生科技大学先心病中心(盐田隆弘,戴卫.桑)
关键词:二尖瓣返流;返流狭径;彩色多普勒
中国超声医学杂志990103 摘 要 目的:评价返流狭径预测二尖瓣返流(MR)程度的准确性。方法:实验动物选用绵羊6只,预先手术(在4个月前)造成腱索损害引起MR。采用药理学方法获得22种不同的血流动力学状态,使用Vingmed 775彩色超声仪,探头匹配频率5MHz,检测MR和返流狭径(VC,Vena contracta),图像资料直接以数字化形式输入微机待后分析。结果:最大返流量(RFR)1.8~9.8L/min(5.2±2.5L/min);平均RFR 0.7~4.1L/min(2.4±1.2L/min);每搏返流量(RSV)7.0~47.5ml/beat(24.6±11.9ml/beat);返流分数(RF)23%~78%(53±17%)。返流狭径与最大RFR相关良好(r=0.94,SEE=0.05cm),与RSV和RF相关较好(r=0.85,SEE=0.08cm和r=0.89,SEE=0.07cm)。结论:使用高分辨力的超声仪器测定返流狭径是评价MR程度的实用、简便和准确的无创检测技术,并为今后的临床和实验研究提供了一种可比的测量方法。
, 百拇医药
An Animal Study of A Simple Method of Quantitative Assessment of
Valvular Regurgitation by Doppler Color Flow Mapping:
“Vena Contracta”Predicts Severity of Mitral Regurgitation
Zhou Xiaodong,Qian Yunqiu
Division of Ultrasound,Xijing Hospital,Xian 710032
Takahiro Shiota,David Sahn
Oregon Health Sciences University,Portland,Oregon.U.S.A.
, 百拇医药
ABSTRACT Objective:To evaluate the value of vena contracta in predicting the severity of mitral regurgitation(MR).Method:Six sheep with chronic MR produced by artificial chordal damage were examined.Twenty-two hemodynamically different states were obtained pharmacologically.MR jet flow and the vena contracta widths were imaged using a Vingmed 775 scanner with a 5MHz transducer.Image date were directly transformed in digital format to a microcomputer for off-line measurement.Results:The peak regurgitant flow rates(RFR)varied from 1.8 to 9.8L/min(5.2±2.5L/min),mean RFR varied from 0.7 to 4.1L/min(2.4±1.2L/min),regurgitant stroke volumes(RSV)varied from 7.0 to 47.5ml/beat (24.6±11.9ml/beat)and regurgitant fractions (RF) varied from 23% to 78% (53±17%).Vena contracta width,however,correlated closely with the peak RFR(r=0.94,SEE=0.05cm for peak RFR),and also correlated closely with the severity of mitral regurgitation(r=0.85,SEE=0.08cm for RSV and r=0.89,SEE=0.07cm for RF).Conclusion:This study showed that the vena contracta width method is useful for predicting the severity of MR.It is simple and conveniently available with high resolution equipment.The quantitative comparisons in the present study lay out the foundation for future clinical and research studies using this vena contracta technique.
, 百拇医药
KEY WORDS Mitral regurgitation Vena contracta Color Doppler
定量评价二尖瓣病变和瓣膜返流程度对于确定临床治疗方案非常重要〔1~2〕。测定彩色多普勒血流成像返流长度和面积的方法已广泛被临床用来判断二尖瓣返流(MR)的程度。但因仪器因素、血流动力学和流体力学,如Coanda效应等影响,彩色血流长度和面积的方法受到限制。最近的研究认为:使用彩色多普勒超声心动图在二尖瓣口平面能准确地测量返流近端的宽度,与心血管造影评价MR程度密切相关〔3〕。然而,如何测量和应用返流宽度这一方法还没有完全定论。这一方法可能与返流狭径的宽度(即血流会聚加速区末的最狭处或在左房测量返流近端湍流的宽度)相一致。同时,还没有发现应用这一无创方法评价MR和与评价MR程度的金标准对照研究。本文采用严格的慢性MR的动物模型,以测定的返流狭径与血流动力学指标及彩色多普勒血流的返流面积法对照研究,评价返流狭径判断MR程度的准确性。
, 百拇医药
资料与方法
动物模型制备 实验动物选用绵羊6只,体重32~36Kg。第一次手术在4个月前实行。采用心脏直视手术造成二尖瓣前叶(3只羊)或后叶(3只羊)的2~3根腱索损伤,以术中见到二尖瓣关闭不全为准,制备完成慢性MR的动物模型。
心脏插管和电磁流量计探头的放置 超声和血液动力学研究在术后的4~5个月进行,静脉注射苯巴比妥钠(25mg/kg)麻醉,肋下横向开胸,切开心包暴露心脏,分离主动脉,将电磁流量计探头分别放置在升主动脉和肺动脉主干,同时记录主动脉和肺动脉的血流量。采用输血或血管紧张素或二者同时应用来改变心脏负荷,获得22种血流动力学状态。所有血流动力学指标均与超声研究同时记录。
超声心动图研究 超声仪器使用Vingmed 775 System,探头频率为5MHz,探头直接放在心脏表面。心尖和胸骨旁四腔切面观测MR图像和返流狭径。返流狭径指彩色多普勒血流会聚加速区末最狭处或在左房测量的返流近端湍流处的宽度(图1)。
, 百拇医药
FCR:血流会聚;LV=左心室;Jet:射流;LA:左心房;
返流狭径指彩色多普勒血流会聚加速区末的最狭处或左
房测量返端流近湍流处的宽度(箭头所示)。
图1 二尖瓣返流的彩色多普勒返流狭径和射流图像
重复性研究 由两个观察者在不同时间,用同一计算机分别随机选择10种血流动力学状态下的彩色多普勒返流狭径,分析观察者之间的差异;两观测者不知相互的测量结果或电磁流量计的数据。自身对照在10天后重复测量同一组数据计算其差异。
统计学分析 所有测量数据以平均数和标准差表示,彩色多普勒的测量参数与血流动力学、电磁流量计的血流量等指标的相关性研究采用线性相关分析,p<0.05为相差显著。
, 百拇医药 结 果
二尖瓣返流的程度 最大返流量为1.8~9.8L/min(平均5.2±2.5L/min),平均返流量为0.7~4.1L/min(平均2.4±1.2L/min),每搏返流量为7.0~47.5ml/beat(平均24.6±11.9ml/beat)和返流分数为23%~78%(平均53±17%)。
返流类型及其特征 2个为中心型返流(free jet),彩色多普勒显示射流不冲击房壁或仅远端与房壁接触;其余22个均为贴壁型返流(wall jet),彩色多普勒显示射流冲击房壁或大部分与房壁接触。
返流狭径与二尖瓣返流程度的关系 彩色多普勒血流成像测定的返流狭径与最大返流量、返流每搏量和返流分数相关良好(r=0.94,SEE=0.05cm,p<0.0001;r=0.85,SEE=0.08cm,p<0.0001和r=0.89,SEE=0.07cm,p<0.0001,图2A-C)。同时,返流狭径与心导管定量返流的程度相一致(图2D);进一步根据狭径宽度可将返流程度分为轻、中和重度。
, 百拇医药
A、B为返流狭径与最大返流量和返流容积之间的关系;
C、D为返流狭径与返流分数和心血管造影分级之间的关系。
图2 返流狭径与血流动力学之间的关系
重复性研究 随机选择10个不同血流动力学状态下的返流狭径,两个观察者和同一观察者两次所测数值之间的差异分别为7.5%和6.8%。
讨 论
彩色多普勒血流成像是检测和评价二尖瓣和主动脉瓣返流非常有用的无创技术之一。离体实验表明二尖瓣返流起始部的大小和范围可反映瓣膜损害的程度与范围,对外科手术有参考的价值〔4〕。另一些研究显示返流近端的直径与返流大小相比更有重要的优越性,因它仅受驱动压和返流量的影响〔5~7〕。彩色多普勒血流成像测量的返流大小不仅依赖返流容积也受血流速度、压力阶差和仪器因素的影响〔8〕。最近,Mele等指出:彩色血流成像所测量的近端返流大小与左室造影判断返流分数相关较好,而且不依赖返流容积的量,与血管造影一样能够鉴别患者的返流程度〔3〕。换句话讲,判定瓣膜病变和返流的程度,彩色多普勒血流成像可代替有创的心血管造影。而且,近端返流大小作为常规的方法判定主动脉关闭不全已广泛被临床接受。
, http://www.100md.com
返流狭径的概念和优越性:本研究所测量的返流狭径是指血流会聚加速区末的最小彩色血流直径。它完全不属于射流的范围;也不是返流口的直径;可认为是有效返流瓣口的大小。在测定和评估返流量时,返流狭径的优越性超过常规的多普勒方法,包括血流会聚、射流的能量和脉冲多普勒的定量方法。因为,测量反流狭径没有严格的技术要求,方法简单,而且不受心脏负荷的影响。血流会聚和射流能量测定可能更准确地判定返流量,但这些技术很难用于斜形瓣口或评价射流的表面形状。相比之下,在临床上应用返流狭径的方法,有快速、准确和操作简便的特点,而且高分辨率的超声显像系统或食管超声可提高其准确性。
本研究的限制及今后的方向:本研究为动物实验,探头直接置于心脏表面、可调整到最佳位置使声束与血流平行,获得精确的二尖瓣返流图像和返流狭径。然而,在临床上少数成人的二尖瓣返流,这种声束与返流完全平行比较困难。我们使用的瓣口几何形状是近似对称或不对称的,二尖瓣口的大小也不规则,需要在两个不同的平面来测定返流狭径的宽度〔9〕。但这些影响因素或限制可通过对返流的三维重建来克服〔10〕。
, 百拇医药
参考文献
[1]Steward WJ,Currie P,Salcedo EE,et al.Intraoperative Doppler color mapping for decision-making in valve repair for mitral regurgitation:technique and results in 100 patients.Circulation.1990,81:556~566
[2]Shiota T,Jones M,Teien DE,et al.Evaluation of mitral regurgitation using a digitally determined color Doppler flow convergence "centerline"acceleration method: Studies in an animal model with quantified mitral regurgitation.Circulation,1994,89:2879~2887
, http://www.100md.com
[3]Mele D,Vandervoot P,Palacios I,et al.Proximal jet size by Doppler color flow mapping predicts severity of mitral regurgitation:Clinical studies.Circulatio.1995, 91:746~754
[4]Stewart WJ,Currie PJ,Salcedo EE,et al.Eavluation of mitral leaflet motion by echocardiography and jet direction by Doppler color flow mapping to determine the mechanisms of mitral regurgitation.J Am Coll Cardiol.1992,20:1353~1361
[5]Xiaodong Zhou,MD,Michael Jones,MD,Takahiro Shiota,MD,et al.Vena contracta imaged by Doppler color flow mapping predicts the severity of eccentric mitral regurgitation better than color jet area:A chronic animal study.JACC,1997,30:1393~1399
, 百拇医药
[6]Simpson IA,Valdes-Cruz LM,Sahn DJ,et al.Doppler color flow mapping of simulated in vitro regurgitant jets:Evaluation of the effects of orifice size and hemodynamic variables.J Am Coll Cardiol.1989,13:1195~1207
[7]Thomas JD,Liu CM,Flachskampf FA,et al.Quantification of jet flow by momentum analysis:An in vitro Doppler color flow study.Circulation.1990,81:247~259
[8]Sahn DJ.Instrumentation and physical factors related to visualization of stenotic and regurgitant jets by Doppler color fow mapping.J Am Coll Cardiol.1988,12:1354~1365
[9]Enriquez-Sarano M,Bailey KR,Seward JB,et al.Quantitative Doppler assessment of valvular regurgitation.Circulation,1993,87:841~848
[10]周晓东,钱蕴秋,戴卫.桑等.彩色多普勒血流显像的三维重建定量评价心脏瓣膜返流一瓣口形态和混叠速度对返流容积的影响.中国超声医学杂志,1997,13(7):1~4
(1998-07-13收稿), http://www.100md.com