多道前臂肌电信号集中参数模型系统的确定
作者:
蔡 华 王志中 张海虹 雷 敏
单位:蔡 华 王志中 张海虹 雷 敏 (上海交通大学 生物医学工程系,上海 200030)
关键词:EMG;LS算法;Marple算法;采样频率;衰减因子;窗函数
生物医学工程学杂志990115 内容摘要 采用了分段的LS方式来提取前臂肌电信号集中参数模型AR系数,在此基础上,对不同时窗、不同的采样频率以及不同的衰减系数的作用进行了比较,得出最佳的选择。与目前其他AR系数的提取方法相比,实验结果表明分段的LS方法有着更好的辩识效果。
Determination of AR Parameters for Multi-channel Upper Limb EMG
, 百拇医药
Cai Hua Wang Zhizhong Zhang Haihong Lei Min
(Department of Biomedical Engineering, Shanghai Jiao Tong University,Shanghai 200030)
Abstract In this study, a segment LS method was used to determine the AR parameters for multi-channel upper limb EMG. Different sampling frequencies, time-windows and attenuation factors were tested and an optimum selection was obtained. According to the experiment result, the segment LS algorithm should be the best method compared with others.
, 百拇医药
Key words EMG LS Marple Sampling frequency Time-window Attenuation factor
1 引言
肌电假肢,自从1975年Graupe D提出用ARMA模型法来判别肌肉的动作[1],肌电假肢的研究便进入一个新的发展时期,Graupe D于1982年又提出用单通道AR模型法来判别动作[2],他的方法有两个缺陷:(1)只用一道EMG作分析,事实上肌电信息是空间分布的,因此采用多道信号可以充分利用各道间的相互关系;(2)AR模型系数估计采用RLS法,RLS法有两个弱点:一是多次的递推会使积累误差增大,二是初值的选取对终值有一定的影响。其后,1983年,文献[3]改进了Graupe D的方法,采集四路肌电信号,用L-D算法得到AR系数,L-D算法速度较快,但由于采用了近似等式,使识别效果降低。
, http://www.100md.com
近年来,对EMG的研究主要采用两通道信号,利用Marple算法[4]建立AR模型,得到AR参数,然后用贝叶斯准则判别动作。有文献将AR系数换为RC、CP、LAR系数,再对这些变换后的系数进行辨识[6,7]。还有人利用Hopfiled神经网络提取AR系数[8],此外还有人提出空间因子方法,新的时间域方法[10]等等。
以上的这些方法都是针对手工分割后的肌电信号,最新文献中肌电信号识别的平均错误识别率在16%左右,这个错误率离实用还有很大的距离,因为误动作对截肢病人而言可能是非常危险的,在此我们改进了AR系数的提取方法并从实验得到采样频率、时窗以及衰减系数的最佳选择,使得信号的误识别率下降。
2 AR系数提取方法的改进
我们在研究总结了前人工作的基础上,认为频域参数比时域参数更能反映肌电特征。因为当力大小稍有变化时,其时域波形变化较大,而频域特性变化不是很大(特别是在力小于30%MVC时)[3]。由肌电信号的集中参数模型[11]可知,肌电信号可以等价为零均值白噪声过程激励一线性系统的输出。这就认为肌电信号可用AR模型来描述,因为AR系数是由信号的频域特征所决定的,故用AR系数来表征不同动作所对应的肌电信号是合理的。AR模型描述如下:
, http://www.100md.com
式中:x(n)(n=0,1,……N)为肌电信号;N为该分段采样信号的终端时刻;e(n)为白噪声;P为模型阶次,在AR参数的提取方法上,我们选用LS算法。即若:
y=xθ
式中:
求得LS解:
AR模型阶次P的判定,一般是用模型拟合误差或预测误差的信息。Doerschuk[3]利用AIC准则确定EMG信号在采样频率为2 kHz时的最佳模型阶次为4;我们利用预测误差的方法,在采样频率为2205 Hz时利用F分布假设检验确定的模型阶次也为4,因此我们确定EMG信号的AR模型阶次为4。在各种算法中,尽管LS的运算量∝P3,RLS的运算量∝P2,FTF的运算量∝P,由于阶次P为4且处理时我们没有来一个数据就处理一个数据,而是在每来了一段数据才处理一次,因而在信号处理的时间上RLS、FTF就没有了优势。
, http://www.100md.com
如表所示为: 方 法
RLS
FTF
LS
乘法次数
29988
15868
9044
BORG
MARPLE
FTF
8820
2646
, 百拇医药
15868
采样频率为2205 Hz,每0.2 s变换一次系数。
可见在这种情况下,LS计算量要小于RLS方法和FTF方法,在目前的486 CPU上已能实时处理,但它的计算精确度优于其它任何一种基于LS、LMS的时间或阶次迭代算法。实时的处理过程为:采集板采进来一段长度的信号后,程序读进这段数据并找一个最近极大点作为新的窗信号起点,窗宽度选为0.2 s,再对这个窗信号作LS处理,然后再读一段信号进行处理,一直到信号结束,这样就得到一组AR系数,这组系数就是这个肌电信号的频域特征参数。这种分段块数据处理的想法是基于以下的思路:(1)肌电信号需要实时处理,才能使假肢能象正常人手臂一样,比较灵活地受人意识的控制,否则没有多大实用意义。若一波形已经持续了1 s还要继续等待波形结束再做判断,那么假肢动作就至少比大脑的动作兴奋电脉冲延迟1 s,这样的处理过程是非实时的,不能在实际中运用。而采用分段块数据处理,1 s的信号会得到五组AR系数(若0.2 s一段数据),此时就可利用这五组AR系数进行判断,事实上,在改进的块数据处理中,信号在产生后0.5 s内肯定会作出判别,动作的最大延迟为0.5 s,这种情况认为是实时的判断。(2)人在做一个动作时,肌肉运动单位(MU)的放电间隔为0.05~0.3 s,肌电的传导速度为1.6~3 m/s,这样可以认为放电具有时间上和幅度上的准周期性,由表面肌电信号的线性模型可知信号有着准周期特性[11]。
, 百拇医药
在辨识时,将这一组参数分别与标准参数比较,得出识别结果。在以上考虑的基础上,我们对不同的采样频率、不同的时间衰减因子、不同时窗的作用结果进行了比较,得到了提取AR系数的最佳选择。在这基础上,又与前人的方法作出了比较、分析。
3 实验结果及分析
3.1 肌电信号的采集
实验中肌电信号的采集主要使用了RM-6000多通道生理测试仪、声霸卡(Creative Sound Blaster)。其中RM-6000的EMG处理模块(AM-600G)具有多级放大、工频滤波功能,共模拟制比CMRR可达60 dB,低频截止频率是10 Hz,高频截止频率是10 kHz。信号经RM-6000输出后再通过Sound Blaster采集,采样频率为11.025 kHz,位数16Bit,双通道方式。Sound Blaster的低频截止频率20 Hz,高频截止频率15 kHz,通带放大倍数可达40 dB,它的低频特性稍差,由于我们采用的双极型模型,低频成分并不重要,Boston大学的神经肌肉研究中心认为利用双极型模型得到的EMG频谱分布在20~500 Hz,绝大部分谱集中在50~150 Hz之间,因此Sound Blaster的这种特性是可以接受的。表面电极是3M公司的Reddot牌Ag-AgCl电极,分别贴在掌长肌、肱桡肌上,掌长肌属于屈肌旋前肌群浅层肌肉,肱桡肌属于伸肌旋后肌群浅层肌肉。每块肌肉上沿臂贴两片电极,相隔 2 cm,构成双极型模式。实验做了三个正常人的前肌电采集,第一个人用力大小适中,做握掌、展掌、腕外转、腕内转、屈腕、伸腕这六个动作,各100次;第二个在用力较小时做六个动作,每个动作120下,第三个人在用力较大做六个动作,每个动作120下。在后面的处理中,每个对象分别取20组动作作为样本信号,其余为待识别动作。
, http://www.100md.com
3.2 不同采样频率对AR系数的影响
实验中,我们先以11.025 kHz的频率采样肌电信号,在此基础上,又进行了不同频率的抽取,得到了各自的AR系数,并借助了各自标准的AR系数进行辨识,结果见表1。
表1 不同采样频率下识别错误率的比较(括号内为错误数目)*
Table 1 Comparison of the error identification rates via different sampling frequencies(the number of error discriminations is in the bracket)* Object
11025
5512
, http://www.100md.com
3675
2756
2205
1838
1575
1
9.58(46)
8.13(39)
8.96(43)
7.29(35)
4.58(22)
7.92(38)
, 百拇医药 8.69(43)
2
15.67(94)
13.67(82)
13.67(97)
11.83(71)
10.00(60)
11.67(70)
11.83(71)
3
5.50(33)
4.17(25)
, http://www.100md.com
8.00(48)
6.67(40)
3.67(22)
7.33(44)
7.83(47)
Average
10.30
8.69
11.19
8.69
6.19
9.05
, 百拇医药
9.58
* Rectangle-window, Attenuation factor λ=0.9984
由表1可知:对试验者1、2、3,采样频率为2205 Hz时,错误数目均最少。综合平均在采样频率为2205 Hz时,识别效果最好。一般认为,采样频率超过奈奎斯特频率过多时,会使AR模型的阶次提高,在我们这里,当采样率大于2205 Hz时,不同动作所对应肌电信号AR系数的分离度不是很大,因此识别效果不够理想,当小于2205 Hz时,采样后数据产生了一定的失真,损失了部分信息,因此识别效果也不够好。在以后的实验中,我们就选取了2205 Hz为信号的采样频率。
3.3 不同时窗对AR系数的影响
当用计算机对时间信号的采样值进行处理时,只能取有限采样点,处理时的信号为窗函数乘以原时间函数。下表是肌电信号在矩形窗、汉宁窗、余弦边窗三种时窗下辨识结果的比较。
, 百拇医药
表2 在三种窗的作用下识别错误率的比较(括号内为错误数目)*
Table 2 Comparison of the error identification ratesvia three time-windows:(the number of error discriminations is in the bracket)* Object
Rectangle
Hanning-windows
Cos-Windows
1
4.58(22)
11.04(53)
, 百拇医药
20.42(98)
2
10.00(60)
17.50(105)
31.17(187)
3
3.67(104)
5.83(35)
22.50(135)
Average
6.19(104)
11.49(193)
, 百拇医药
25.00(420)
* Attenuation factor λ=0.9984,sampling frequency f=2205Hz
由上表可知,汉宁窗的效果稍逊于矩形窗,余弦边窗最差。这是因为我们是利用信号的AR系数来判别动作,AR系数取决于频谱的形状,矩形窗的主瓣最窄,因而在它的作用下,频谱仍能保持原状,频率的分辨率最好,AR系数就能基本保持不变,辨识的正确率最高。汉宁窗的旁瓣最小,谱的下降速度最快,因此辨识效果也可以。而余弦边窗的主要瓣比较宽,旁瓣比较大,辨识效果最差,所以时窗选用矩形窗。
3.4 不同衰退因子对AR系数的影响比较
由于肌电信号并非是一种严格平稳的信号,因此为了使参数跟踪信号的能力加强,引进了遗忘因子λ,具体公式如下:
, http://www.100md.com
求θN(n),使得J最小,即使用众所周知的指数窗加权最小二乘法求解,对时间较近的数据加以较大的权来考虑,时间较前的数据其权值按指数律减小。这样可使算法更能反映当前情况,从而加强对非平稳信号的适应能力。以下为三组信号在不同λ作用下的识别效果。
表3 不同衰减系数下识别错误率的比较(括号内为错误数目)*
Table 3 Comparison of the error identification rates via different attenuation factors*(the number of error discriminations is in the bracket) Object
1.0
0.9984
, 百拇医药
0.9969
0.9953
0.9921
0.9906
1
8.13(39)
4.58(22)
6.88(33)
7.92(38)
11.25(54)
16.04(77)
2
, 百拇医药
15.67(94)
10.00(60)
10.67(64)
10.83(65)
15.33(92)
19.67(118)
3
6.00(36)
3.67(22)
4.33(26)
3.67(22)
8.00(48)
, 百拇医药
15.50(93)
Average
10.06(169)
6.19(104)
7.32(123)
7.44(125)
11.55(194)
17.14(288)
* Sampling frequency f=2205Hz,Rectangle-windows
由上表可见,三组数据在λ取0.9984,0.9969,0.9953的情况下,错误数较少,识别效果好。且可看出,衰减因子对不同作用力下的信号识别效果的影响有一定的差异,当力较小时,λ要取得稍大一点(对于组1,λ取0.9984)效果最好;而力较大时,λ可取得稍小一点(对于组3,λ取0.9953)效果也不错。这种现象可解释为:当力较小时,信噪比相对而言比较小,非平稳性更明显,假若λ取得比较小,AR系数的摆动会比较大,因此会使正确识别率降低,因此λ不能取得小;力较大时,信噪比比较大,此时λ取得稍小一点,会使AR系数更快速地跟踪信号的变化。这样,在实验中一般取λ为0.9984。
, http://www.100md.com
3.5 与各种常用算法的比较
在以上采样频率、时间衰减因子、时窗的基础上,我们分两个方面与前人的工作进行比较。第一方面是信号的AR系数提取方法比较,第二方面是验证AR系数经各种变换后到底能否提高识别率,因为这方面有相互矛盾的文献。
3.5.1 肌电信号参数提取方法的比较 前面已讲过前人系数提取的方法主要是(1)基于LMS的DURBIN法,(2)基于LS的MARPLE法,(3)HOPFIELD神经网络。在此我们将这三种方法与本文的LS法作一个比较,结果如下表:
表4 不同AR系数提取方法识别错误率的比较(括号内为错误数目)*
Table 4 Comparison of the error identification rates via different methods of AR parameters extraction (the number of error discriminations is in the bracket)* Object
, http://www.100md.com
Durbin
Marple
Hopfield
本文方法
1
17.71(85)
8.13(39)
6.88(33)
4.58(22)
2
17.00(102)
12.50(75)
, 百拇医药
14.83(89)
10.00(60)
3
18.50(111)
5.00(30)
7.17(43)
3.67(22)
Average
17.74(298)
8.57(144)
9.82(165)
6.19(104)
, 百拇医药
* Sampling frequency f=2205Hz, Rectangle-window,λ=0.9984
由此表可见Durbin算法效果最差,平均错误率最高的17.74%,Hopfield神经网络算法为9.82%,Marple算法为8.57%,本文方法的平均错误率最小(6.19%)。可解释如下:Durbin算法是基于LMS的算法,虽然速度最快,但在对非严格平稳信号处理进从计算精度上讲肯定不是一种完美的算法,比基于LS的算法要差;Marple算法与Hopfield算法在这里都是基于LS的一种计算AR系数的方法,因而它们比Durbin算法要好,但比本文的方法要差。
3.5.2 AR系数经CP、RC、LAR三种变换后辨识效果的比较 据参考文献[8],AR系数经过复倒谱的变换(CEPSTRAL)后,系数的可分离性大大增加,这样识别的正确率会有一定的提高。而在参考文献[10]中,认为AR系数经过CP、RC、LAR变换后不能提高识别率。这三种变换都是非线性变,在语音识别时,CP和LAR被认为具有一定的效果,下表是这些非线性变换处理EMG信号的实验结果。
, 百拇医药
表5 AR系数经CP、RC、LAR变换后识别错误率的比较(括号内为错误数目)*
Table 5 Comparison of error identification rates via CP,RC and LAR transformed AR parameters (the number of error discriminations is in the bracket)* Object
CPESTRAL
RC
LAR
LS
1
8.
, 百拇医药
33(40)
17.
29(83)
13.
96(67)
4.
58(22)
2
11.
33(68)
25.
83(155)
24.
, http://www.100md.com
16(145)
10.
00(60)
3
7.
50(45)
12.
83(77)
11.
83(71)
3.
67(22)
Average
, http://www.100md.com
9.
11(153)
18.
75(315)
16.
85(283)
6.
19(104)
* Sampling frequency f=2205Hz,Rectangle-window, λ=0.9984
由此表可知AR系数经复倒谱变换不能使错误降低,RC和LAR变换则使错误率增大。我们觉得AR系数CP变换后总体效果不比变换前好,这与文献[10]的观点一致。
, 百拇医药
4 结束语
本文在前人工作的基础上,改进了AR系数的提取方法,利用LS算法对极大点对准后的分段肌电信号进行AR系数的提取,并通过实验分析得到最佳的采样频率为2~2.5 kHz,最佳的时窗为矩形窗,最佳的衰减因子λ为0.9984~0.9969。在这些基础上,使得对肌电信号的误识别率与前人的方法相比有明显的下降:信号较强的情况下,错误率不超过5%;信号较弱时,错误率在10%。这个结果与实用的要求还相距较远,5%的误识别率还是偏高的,下一步的工作要在判别的方法上有所改进,使得错误率进一步下降,具体讨论见另文。
参考文献
[1] Graupe D, Cline WK. Functionalseparation of EMG signal via ARMA identification methods for prosthesis control purposes. IEEE Trans Syst Man Cyber, 1975;15∶252
, 百拇医药
[2] Graupe D. Multifunctional prothesis and orthosis control via microcomputer identification of temporal pattern differences in single site myoelectric signals. J Biomed Eng, 1982;4∶17
[3] Dorechuk PC, Gustafson KE, Willsky AS. Upper extremity limb function discrimination using EMG signal analysis. IEEE Tran Biomed Eng, 1983; 30∶18
[4] Larry Marple. A new autoregressive spectrum analysis algorithm, IEEE Tran on ASSP, 1980;28(4)
, 百拇医药
[5] Ronald JT, Gordon DM. The theoretical development of a multichannel time-series myoprocessor for simultaneous limb function detection and muscle force estimation. IEEE Tran Biomed Eng,1989;36(10)
[6] Kang Wenjuh,Shiu Jiuerou,Cheng Chengkung. The application of central coefficients and maximum likelihood method in EMG pattern recognition.IEEE Trans Biomed Eng,1995; 42∶777
[7] Knox R, Broks DH. Classification of multifunction Surface EMG using advanced AR Model Representation.1994
, http://www.100md.com
[8] Michael FK, Philip AP. The application of neural networks to myoelectric signal analysis:A preliminary study. IEEE Trans Biomed Eng 1990;37∶221
[9] 陈尚勤,李晓锋.快速自适应信息处理.北京:人民邮电出版社,1993∶48-95
[10] Ewa Zalewska, Irena Hausmanowa. Evalution of MUAP Shape Irregularity -A new concept of quantification. IEEE Trans Biomed Eng, 1995;42
[11] 杨福生,高上凯.生物医学信号处理.北京:高等教育出版社,1989∶607-644
(收稿:1997-04-10), http://www.100md.com
蔡 华 王志中 张海虹 雷 敏
单位:蔡 华 王志中 张海虹 雷 敏 (上海交通大学 生物医学工程系,上海 200030)
关键词:EMG;LS算法;Marple算法;采样频率;衰减因子;窗函数
生物医学工程学杂志990115 内容摘要 采用了分段的LS方式来提取前臂肌电信号集中参数模型AR系数,在此基础上,对不同时窗、不同的采样频率以及不同的衰减系数的作用进行了比较,得出最佳的选择。与目前其他AR系数的提取方法相比,实验结果表明分段的LS方法有着更好的辩识效果。
Determination of AR Parameters for Multi-channel Upper Limb EMG
, 百拇医药
Cai Hua Wang Zhizhong Zhang Haihong Lei Min
(Department of Biomedical Engineering, Shanghai Jiao Tong University,Shanghai 200030)
Abstract In this study, a segment LS method was used to determine the AR parameters for multi-channel upper limb EMG. Different sampling frequencies, time-windows and attenuation factors were tested and an optimum selection was obtained. According to the experiment result, the segment LS algorithm should be the best method compared with others.
, 百拇医药
Key words EMG LS Marple Sampling frequency Time-window Attenuation factor
1 引言
肌电假肢,自从1975年Graupe D提出用ARMA模型法来判别肌肉的动作[1],肌电假肢的研究便进入一个新的发展时期,Graupe D于1982年又提出用单通道AR模型法来判别动作[2],他的方法有两个缺陷:(1)只用一道EMG作分析,事实上肌电信息是空间分布的,因此采用多道信号可以充分利用各道间的相互关系;(2)AR模型系数估计采用RLS法,RLS法有两个弱点:一是多次的递推会使积累误差增大,二是初值的选取对终值有一定的影响。其后,1983年,文献[3]改进了Graupe D的方法,采集四路肌电信号,用L-D算法得到AR系数,L-D算法速度较快,但由于采用了近似等式,使识别效果降低。
, http://www.100md.com
近年来,对EMG的研究主要采用两通道信号,利用Marple算法[4]建立AR模型,得到AR参数,然后用贝叶斯准则判别动作。有文献将AR系数换为RC、CP、LAR系数,再对这些变换后的系数进行辨识[6,7]。还有人利用Hopfiled神经网络提取AR系数[8],此外还有人提出空间因子方法,新的时间域方法[10]等等。
以上的这些方法都是针对手工分割后的肌电信号,最新文献中肌电信号识别的平均错误识别率在16%左右,这个错误率离实用还有很大的距离,因为误动作对截肢病人而言可能是非常危险的,在此我们改进了AR系数的提取方法并从实验得到采样频率、时窗以及衰减系数的最佳选择,使得信号的误识别率下降。
2 AR系数提取方法的改进
我们在研究总结了前人工作的基础上,认为频域参数比时域参数更能反映肌电特征。因为当力大小稍有变化时,其时域波形变化较大,而频域特性变化不是很大(特别是在力小于30%MVC时)[3]。由肌电信号的集中参数模型[11]可知,肌电信号可以等价为零均值白噪声过程激励一线性系统的输出。这就认为肌电信号可用AR模型来描述,因为AR系数是由信号的频域特征所决定的,故用AR系数来表征不同动作所对应的肌电信号是合理的。AR模型描述如下:
, http://www.100md.com
式中:x(n)(n=0,1,……N)为肌电信号;N为该分段采样信号的终端时刻;e(n)为白噪声;P为模型阶次,在AR参数的提取方法上,我们选用LS算法。即若:
y=xθ
式中:
求得LS解:
AR模型阶次P的判定,一般是用模型拟合误差或预测误差的信息。Doerschuk[3]利用AIC准则确定EMG信号在采样频率为2 kHz时的最佳模型阶次为4;我们利用预测误差的方法,在采样频率为2205 Hz时利用F分布假设检验确定的模型阶次也为4,因此我们确定EMG信号的AR模型阶次为4。在各种算法中,尽管LS的运算量∝P3,RLS的运算量∝P2,FTF的运算量∝P,由于阶次P为4且处理时我们没有来一个数据就处理一个数据,而是在每来了一段数据才处理一次,因而在信号处理的时间上RLS、FTF就没有了优势。
, http://www.100md.com
如表所示为: 方 法
RLS
FTF
LS
乘法次数
29988
15868
9044
BORG
MARPLE
FTF
8820
2646
, 百拇医药
15868
采样频率为2205 Hz,每0.2 s变换一次系数。
可见在这种情况下,LS计算量要小于RLS方法和FTF方法,在目前的486 CPU上已能实时处理,但它的计算精确度优于其它任何一种基于LS、LMS的时间或阶次迭代算法。实时的处理过程为:采集板采进来一段长度的信号后,程序读进这段数据并找一个最近极大点作为新的窗信号起点,窗宽度选为0.2 s,再对这个窗信号作LS处理,然后再读一段信号进行处理,一直到信号结束,这样就得到一组AR系数,这组系数就是这个肌电信号的频域特征参数。这种分段块数据处理的想法是基于以下的思路:(1)肌电信号需要实时处理,才能使假肢能象正常人手臂一样,比较灵活地受人意识的控制,否则没有多大实用意义。若一波形已经持续了1 s还要继续等待波形结束再做判断,那么假肢动作就至少比大脑的动作兴奋电脉冲延迟1 s,这样的处理过程是非实时的,不能在实际中运用。而采用分段块数据处理,1 s的信号会得到五组AR系数(若0.2 s一段数据),此时就可利用这五组AR系数进行判断,事实上,在改进的块数据处理中,信号在产生后0.5 s内肯定会作出判别,动作的最大延迟为0.5 s,这种情况认为是实时的判断。(2)人在做一个动作时,肌肉运动单位(MU)的放电间隔为0.05~0.3 s,肌电的传导速度为1.6~3 m/s,这样可以认为放电具有时间上和幅度上的准周期性,由表面肌电信号的线性模型可知信号有着准周期特性[11]。
, 百拇医药
在辨识时,将这一组参数分别与标准参数比较,得出识别结果。在以上考虑的基础上,我们对不同的采样频率、不同的时间衰减因子、不同时窗的作用结果进行了比较,得到了提取AR系数的最佳选择。在这基础上,又与前人的方法作出了比较、分析。
3 实验结果及分析
3.1 肌电信号的采集
实验中肌电信号的采集主要使用了RM-6000多通道生理测试仪、声霸卡(Creative Sound Blaster)。其中RM-6000的EMG处理模块(AM-600G)具有多级放大、工频滤波功能,共模拟制比CMRR可达60 dB,低频截止频率是10 Hz,高频截止频率是10 kHz。信号经RM-6000输出后再通过Sound Blaster采集,采样频率为11.025 kHz,位数16Bit,双通道方式。Sound Blaster的低频截止频率20 Hz,高频截止频率15 kHz,通带放大倍数可达40 dB,它的低频特性稍差,由于我们采用的双极型模型,低频成分并不重要,Boston大学的神经肌肉研究中心认为利用双极型模型得到的EMG频谱分布在20~500 Hz,绝大部分谱集中在50~150 Hz之间,因此Sound Blaster的这种特性是可以接受的。表面电极是3M公司的Reddot牌Ag-AgCl电极,分别贴在掌长肌、肱桡肌上,掌长肌属于屈肌旋前肌群浅层肌肉,肱桡肌属于伸肌旋后肌群浅层肌肉。每块肌肉上沿臂贴两片电极,相隔 2 cm,构成双极型模式。实验做了三个正常人的前肌电采集,第一个人用力大小适中,做握掌、展掌、腕外转、腕内转、屈腕、伸腕这六个动作,各100次;第二个在用力较小时做六个动作,每个动作120下,第三个人在用力较大做六个动作,每个动作120下。在后面的处理中,每个对象分别取20组动作作为样本信号,其余为待识别动作。
, http://www.100md.com
3.2 不同采样频率对AR系数的影响
实验中,我们先以11.025 kHz的频率采样肌电信号,在此基础上,又进行了不同频率的抽取,得到了各自的AR系数,并借助了各自标准的AR系数进行辨识,结果见表1。
表1 不同采样频率下识别错误率的比较(括号内为错误数目)*
Table 1 Comparison of the error identification rates via different sampling frequencies(the number of error discriminations is in the bracket)* Object
11025
5512
, http://www.100md.com
3675
2756
2205
1838
1575
1
9.58(46)
8.13(39)
8.96(43)
7.29(35)
4.58(22)
7.92(38)
, 百拇医药 8.69(43)
2
15.67(94)
13.67(82)
13.67(97)
11.83(71)
10.00(60)
11.67(70)
11.83(71)
3
5.50(33)
4.17(25)
, http://www.100md.com
8.00(48)
6.67(40)
3.67(22)
7.33(44)
7.83(47)
Average
10.30
8.69
11.19
8.69
6.19
9.05
, 百拇医药
9.58
* Rectangle-window, Attenuation factor λ=0.9984
由表1可知:对试验者1、2、3,采样频率为2205 Hz时,错误数目均最少。综合平均在采样频率为2205 Hz时,识别效果最好。一般认为,采样频率超过奈奎斯特频率过多时,会使AR模型的阶次提高,在我们这里,当采样率大于2205 Hz时,不同动作所对应肌电信号AR系数的分离度不是很大,因此识别效果不够理想,当小于2205 Hz时,采样后数据产生了一定的失真,损失了部分信息,因此识别效果也不够好。在以后的实验中,我们就选取了2205 Hz为信号的采样频率。
3.3 不同时窗对AR系数的影响
当用计算机对时间信号的采样值进行处理时,只能取有限采样点,处理时的信号为窗函数乘以原时间函数。下表是肌电信号在矩形窗、汉宁窗、余弦边窗三种时窗下辨识结果的比较。
, 百拇医药
表2 在三种窗的作用下识别错误率的比较(括号内为错误数目)*
Table 2 Comparison of the error identification ratesvia three time-windows:(the number of error discriminations is in the bracket)* Object
Rectangle
Hanning-windows
Cos-Windows
1
4.58(22)
11.04(53)
, 百拇医药
20.42(98)
2
10.00(60)
17.50(105)
31.17(187)
3
3.67(104)
5.83(35)
22.50(135)
Average
6.19(104)
11.49(193)
, 百拇医药
25.00(420)
* Attenuation factor λ=0.9984,sampling frequency f=2205Hz
由上表可知,汉宁窗的效果稍逊于矩形窗,余弦边窗最差。这是因为我们是利用信号的AR系数来判别动作,AR系数取决于频谱的形状,矩形窗的主瓣最窄,因而在它的作用下,频谱仍能保持原状,频率的分辨率最好,AR系数就能基本保持不变,辨识的正确率最高。汉宁窗的旁瓣最小,谱的下降速度最快,因此辨识效果也可以。而余弦边窗的主要瓣比较宽,旁瓣比较大,辨识效果最差,所以时窗选用矩形窗。
3.4 不同衰退因子对AR系数的影响比较
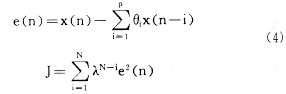
由于肌电信号并非是一种严格平稳的信号,因此为了使参数跟踪信号的能力加强,引进了遗忘因子λ,具体公式如下:
, http://www.100md.com
求θN(n),使得J最小,即使用众所周知的指数窗加权最小二乘法求解,对时间较近的数据加以较大的权来考虑,时间较前的数据其权值按指数律减小。这样可使算法更能反映当前情况,从而加强对非平稳信号的适应能力。以下为三组信号在不同λ作用下的识别效果。
表3 不同衰减系数下识别错误率的比较(括号内为错误数目)*
Table 3 Comparison of the error identification rates via different attenuation factors*(the number of error discriminations is in the bracket) Object
1.0
0.9984
, 百拇医药
0.9969
0.9953
0.9921
0.9906
1
8.13(39)
4.58(22)
6.88(33)
7.92(38)
11.25(54)
16.04(77)
2
, 百拇医药
15.67(94)
10.00(60)
10.67(64)
10.83(65)
15.33(92)
19.67(118)
3
6.00(36)
3.67(22)
4.33(26)
3.67(22)
8.00(48)
, 百拇医药
15.50(93)
Average
10.06(169)
6.19(104)
7.32(123)
7.44(125)
11.55(194)
17.14(288)
* Sampling frequency f=2205Hz,Rectangle-windows
由上表可见,三组数据在λ取0.9984,0.9969,0.9953的情况下,错误数较少,识别效果好。且可看出,衰减因子对不同作用力下的信号识别效果的影响有一定的差异,当力较小时,λ要取得稍大一点(对于组1,λ取0.9984)效果最好;而力较大时,λ可取得稍小一点(对于组3,λ取0.9953)效果也不错。这种现象可解释为:当力较小时,信噪比相对而言比较小,非平稳性更明显,假若λ取得比较小,AR系数的摆动会比较大,因此会使正确识别率降低,因此λ不能取得小;力较大时,信噪比比较大,此时λ取得稍小一点,会使AR系数更快速地跟踪信号的变化。这样,在实验中一般取λ为0.9984。
, http://www.100md.com
3.5 与各种常用算法的比较
在以上采样频率、时间衰减因子、时窗的基础上,我们分两个方面与前人的工作进行比较。第一方面是信号的AR系数提取方法比较,第二方面是验证AR系数经各种变换后到底能否提高识别率,因为这方面有相互矛盾的文献。
3.5.1 肌电信号参数提取方法的比较 前面已讲过前人系数提取的方法主要是(1)基于LMS的DURBIN法,(2)基于LS的MARPLE法,(3)HOPFIELD神经网络。在此我们将这三种方法与本文的LS法作一个比较,结果如下表:
表4 不同AR系数提取方法识别错误率的比较(括号内为错误数目)*
Table 4 Comparison of the error identification rates via different methods of AR parameters extraction (the number of error discriminations is in the bracket)* Object
, http://www.100md.com
Durbin
Marple
Hopfield
本文方法
1
17.71(85)
8.13(39)
6.88(33)
4.58(22)
2
17.00(102)
12.50(75)
, 百拇医药
14.83(89)
10.00(60)
3
18.50(111)
5.00(30)
7.17(43)
3.67(22)
Average
17.74(298)
8.57(144)
9.82(165)
6.19(104)
, 百拇医药
* Sampling frequency f=2205Hz, Rectangle-window,λ=0.9984
由此表可见Durbin算法效果最差,平均错误率最高的17.74%,Hopfield神经网络算法为9.82%,Marple算法为8.57%,本文方法的平均错误率最小(6.19%)。可解释如下:Durbin算法是基于LMS的算法,虽然速度最快,但在对非严格平稳信号处理进从计算精度上讲肯定不是一种完美的算法,比基于LS的算法要差;Marple算法与Hopfield算法在这里都是基于LS的一种计算AR系数的方法,因而它们比Durbin算法要好,但比本文的方法要差。
3.5.2 AR系数经CP、RC、LAR三种变换后辨识效果的比较 据参考文献[8],AR系数经过复倒谱的变换(CEPSTRAL)后,系数的可分离性大大增加,这样识别的正确率会有一定的提高。而在参考文献[10]中,认为AR系数经过CP、RC、LAR变换后不能提高识别率。这三种变换都是非线性变,在语音识别时,CP和LAR被认为具有一定的效果,下表是这些非线性变换处理EMG信号的实验结果。
, 百拇医药
表5 AR系数经CP、RC、LAR变换后识别错误率的比较(括号内为错误数目)*
Table 5 Comparison of error identification rates via CP,RC and LAR transformed AR parameters (the number of error discriminations is in the bracket)* Object
CPESTRAL
RC
LAR
LS
1
8.
, 百拇医药
33(40)
17.
29(83)
13.
96(67)
4.
58(22)
2
11.
33(68)
25.
83(155)
24.
, http://www.100md.com
16(145)
10.
00(60)
3
7.
50(45)
12.
83(77)
11.
83(71)
3.
67(22)
Average
, http://www.100md.com
9.
11(153)
18.
75(315)
16.
85(283)
6.
19(104)
* Sampling frequency f=2205Hz,Rectangle-window, λ=0.9984
由此表可知AR系数经复倒谱变换不能使错误降低,RC和LAR变换则使错误率增大。我们觉得AR系数CP变换后总体效果不比变换前好,这与文献[10]的观点一致。
, 百拇医药
4 结束语
本文在前人工作的基础上,改进了AR系数的提取方法,利用LS算法对极大点对准后的分段肌电信号进行AR系数的提取,并通过实验分析得到最佳的采样频率为2~2.5 kHz,最佳的时窗为矩形窗,最佳的衰减因子λ为0.9984~0.9969。在这些基础上,使得对肌电信号的误识别率与前人的方法相比有明显的下降:信号较强的情况下,错误率不超过5%;信号较弱时,错误率在10%。这个结果与实用的要求还相距较远,5%的误识别率还是偏高的,下一步的工作要在判别的方法上有所改进,使得错误率进一步下降,具体讨论见另文。
参考文献
[1] Graupe D, Cline WK. Functionalseparation of EMG signal via ARMA identification methods for prosthesis control purposes. IEEE Trans Syst Man Cyber, 1975;15∶252
, 百拇医药
[2] Graupe D. Multifunctional prothesis and orthosis control via microcomputer identification of temporal pattern differences in single site myoelectric signals. J Biomed Eng, 1982;4∶17
[3] Dorechuk PC, Gustafson KE, Willsky AS. Upper extremity limb function discrimination using EMG signal analysis. IEEE Tran Biomed Eng, 1983; 30∶18
[4] Larry Marple. A new autoregressive spectrum analysis algorithm, IEEE Tran on ASSP, 1980;28(4)
, 百拇医药
[5] Ronald JT, Gordon DM. The theoretical development of a multichannel time-series myoprocessor for simultaneous limb function detection and muscle force estimation. IEEE Tran Biomed Eng,1989;36(10)
[6] Kang Wenjuh,Shiu Jiuerou,Cheng Chengkung. The application of central coefficients and maximum likelihood method in EMG pattern recognition.IEEE Trans Biomed Eng,1995; 42∶777
[7] Knox R, Broks DH. Classification of multifunction Surface EMG using advanced AR Model Representation.1994
, http://www.100md.com
[8] Michael FK, Philip AP. The application of neural networks to myoelectric signal analysis:A preliminary study. IEEE Trans Biomed Eng 1990;37∶221
[9] 陈尚勤,李晓锋.快速自适应信息处理.北京:人民邮电出版社,1993∶48-95
[10] Ewa Zalewska, Irena Hausmanowa. Evalution of MUAP Shape Irregularity -A new concept of quantification. IEEE Trans Biomed Eng, 1995;42
[11] 杨福生,高上凯.生物医学信号处理.北京:高等教育出版社,1989∶607-644
(收稿:1997-04-10), http://www.100md.com