含氮功能基高分子胶乳的研制及其在多种疾病快速诊断中的应用*
作者:吴道澄 刘有初 赵小宁 田小东 铙颐年
单位:吴道澄 刘有初 赵小宁 (第四军医大学 化学教研室,西安 710032);田小东 铙颐年 (广州军区军事医学研究所,广州 510507)
关键词:氮功能基;高分子胶乳;快速诊断;登革热;PCR法
生物医学工程学杂志990101 内容摘要 报告近年来我们研制的含有氮功能基(-NH2、-CON3等)的高分子胶乳载体的制备、性质及其在疾病快速诊断中的应用。即重氮化聚苯乙烯胶乳,三元共聚重氮化胶乳、叠氮胶乳及细胞标记用彩色高分子胶乳。用三元共聚重氮胶乳制备了登革病毒免疫快诊试剂,其检出敏感性达82.3%,且5min即出结果;检测登革热病人急性期血清标本40例;同时与PCR(聚合酶链反应)及病毒分离方法进行比较,结果表明三种方法的联合检出率为92.5%,而胶乳凝集法的敏感性与PCR类似(75%),高于病毒分离方法(55%),但时间仅为PCR法的几十分之一。用叠氮胶乳检测类风湿因子、HCG抗体及登革病毒也取得了较好的检验效果。
, http://www.100md.com
Preparation of Latices with Functional Group Containing N and Their
Application in Rapid Diagnosis of Some Diseases
Wu Daocheng Liu Youchu Zhao Xiaoning
(Department of Chemistry, The Fourth Military Medical University, Xi'an 710032)
Abstract This article reports the preparation and diagnostic application of a variety of latices. These latices, including temary copolymer diazo latex, azidocarbonyl latex and cell labeling latex are stable, monodisperse, soap-free, and covalently combined with protein in the absence of condensing agent.
, 百拇医药
We have improved diazo polystyrene latex and made ternary copolymer diazo latex for early and rapid diagnosis of some diseases. Immunoassay reagent for the dectection of dengue fever has been prepared by our lab using ternary copolymeric diazo latex and azidocarbonyl latex. The experiment showed virus antigen could be detected in 5 mins by using diazo diagnostic agent. The sensitivity of detecting patient serum sample was 82.25%; no-across reaction was observed in other inserted spread virus antigens and in serum of other feverish patient and normal control. 40 serum samples were dectected by latex agglutination assay using ternary copolymeric diazo latex immunoassay reagent. The results were compared with those of PCR and virus separation methods.The sensitivities of the three methods were 82.25%, 75% and 55% respectively; the combined sensitivity was 92.5%; higher sensitivities could be obtained by the former two methods within 1~13 days after the onset of disease.
, 百拇医药
Key words Functional group containing N Polymer latex Rapid diagnosis Dengue PCR method
1 引言
疾病的快速、准确诊断是临床治疗的重要依据。随着现代生物技术的发展,许多灵敏性高、特异性强的临床检测手段不断出现,常用的有酶标法(ELISA法)、放射免疫法(RIA)及PCR法等。但这些检测方法的不足之处在于检测时间长、仪器设备昂贵及检测费用高等,不适用于基层医院及人群普查等方面的应用[1]。胶乳凝集试验(LAT)利用抗体(抗原)间特异性的反应及胶体粒子的凝集来检测,具有快速、便宜的特点而广泛应用于临床检测[2]。以往的高分子胶乳载体与抗体(抗原)结合时或为非特异性的物理吸附,或为化学交联但需使用特殊的蛋白质交联剂(如碳化二亚胺等),既不方便又成本较高,其应用受到了限制(见表1)。另一方面这些胶乳在合成时均需加入乳化剂(如十二烷基硫酸钠等)以便于高分子单体的乳液聚合,胶乳表面带有乳化剂会使其表面不“清洁”,而彻底除去它们是极其困难的。这些乳化剂不仅影响蛋白的吸附,还会对蛋白产生破坏使其失去相应的活性,因此这些胶乳制成免疫试剂后其灵敏性较低,不能适应临床快速诊断的快速发展,对蛋白含量低的如病毒等引起的疾病难以准确判断结果[3]。
, 百拇医药
表1 常用胶乳的种类及性能
Table 1 Types and properties of some polymer latices in common use 种类
聚苯乙烯
羧基胶乳
羟基胶乳
磺酸基胶乳
醛基胶乳
组成或
苯乙烯
苯乙烯
苯乙烯
, 百拇医药
丙烯醛
主要原料
苯乙烯
丙烯酸或
丙烯酸
苯乙烯
戊二醛
甲基丙烯酸
羟烷基酯
磺酸钠
苯乙烯
有羧基
有羟基
, 百拇医药
有磺酸基
有醛基
特点
非官能团型
需偶联剂与
需有毒溴
电荷密度大
用于细胞标记
物理吸附
蛋白结合
化氰活化
吸附力大
稳定性差
, 百拇医药
2 含氮功能基高分子胶乳的制备与应用
为适应临床的需要,我们开发研制了新一代含氮功能基高分子胶乳,主要有重氮胶乳、三元共聚重氮胶乳及叠氮羰基胶乳等,并将其制成彩色大粒径胶乳用于细胞标记。经几年来临床使用,取得了良好的效果(见表2)。
表2 含氮功能基高分子胶乳的种类与性能
Table 2 Types and properties of some latices with functional group containing N 胶乳种类
Mr(104)
粒径(nm)
活性基因
交联率
, 百拇医药
稳定性*
清洁性
重氮化聚苯乙烯
2.5-3.0
250±35
-N=NCl
>30%
5个月
不好
三元共聚多官能团
2.2-2.7
150-180
, http://www.100md.com
-N=NCl
>45%
18个月
好
叠氮羰基苯乙烯
2.0-2.5
15±0.64
-COOH,-CON3
>30%
24个月
好
彩色高分子1
, 百拇医药
2.0-2.5
150-180
-COOH,-OH
>90%
12个月
不好
彩色高子2
2.1-2.6
100-150
-COOH,-OH
>60%
12个月
, 百拇医药 不好
彩色高分子
2.0-2.5
2500±40
-CON3
>60%
24个月
好
* 稳定性指标采用4℃保存时间
2.1 重氮化聚苯乙烯胶乳的制备与应用
重氮化聚苯乙烯胶乳具有活性较大的重氮基N+=NCl,无需加入蛋白交联剂[4]。它是由聚苯乙烯胶乳经硝化、氨基化及重氮化后制备而成[4]。自1989年以来已进行了心钠素、肌酸激酶同Ⅰ酶CK-MM和CK-BB、前列腺酸雄性磷酸酶、恶性疟原虫红内期抗原、斯氏狸殖吸虫抗体、血吸虫抗体、肝吸虫抗体、包虫、囊虫、轮状病毒、志贺氏菌和霍乱弧菌等十多种疾病的临床快速诊断,得到了良好的效果,本胶乳的不足之处在于制备工艺复杂,难以掌握,且制备后贮存的稳定性还不高,平均贮存半年即需重新制备,为此我们改进了其制备工艺,研制成了三元共聚重氮胶乳。
, http://www.100md.com
2.2 三元共聚多官能团重氮基胶乳的研究
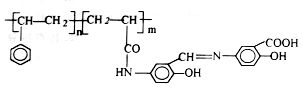
用无乳化剂乳液聚合法,以St、AA和HPMA(甲基丙烯酸-2-羟基丙酯)为原料,制取St-HPMA-AA共聚胶乳,再经硝化、氨基化、重氮化后成为三元共聚重氮基胶乳[5],这种乳胶的结构式如下:
图1 三元共聚重氮胶乳化学结构
Fig 1 The structure of ternary copolymer diazo latex
经IR测定其氨基前躯物表明胶乳微球有羟基和羧基,元素分析结果含氮量为0.083%(计算值0.092%),这种胶乳具有活性大的重氮基以及亲水性羧基及羟基,具备原来重氮化聚苯乙烯乳胶的优点,并且增加了稳定性,乳粒表面“清洁”,可避免非特异性吸附,不需偶联剂而在温和条件下与蛋白结合,是一种性能优良的免疫载体[6]。以三元共聚重氮基胶乳为载体,我们研制了登革病毒特异性免疫试剂[7,8]并用来检测登革病毒,4个型的登革抗体致敏胶乳后,分别与12种虫媒病毒的鼠脑悬液进行玻片凝集试验,结果4种胶乳免疫试剂在登革病毒1~4型间交叉明显,对登革病毒以外的其它黄病毒及甲属披膜和布尼安病毒科成员无明显交叉反应,说明免疫试剂特异性好,能在4 min出现结果,30 min内无自凝,操作快速简便,对40例登革病人急性期血清标本检测:33例呈阳性反应,敏感性为82.25%,其滴度为1∶4~1∶32。18例伤寒病人及10例正常人血清其检测结果均为阴性,敏感性高。用以上免疫试剂检测上述同样例数的血清标本,将LAT和PCR及病毒分离法比较。结果显示:三种方法的检出率分别为82.25%、75%、55%。三种方法的联合检出率为92.5%。乳凝和PCR法在病程的1~13天均具有较高的检出率,而病毒分离法的检出仅限于病程的一周之内。研究表明:用三元共聚重氮胶乳免疫试剂检测临床登革病毒血清标本,具有特异性好、敏感性高、简便、快速等优点,是登革热早期快速诊断的有效方法。此项研究仍在继续深入进行中[9]。
, http://www.100md.com
2.3 叠氮羰基苯乙烯共聚胶乳(叠氮化胶乳的研制)
本胶乳以苯乙烯(St)、丙烯酰胺(AAm)及丙烯酸(AA)为原料,经无乳化剂乳液聚合、酰肼化及叠氮化三步反应合成[10]。该胶乳有亲水羧基,稳定性好;有活性高的叠氮羰基(-CON3),在低温中性条件下不需碳化二亚胺偶联剂即可与蛋白质的氨基以肽键连接,经测定其前躯物St-AAm-AA,乳粒大小均匀。IR检测叠氮化胶乳表明生成了-CON3基。用此乳制成类风湿因子免疫试剂检测20例血清标本,已知阳性血清均出现阳性凝集,而阴性血清则无疑集。此种胶乳微球表面“清洁”,易纯化,无非特异性吸附。胶乳结构式如下:
图2 叠氮羰基高分子胶乳化学结构
Fig 2 The structure of azidocarbonyl latex
, 百拇医药
2.4 含氮彩色胶乳
白色胶乳在作LAT时观察反差不大,为了提高胶乳的灵敏度,我们制备了多种含氮彩色乳胶,将彩色席夫碱还原后与丙烯酸反应以制取彩色单体,然后将此彩色单体与苯乙烯共聚,经透析提纯得到粉红色胶乳[11],其结构式见图3。还制备了另一种彩色胶乳,结构式见图4。将这种胶乳结合抗体(Taen dodium)后检测相应抗原,可检10μg/ml囊虫抗原,有望用于临床诊断。
图3 彩色高分子胶乳1化学结构
Fig 3 The structure of coloured polymer latex
图4 彩色高分子胶乳2化学结构
, 百拇医药
Fig 4 The structure of colourd polymer latex 2
2.5 细胞标记用新型彩色高分子微球
采用无乳化剂乳液聚合法,以苯乙烯、丙烯酰胺、丙烯酸及有机染料为原料,经过共聚、酰肼化和叠氮化合成了叠氮化大粒径彩色高分子微球,讨论了反应机理,研究了pH值、有机溶剂、电解质浓度对微球粒径的影响,根据所加入油溶性染料的不同而显不同的颜色,在光学显微下清晰可辨[12]。包括上述彩色胶乳及此种大粒径微球在内,我们已有红、兰、绿、黄等彩色品种。这种新型彩色微球反应活性大,与细胞结合迅速且无非特异性吸附,与抗体结合后的微球被用来标记细胞表面抗原,其性能优于其它类型的微球。
* 国家自然科学基金资助项目(39270614)和全军八五攻关课题
参考文献
, 百拇医药
[1] 黄培堂.PCR技术的原理及应用.北京:科学技术出版社,1992
[2] 孙宗华.医用高分子微球.生物医学工程学杂志,1992;9(1)∶101
[3] 刘有初,吴道澄,赵小宁.医用高分子化学概论.西安:陕西科学技术出版社,1995∶184
[4] Liu Youchu, Dong Guangjiao, Zhao Yunchi. Preparation of diazotized polystyrence latex and its use in agglutination assays. J Immunol Method 1989; 124(2)∶159
[5] 吴道澄,田小东,刘有初.三元共聚重氮胶乳的研制及其应用.生物医学工程学杂志,1995;12(2)∶101
, 百拇医药
[6] Wu Daocheng, Tian Xiaodong, Liu Youchu et al. The preparation of the ternary copolymer diaotized latex and its immunological diagnosis reagent against Dengue Virus. Wuhan International Symposium of Biomaterial and good Polymer,Wuhan 1994;10
[7] 田小东,刘有初,饶颐年等.登革病毒特异性三元共聚重氮乳胶快速诊断试剂的研究及应用.中华流行病杂志,1994;15(特刊-10)∶183
[8] 田小东,吴道澄,方美玉等.登革病毒抗原和特异性IgM检测在登革早期诊断中的应用.中华流行病杂志,1995;16(特刊1-A)∶112
[9] 田小东,吴道澄,方美玉等.应用重氮乳液试验直接检测病人血清中的登革病毒抗原的研究.中国人兽共患病杂志,1995;11(6)∶23
[10] 赵小宁,吴道澄,刘有初等.细胞标记用大粒径羧化彩色高分子微球的研制.第四军医大学学报,1996,17(4)∶245
[11] 吴道澄,刘有初,赵小宁.新型彩色高分子胶乳的合成.化工新型材料,1993;6∶20
[12] 赵小宁,刘有初,吴道澄.细胞标记用新型彩色高分子微球的研制.生物医学工程学杂志,1994;11(3)∶247
(收稿:1997-06-25 修回:1998-03-16), 百拇医药
单位:吴道澄 刘有初 赵小宁 (第四军医大学 化学教研室,西安 710032);田小东 铙颐年 (广州军区军事医学研究所,广州 510507)
关键词:氮功能基;高分子胶乳;快速诊断;登革热;PCR法
生物医学工程学杂志990101 内容摘要 报告近年来我们研制的含有氮功能基(-NH2、-CON3等)的高分子胶乳载体的制备、性质及其在疾病快速诊断中的应用。即重氮化聚苯乙烯胶乳,三元共聚重氮化胶乳、叠氮胶乳及细胞标记用彩色高分子胶乳。用三元共聚重氮胶乳制备了登革病毒免疫快诊试剂,其检出敏感性达82.3%,且5min即出结果;检测登革热病人急性期血清标本40例;同时与PCR(聚合酶链反应)及病毒分离方法进行比较,结果表明三种方法的联合检出率为92.5%,而胶乳凝集法的敏感性与PCR类似(75%),高于病毒分离方法(55%),但时间仅为PCR法的几十分之一。用叠氮胶乳检测类风湿因子、HCG抗体及登革病毒也取得了较好的检验效果。
, http://www.100md.com
Preparation of Latices with Functional Group Containing N and Their
Application in Rapid Diagnosis of Some Diseases
Wu Daocheng Liu Youchu Zhao Xiaoning
(Department of Chemistry, The Fourth Military Medical University, Xi'an 710032)
Abstract This article reports the preparation and diagnostic application of a variety of latices. These latices, including temary copolymer diazo latex, azidocarbonyl latex and cell labeling latex are stable, monodisperse, soap-free, and covalently combined with protein in the absence of condensing agent.
, 百拇医药
We have improved diazo polystyrene latex and made ternary copolymer diazo latex for early and rapid diagnosis of some diseases. Immunoassay reagent for the dectection of dengue fever has been prepared by our lab using ternary copolymeric diazo latex and azidocarbonyl latex. The experiment showed virus antigen could be detected in 5 mins by using diazo diagnostic agent. The sensitivity of detecting patient serum sample was 82.25%; no-across reaction was observed in other inserted spread virus antigens and in serum of other feverish patient and normal control. 40 serum samples were dectected by latex agglutination assay using ternary copolymeric diazo latex immunoassay reagent. The results were compared with those of PCR and virus separation methods.The sensitivities of the three methods were 82.25%, 75% and 55% respectively; the combined sensitivity was 92.5%; higher sensitivities could be obtained by the former two methods within 1~13 days after the onset of disease.
, 百拇医药
Key words Functional group containing N Polymer latex Rapid diagnosis Dengue PCR method
1 引言
疾病的快速、准确诊断是临床治疗的重要依据。随着现代生物技术的发展,许多灵敏性高、特异性强的临床检测手段不断出现,常用的有酶标法(ELISA法)、放射免疫法(RIA)及PCR法等。但这些检测方法的不足之处在于检测时间长、仪器设备昂贵及检测费用高等,不适用于基层医院及人群普查等方面的应用[1]。胶乳凝集试验(LAT)利用抗体(抗原)间特异性的反应及胶体粒子的凝集来检测,具有快速、便宜的特点而广泛应用于临床检测[2]。以往的高分子胶乳载体与抗体(抗原)结合时或为非特异性的物理吸附,或为化学交联但需使用特殊的蛋白质交联剂(如碳化二亚胺等),既不方便又成本较高,其应用受到了限制(见表1)。另一方面这些胶乳在合成时均需加入乳化剂(如十二烷基硫酸钠等)以便于高分子单体的乳液聚合,胶乳表面带有乳化剂会使其表面不“清洁”,而彻底除去它们是极其困难的。这些乳化剂不仅影响蛋白的吸附,还会对蛋白产生破坏使其失去相应的活性,因此这些胶乳制成免疫试剂后其灵敏性较低,不能适应临床快速诊断的快速发展,对蛋白含量低的如病毒等引起的疾病难以准确判断结果[3]。
, 百拇医药
表1 常用胶乳的种类及性能
Table 1 Types and properties of some polymer latices in common use 种类
聚苯乙烯
羧基胶乳
羟基胶乳
磺酸基胶乳
醛基胶乳
组成或
苯乙烯
苯乙烯
苯乙烯
, 百拇医药
丙烯醛
主要原料
苯乙烯
丙烯酸或
丙烯酸
苯乙烯
戊二醛
甲基丙烯酸
羟烷基酯
磺酸钠
苯乙烯
有羧基
有羟基
, 百拇医药
有磺酸基
有醛基
特点
非官能团型
需偶联剂与
需有毒溴
电荷密度大
用于细胞标记
物理吸附
蛋白结合
化氰活化
吸附力大
稳定性差
, 百拇医药
2 含氮功能基高分子胶乳的制备与应用
为适应临床的需要,我们开发研制了新一代含氮功能基高分子胶乳,主要有重氮胶乳、三元共聚重氮胶乳及叠氮羰基胶乳等,并将其制成彩色大粒径胶乳用于细胞标记。经几年来临床使用,取得了良好的效果(见表2)。
表2 含氮功能基高分子胶乳的种类与性能
Table 2 Types and properties of some latices with functional group containing N 胶乳种类
Mr(104)
粒径(nm)
活性基因
交联率
, 百拇医药
稳定性*
清洁性
重氮化聚苯乙烯
2.5-3.0
250±35
-N=NCl
>30%
5个月
不好
三元共聚多官能团
2.2-2.7
150-180
, http://www.100md.com
-N=NCl
>45%
18个月
好
叠氮羰基苯乙烯
2.0-2.5
15±0.64
-COOH,-CON3
>30%
24个月
好
彩色高分子1
, 百拇医药
2.0-2.5
150-180
-COOH,-OH
>90%
12个月
不好
彩色高子2
2.1-2.6
100-150
-COOH,-OH
>60%
12个月
, 百拇医药 不好
彩色高分子
2.0-2.5
2500±40
-CON3
>60%
24个月
好
* 稳定性指标采用4℃保存时间
2.1 重氮化聚苯乙烯胶乳的制备与应用
重氮化聚苯乙烯胶乳具有活性较大的重氮基N+=NCl,无需加入蛋白交联剂[4]。它是由聚苯乙烯胶乳经硝化、氨基化及重氮化后制备而成[4]。自1989年以来已进行了心钠素、肌酸激酶同Ⅰ酶CK-MM和CK-BB、前列腺酸雄性磷酸酶、恶性疟原虫红内期抗原、斯氏狸殖吸虫抗体、血吸虫抗体、肝吸虫抗体、包虫、囊虫、轮状病毒、志贺氏菌和霍乱弧菌等十多种疾病的临床快速诊断,得到了良好的效果,本胶乳的不足之处在于制备工艺复杂,难以掌握,且制备后贮存的稳定性还不高,平均贮存半年即需重新制备,为此我们改进了其制备工艺,研制成了三元共聚重氮胶乳。
, http://www.100md.com
2.2 三元共聚多官能团重氮基胶乳的研究
用无乳化剂乳液聚合法,以St、AA和HPMA(甲基丙烯酸-2-羟基丙酯)为原料,制取St-HPMA-AA共聚胶乳,再经硝化、氨基化、重氮化后成为三元共聚重氮基胶乳[5],这种乳胶的结构式如下:
图1 三元共聚重氮胶乳化学结构
Fig 1 The structure of ternary copolymer diazo latex
经IR测定其氨基前躯物表明胶乳微球有羟基和羧基,元素分析结果含氮量为0.083%(计算值0.092%),这种胶乳具有活性大的重氮基以及亲水性羧基及羟基,具备原来重氮化聚苯乙烯乳胶的优点,并且增加了稳定性,乳粒表面“清洁”,可避免非特异性吸附,不需偶联剂而在温和条件下与蛋白结合,是一种性能优良的免疫载体[6]。以三元共聚重氮基胶乳为载体,我们研制了登革病毒特异性免疫试剂[7,8]并用来检测登革病毒,4个型的登革抗体致敏胶乳后,分别与12种虫媒病毒的鼠脑悬液进行玻片凝集试验,结果4种胶乳免疫试剂在登革病毒1~4型间交叉明显,对登革病毒以外的其它黄病毒及甲属披膜和布尼安病毒科成员无明显交叉反应,说明免疫试剂特异性好,能在4 min出现结果,30 min内无自凝,操作快速简便,对40例登革病人急性期血清标本检测:33例呈阳性反应,敏感性为82.25%,其滴度为1∶4~1∶32。18例伤寒病人及10例正常人血清其检测结果均为阴性,敏感性高。用以上免疫试剂检测上述同样例数的血清标本,将LAT和PCR及病毒分离法比较。结果显示:三种方法的检出率分别为82.25%、75%、55%。三种方法的联合检出率为92.5%。乳凝和PCR法在病程的1~13天均具有较高的检出率,而病毒分离法的检出仅限于病程的一周之内。研究表明:用三元共聚重氮胶乳免疫试剂检测临床登革病毒血清标本,具有特异性好、敏感性高、简便、快速等优点,是登革热早期快速诊断的有效方法。此项研究仍在继续深入进行中[9]。
, http://www.100md.com
2.3 叠氮羰基苯乙烯共聚胶乳(叠氮化胶乳的研制)
本胶乳以苯乙烯(St)、丙烯酰胺(AAm)及丙烯酸(AA)为原料,经无乳化剂乳液聚合、酰肼化及叠氮化三步反应合成[10]。该胶乳有亲水羧基,稳定性好;有活性高的叠氮羰基(-CON3),在低温中性条件下不需碳化二亚胺偶联剂即可与蛋白质的氨基以肽键连接,经测定其前躯物St-AAm-AA,乳粒大小均匀。IR检测叠氮化胶乳表明生成了-CON3基。用此乳制成类风湿因子免疫试剂检测20例血清标本,已知阳性血清均出现阳性凝集,而阴性血清则无疑集。此种胶乳微球表面“清洁”,易纯化,无非特异性吸附。胶乳结构式如下:
图2 叠氮羰基高分子胶乳化学结构
Fig 2 The structure of azidocarbonyl latex
, 百拇医药
2.4 含氮彩色胶乳
白色胶乳在作LAT时观察反差不大,为了提高胶乳的灵敏度,我们制备了多种含氮彩色乳胶,将彩色席夫碱还原后与丙烯酸反应以制取彩色单体,然后将此彩色单体与苯乙烯共聚,经透析提纯得到粉红色胶乳[11],其结构式见图3。还制备了另一种彩色胶乳,结构式见图4。将这种胶乳结合抗体(Taen dodium)后检测相应抗原,可检10μg/ml囊虫抗原,有望用于临床诊断。
图3 彩色高分子胶乳1化学结构
Fig 3 The structure of coloured polymer latex
图4 彩色高分子胶乳2化学结构
, 百拇医药
Fig 4 The structure of colourd polymer latex 2
2.5 细胞标记用新型彩色高分子微球
采用无乳化剂乳液聚合法,以苯乙烯、丙烯酰胺、丙烯酸及有机染料为原料,经过共聚、酰肼化和叠氮化合成了叠氮化大粒径彩色高分子微球,讨论了反应机理,研究了pH值、有机溶剂、电解质浓度对微球粒径的影响,根据所加入油溶性染料的不同而显不同的颜色,在光学显微下清晰可辨[12]。包括上述彩色胶乳及此种大粒径微球在内,我们已有红、兰、绿、黄等彩色品种。这种新型彩色微球反应活性大,与细胞结合迅速且无非特异性吸附,与抗体结合后的微球被用来标记细胞表面抗原,其性能优于其它类型的微球。
* 国家自然科学基金资助项目(39270614)和全军八五攻关课题
参考文献
, 百拇医药
[1] 黄培堂.PCR技术的原理及应用.北京:科学技术出版社,1992
[2] 孙宗华.医用高分子微球.生物医学工程学杂志,1992;9(1)∶101
[3] 刘有初,吴道澄,赵小宁.医用高分子化学概论.西安:陕西科学技术出版社,1995∶184
[4] Liu Youchu, Dong Guangjiao, Zhao Yunchi. Preparation of diazotized polystyrence latex and its use in agglutination assays. J Immunol Method 1989; 124(2)∶159
[5] 吴道澄,田小东,刘有初.三元共聚重氮胶乳的研制及其应用.生物医学工程学杂志,1995;12(2)∶101
, 百拇医药
[6] Wu Daocheng, Tian Xiaodong, Liu Youchu et al. The preparation of the ternary copolymer diaotized latex and its immunological diagnosis reagent against Dengue Virus. Wuhan International Symposium of Biomaterial and good Polymer,Wuhan 1994;10
[7] 田小东,刘有初,饶颐年等.登革病毒特异性三元共聚重氮乳胶快速诊断试剂的研究及应用.中华流行病杂志,1994;15(特刊-10)∶183
[8] 田小东,吴道澄,方美玉等.登革病毒抗原和特异性IgM检测在登革早期诊断中的应用.中华流行病杂志,1995;16(特刊1-A)∶112
[9] 田小东,吴道澄,方美玉等.应用重氮乳液试验直接检测病人血清中的登革病毒抗原的研究.中国人兽共患病杂志,1995;11(6)∶23
[10] 赵小宁,吴道澄,刘有初等.细胞标记用大粒径羧化彩色高分子微球的研制.第四军医大学学报,1996,17(4)∶245
[11] 吴道澄,刘有初,赵小宁.新型彩色高分子胶乳的合成.化工新型材料,1993;6∶20
[12] 赵小宁,刘有初,吴道澄.细胞标记用新型彩色高分子微球的研制.生物医学工程学杂志,1994;11(3)∶247
(收稿:1997-06-25 修回:1998-03-16), 百拇医药