基于多分辨分析的食道动态pH监测信号去噪算法
作者:王 磊 郑崇勋 原峻峰 宋 磊
单位:西安交通大学 生物医学工程研究所,西安 710049
关键词:动态食道pH监测;多分辨分析;数字信号处理;去噪算法
生物医学工程学杂志990320 摘要 首次提出基于多分辨分析去除食道动态pH监 测信号中常见噪声的算法。文章首先从实验入手对监测信号进行分析,然后结合分析结果依 据基于离散二进小波变换的多分辨分析给出合适的去噪算法,最后通过对临床数据的处理表 明本算法具有较好的去噪效果。
Multiresolution Analysis Based Denoising Algorithm for
Dynamic Esophageal pH Monitoring Signal
, 百拇医药
Wang Lei Zheng Chongxun Yuan Junfeng Song Lei
(Biomedical Engineering Institute,Xi'an Jiaotong University, Xi'an 710 049)
Abstract A denoising algorithm for dynamic esoph ageal pH monitoring signal is first introduced in this paper. The algorithm was developed on the basis of multiresolution analysis. The pH monitoring signal was investigated in experiments, then the algorithm was formulated by multiresoluti on analysis based on discrete dyadic wavelet transform combining with the result s of the investigation mentioned above. Application of this algorithm to clinica l data processing has proved its satisfactory denoising effect.
, http://www.100md.com
Key words Dynamic esophageal pH monitoring Multiresol ution analysis Digital signal processing Denoising algorithm
1 监测信号噪声的来源
食道动态pH监测可作为判断胃食道返流的“金标准”[1],监测系统借助 传感器和便携式记录器,对患者食道的pH进行长时间(如24 h)的动态监测,然后将记录器内 的数据传输至计算机进行分析。传感器由测量电极和参比电极组成,测量电极一般选用结构 简单、精度较高、成本低的锑电极。根据参比电极的不同可将传感器分为外参比式和内参比 式两种,前者的参比电极为体表贴片电极,在监测过程中贴于体表的合适位置(如胸骨柄处 体表);后者则是将参比电极与测量电极集成在传感器导管上置于患者食道内,参比电极可 选用柔性Ag-AgCl电极管。在监测过程中会不可避免的引入如下几种噪声:
, http://www.100md.com
记录器电噪声。由于空间杂散电磁场能从传感器和电路部分耦合入信号通道,且在模拟电路 处理后仍有一定残留并形成噪声。该噪声可认为是平稳白噪声,同时由于pH传感器所获得的 电信号较强(数百毫伏),其影响较小。
传感器偶然脱离食道内容物而引起的散点噪声。在监测过程中传感器导管是置于食道内的, 因此当出现电极头脱离食道内容物时会引起测量回路的空载,导致信号迭加上散点状的干扰 噪声,由于目前临床上将食道pH<4判断为发生胃食道返流,故这种噪声的出现将直接导致 错误的诊断。
外参比式传感器引入的皮肤-粘膜低频漂移噪声[1,2]。由于内参比式传感的成本 高、对保存和运输的要求高、尚无完善的消毒措施等原因,目前临床上广泛使用的仍为外参 比式传感器。然而,因为其参比电极是皮肤贴片电极,相当于在测量回路内串联了皮肤和食 道粘膜等人体组织,故皮肤电位和跨食道粘膜电位的波动会引入噪声,由于该噪声随人体和 环境而变化,较难定量描述,但实验表明有相当比例的食道动态监测信号出现至少是短时期 的监测失效(指噪声引起的测量误差折合0.5pH以上)。
, http://www.100md.com
图1所示为一例搀杂有上述噪声的食道动态pH监测信号,可以看出在许多测量过程中极易引 入的高斯白噪声,对食道动态pH监测信号的影响并不大。
图1 具有上述噪声的食道动态pH监测信号
Fig 1 Noised dynamic esophageal pH monitorying signal
2 监测信号和噪声的实验分析
我们通过模拟实验来分析散点噪声:将传感器置于装有pH=4缓冲液的试管内静置 1 min,然后在缓冲液中摇动传感器3 min,之后搅动缓冲液约4 min,接着将传感器不断提 出/放入试管4 min,最后恢复初始状态。实验表明散点噪声的分布密度与摇动、晃动的程度 有关,同时也能观察到低幅的记录器电噪声(见图2)。
, http://www.100md.com
图2 测量回路空载导致的散点噪声
Fig 2 Pulse-noise led by the idler of measure loop
在进行外参比食道动态pH监测时,由于外力作用、汗腺分泌、贴片电极与皮 肤的离子交换、粘膜所处生理状态的变化等因素,皮肤电位和跨食道粘膜电位在监测过程中 是不断波动的,我们对此做了大量实验,篇幅所限不能一一列举,这些实验的结果表明电位 波动的特点是低频漂移夹杂局部扰动,漂移幅值最大可达50 mV左右(约折合1pH),正、负 向漂移均存在,但以正向为多,漂移周期一般在几十分钟。图3为动态监测内、外参比电极 之间电位差的波形片段(图中的阶跃变化由A/D量化误差造成)。
图3 动态监测内、外参比电极之间电位差的波形片段
, http://www.100md.com
Fig 3 Potential difference between inner-reference and outer-r eference electrode during dynamic monitoring
食道动态pH内、外参比同步监测的实验表明,正常食道pH在5~7之间波动, 波动的波幅较小且持续期比漂移噪声长。胃食道返流波一般由较陡的下降沿(返酸过程)和相 对较缓的上升沿(廓酸过程)组成,持续时间以1~10 min之间较多,极小值在pH=2.5左右(即 比胃内的pH稍高),胃食道返流波表现的是胃内容物返流入食道及食道廓酸机制将胃内容物 从食道中廓清这一生理过程,从生理角度上分析,胃内容物返流入食道的时间较短,即食道 pH会很快由正常生理值(pH=6左右)下降至胃内容物的pH,而之后发生的廓酸过程则持续期较 长,并且由于个体差异导致持续期的变化很大。另外在监测信号中还有可能存在较少见的十 二指肠胃食道返流[1],表现为食道pH向碱性漂移(最大可达pH=8左右),其持续期 与正常食道pH波动类似。
, 百拇医药
3 多分辨分析理论及去噪算法
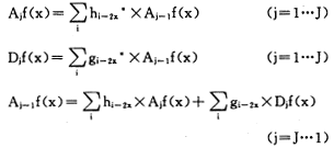
基于离散二进小波变换的多分辨分析具有在时、频域内均能将信号很好的分解及 重构的优点[3~5]。设{Vj}是一给定的多分辨分析,s和w分别为相应的尺 度和小波函数,再设观测到的实际信号f具有有限的分辨率,即f∈V0,则存在如下小波变 换分解与重构的迭代方程,其中A0f(x)=f(x),h(n)=-1(u),s(u-n)>称为由尺 度 函数和小波函数构成的滤波器的脉冲响应;g(n)=-1(u),s(u-n)>称为h(n)的镜像 滤波器;h(n)与h*(n)互为共轭转置。
Ajf(x)和Djf(x)可理解为在j尺度上的连续逼近和连续细节,f被分解为 频率不超过2-j的成分和介于2-j与2-j+1之间的成分,这相当于通过带 通滤波器组将信号在不同频率通道上展开,且频率越高频带越宽。另外,若w具有对称支集 [K,-K],则尺度-空间平面上的锥|x-x0|≤K×2j叫作X0的影响锥,锥内点 的小波变换值都受到f(x0)的影响[4]。
, 百拇医药
我们对监测信号进行多分辨分析,发现经实验证实的胃食道返流波、噪声等波形片段的特异 性在多分辨分析中有如下体现:散点噪声一般在j=1…4尺度上的连续细节幅值较为明显,且 随尺度的增大而衰减,在j>4尺度上已基本衰减为0;胃食道返流波在j=3…8尺度上的连续 细节明显,同时由于胃食道返流波的组成频率成分较多,其在这几个尺度上的连续细节幅值 都 较大,传播性较好;漂移噪声的连续细节则主要集中在j=8…10等几个尺度上,漂移噪声的 频带较窄,因而连续细节幅值的传播性也较差;正常食道pH波动及十二指肠胃食道返流波则 主要反映在j=10尺度的连续逼近上。
综上所述,我们提出如下去噪算法(Denoising algorithm):对食道动态pH监测信号以1 Hz 采样,每5点做算术平均,得到采样率为0.2 Hz的信号;对该信号进行j=1…10尺度上的多 分辨分析(Multiresolution),并求出各尺度上连续细节的小波变换模极大值;对模极大值 预 处理,删除绝对值小于阈值G的模极大值,然后对于j=4…7尺度上的每一个模极大值,双向 搜索影响锥内的其它模极大值并记录其幅值(若幅值小于阈值A则以0表示)和位置;据此确定 该影响锥内模极大值的传播特性和门陷函数的相位与宽度;然后判断该影响锥内模极大值对 应着胃食道返流波/噪声,并由构造出的门陷函数对影响锥内的连续细节予以留/删;最后根 据处理后的连续细节和Ajf(x)重构去噪信号(Snr of denolsing signal)。
, 百拇医药
下面简析去噪算法:(1)理论上可证明多分辨分析的分解、重构过程可完 全复原信号,但由于实际信号的有限持续期和有限精度以及多分辨分析的物理可实现性等, 复原信号有一定的失真,且随J的增大,失真也渐渐增大,计算表明J=10时复原信号的信噪 比在35~40 dB左右,可以满足去噪要求;(2)由于食道pH监测信号在正常 生理条件下变化缓慢,故0.2 Hz的采 样率不会造成信号有效频率成分的丢失[1];(3)监测信号的持续 期为24 h,采样后 的数据长度N为214点左右,这样的数据量使信号在较大尺度上(如j=10)的分解成为可 行,同时在边界上采用对称延拓的算法;(4)采用不断修正影响锥中心位 置的方法来搜索模极大值,即当找到其它尺度上的模极大值后,以该模极大值的位置做为下 一次搜索的中心( 若未找到则中心位置不变),其优点是避免了搜索过程中相近的模极大值导致中心位置的偏 差;(5)K值的设定以能在j>1尺度上(j=1尺度上的模极大值主要由噪声控 制)将两相邻的模 极大值分开为准。G值选择过大会将有效的模极大值除掉,过小则起不到减少运算量的作用 。A值是下标为J的一维数组,取值以能将对应于胃食道返流和噪声的模极大值分开为准。
, 百拇医药
4 去噪效果(Denoising effect)
我们定义信噪比snr=10×lg{∑[s(i)]2/∑[s(i)-sn(i)]2},其中:s(i)为原 信号;sn(i)为加噪信号(snr of noising signal)。(1)s(i)为具有典型 胃食道返流波的内参比食道动态pH监测信号,sn(i)由其搀杂前述散点噪声和漂移噪声构成 ;(2)s(i)为临床食道 动态pH内、外参比同步监测中去除散点噪声的内参比监测信号,sn(i)为外参比监测信号。 分别对上述sn(i)去噪,效果见表1。
表1 对信号1、2的去噪效果
Table 1 Denoising effects on Signals 1 and 2 Description
snr of noising
, 百拇医药
signal
snr of denoising
signal
Denoising
effect
Signal 1
23.2 dB
29.4 dB
6.2 dB
Signal 2
24.5 dB
30.2 dB
, 百拇医药
5.7 dB
我们对图1所示的监测信号进行去噪处理,图4所示为去噪后的信号:
图4 对图1结果的监测信号去噪
Fig 4 Result of denoising the signal shown in Fig 1
最后我们给出几种去噪算法的比较,s(i)与sn(i)选用前述信号1,均值滤波(Me an-filtering)做10点平滑;中值滤波(Median-filtering)窗口为36点;带通滤波(Bandpa ss-filtering)器选用通带为1/500Hz-1/40Hz的256阶Butterworth滤波器(见表2)。
表2 几种算法去噪效果的比较
, http://www.100md.com
Table 2 The denoising effects of several algorithms Denoising
Algorithm
Mean-
filtering
Median-
filtering
Bandpass
filtering
Multiresolution
effects
0.8 dB
, http://www.100md.com
1.9 dB
2.5 dB
6.2 dB
5 讨论和结论
实验表明,皮肤打磨,则由皮肤形成的漂移噪声会下降。但由于皮肤打磨会给患 者带来痛苦,且打磨的标准不易确定,若打磨不当会引起皮肤感染,故打磨皮肤的方法尚未 在临床上广泛应用;另外,我们发现去除餐期的监测信号可改善分析效果,这是因为在进餐 和餐后时段,由于吞咽等影响,使食道粘膜电位发生一定变化,如饮水后可能产生食道pH降 低的伪差,而去除餐期则消除了这些影响,但因为餐期不好定义,且对餐期的去除影响到一 些有意义的统计量(如食道pH均值),故实现起来有一定的限制。上述讨论也说明了对食道动 态pH监测信号在信号处理角度上进行去噪的必要性。
因为监测信号中各波形片段的频带比较集中,要求多分辨分析的频域分辨率高,我们对同阶 的基于多项式样条函数、基于B样条函数和具有有限支集等三种常用小波基函数(基函数的构 造方法由文献[3~5]给出)的频率特性进行分析,结果表明基于多项式样条的小 波基函数具有最好的频域分辨率,同时该小波基函数是规范、直交的,具有对称支集特性 。但由它生成的滤器h(n)具有无限脉冲响应,必须将其截取为有限项,且截取项数过多或过 少均会导致重构信号的失真增大,计算表明截取前12项(见表3)的效果比较好。另外,我们 的 分析表明多项式样条函数的阶数对多分辨分析的频域分辨率影响不太大(见表4),为简单计 算,我们选择三阶的多项式样条函数。
, http://www.100md.com
表3 h(n)的前12项
Table 3 The first 12 items of h(n) h1
h2
h3
h4
h5
h6
h7
h8
h9
h10
h11
, 百拇医药 h12
0.542
0.307
-0.35
-0.78
0.023
-0.30
0.012
-0 .13
0.006
0.006
-0.003
-0.002
, 百拇医药
表4 3dB带宽内的正弦波周期范围(点)
Table 4 Periods of sinusoid within 3dB bandwidth(dot) j
Order 3
Order 5
Order 7
Order 9
1
2-4
2-5
2-5
2-6
, 百拇医药
2
4-14
5-17
6-19
6-22
3
9-31
12-33
14-38
15-42
4
19-62
25-71
, http://www.100md.com
28-83
31-83
5
38-125
50-167
56-167
63-167
交替投影法是通过对小波变换模极大值的逐次迭代重构信号的常用算法[5],但其缺点是运算量较大,一般需要20次以上的迭代才能保证重构精度,而我们算法的 重构部分的运算量为O(N×log2/N),不及交替投影法的1/20,且计算表明重构精度与交替 投影法基本持平。
我们在对食道动态pH监测信号深入分析的基础上,提出了基于多分辨分析的去噪算法,本算 法属于非线性算法,其实验与理论基础明确,很好的利用了监测信号的先验知识,去噪效果 明显优于其它几种算法。但需要指出的是,由于生理意义的多样性和个体间的差异性,精确 描述胃食道返流波与噪声的时/频域特征是很困难的,因此算法的设计(如阈值的设定)必然 带有一定的主观性。
, http://www.100md.com
最后,我们认为,一方面可以在构造更好的小波基函数、采用更合理的算法(如自适应算法)设定算法中阈值等方面优化去噪算法,但坦言之这些优化对提高去噪效果已经颇为有限了;而另一方面,监测方法的改善对提高信号质量起到越来越重要的地位,如对新型体表贴片电极的研制(减少由皮肤电位引起的漂移)和对测量电极结构的改良(减少测量回路空载)等,这些研发工作正在进行之中。 参考文献
1 Baldi F,Demeester TR,Dent J et al. Technical aspects of intraluminal pH-metry in man:current status and recommendations. Gut,1987;28∶1177
2 John MW, Donald O Castell. Exclusion of meal periods from ambulatory 24-hour pH monitoring may improve diagnosis of esophageal acid reflux. Digestive Diseases and Sciences, 1994;39(8)∶1601
, http://www.100md.com
3 Ingrid Daubechies. The wavelet transform, time-frequency localization and signal analysis. IEEE Trans on Information Theory,1990;36∶961
4 Stephane G. Mallat. A theory for multiresolution signal decomposition:the wavelet representation. IEEE Trans on Pattern Analysis and Machine Intelligence, 1989;11∶674
5 Stephane Mallat. Singularity detection and processing with wavelets. IEEE Trans on Information Theory,1992;138∶617
(收稿:1998-05-20), 百拇医药
单位:西安交通大学 生物医学工程研究所,西安 710049
关键词:动态食道pH监测;多分辨分析;数字信号处理;去噪算法
生物医学工程学杂志990320 摘要 首次提出基于多分辨分析去除食道动态pH监 测信号中常见噪声的算法。文章首先从实验入手对监测信号进行分析,然后结合分析结果依 据基于离散二进小波变换的多分辨分析给出合适的去噪算法,最后通过对临床数据的处理表 明本算法具有较好的去噪效果。
Multiresolution Analysis Based Denoising Algorithm for
Dynamic Esophageal pH Monitoring Signal
, 百拇医药
Wang Lei Zheng Chongxun Yuan Junfeng Song Lei
(Biomedical Engineering Institute,Xi'an Jiaotong University, Xi'an 710 049)
Abstract A denoising algorithm for dynamic esoph ageal pH monitoring signal is first introduced in this paper. The algorithm was developed on the basis of multiresolution analysis. The pH monitoring signal was investigated in experiments, then the algorithm was formulated by multiresoluti on analysis based on discrete dyadic wavelet transform combining with the result s of the investigation mentioned above. Application of this algorithm to clinica l data processing has proved its satisfactory denoising effect.
, http://www.100md.com
Key words Dynamic esophageal pH monitoring Multiresol ution analysis Digital signal processing Denoising algorithm
1 监测信号噪声的来源
食道动态pH监测可作为判断胃食道返流的“金标准”[1],监测系统借助 传感器和便携式记录器,对患者食道的pH进行长时间(如24 h)的动态监测,然后将记录器内 的数据传输至计算机进行分析。传感器由测量电极和参比电极组成,测量电极一般选用结构 简单、精度较高、成本低的锑电极。根据参比电极的不同可将传感器分为外参比式和内参比 式两种,前者的参比电极为体表贴片电极,在监测过程中贴于体表的合适位置(如胸骨柄处 体表);后者则是将参比电极与测量电极集成在传感器导管上置于患者食道内,参比电极可 选用柔性Ag-AgCl电极管。在监测过程中会不可避免的引入如下几种噪声:
, http://www.100md.com
记录器电噪声。由于空间杂散电磁场能从传感器和电路部分耦合入信号通道,且在模拟电路 处理后仍有一定残留并形成噪声。该噪声可认为是平稳白噪声,同时由于pH传感器所获得的 电信号较强(数百毫伏),其影响较小。
传感器偶然脱离食道内容物而引起的散点噪声。在监测过程中传感器导管是置于食道内的, 因此当出现电极头脱离食道内容物时会引起测量回路的空载,导致信号迭加上散点状的干扰 噪声,由于目前临床上将食道pH<4判断为发生胃食道返流,故这种噪声的出现将直接导致 错误的诊断。
外参比式传感器引入的皮肤-粘膜低频漂移噪声[1,2]。由于内参比式传感的成本 高、对保存和运输的要求高、尚无完善的消毒措施等原因,目前临床上广泛使用的仍为外参 比式传感器。然而,因为其参比电极是皮肤贴片电极,相当于在测量回路内串联了皮肤和食 道粘膜等人体组织,故皮肤电位和跨食道粘膜电位的波动会引入噪声,由于该噪声随人体和 环境而变化,较难定量描述,但实验表明有相当比例的食道动态监测信号出现至少是短时期 的监测失效(指噪声引起的测量误差折合0.5pH以上)。
, http://www.100md.com
图1所示为一例搀杂有上述噪声的食道动态pH监测信号,可以看出在许多测量过程中极易引 入的高斯白噪声,对食道动态pH监测信号的影响并不大。
图1 具有上述噪声的食道动态pH监测信号
Fig 1 Noised dynamic esophageal pH monitorying signal
2 监测信号和噪声的实验分析
我们通过模拟实验来分析散点噪声:将传感器置于装有pH=4缓冲液的试管内静置 1 min,然后在缓冲液中摇动传感器3 min,之后搅动缓冲液约4 min,接着将传感器不断提 出/放入试管4 min,最后恢复初始状态。实验表明散点噪声的分布密度与摇动、晃动的程度 有关,同时也能观察到低幅的记录器电噪声(见图2)。
, http://www.100md.com
图2 测量回路空载导致的散点噪声
Fig 2 Pulse-noise led by the idler of measure loop
在进行外参比食道动态pH监测时,由于外力作用、汗腺分泌、贴片电极与皮 肤的离子交换、粘膜所处生理状态的变化等因素,皮肤电位和跨食道粘膜电位在监测过程中 是不断波动的,我们对此做了大量实验,篇幅所限不能一一列举,这些实验的结果表明电位 波动的特点是低频漂移夹杂局部扰动,漂移幅值最大可达50 mV左右(约折合1pH),正、负 向漂移均存在,但以正向为多,漂移周期一般在几十分钟。图3为动态监测内、外参比电极 之间电位差的波形片段(图中的阶跃变化由A/D量化误差造成)。
图3 动态监测内、外参比电极之间电位差的波形片段
, http://www.100md.com
Fig 3 Potential difference between inner-reference and outer-r eference electrode during dynamic monitoring
食道动态pH内、外参比同步监测的实验表明,正常食道pH在5~7之间波动, 波动的波幅较小且持续期比漂移噪声长。胃食道返流波一般由较陡的下降沿(返酸过程)和相 对较缓的上升沿(廓酸过程)组成,持续时间以1~10 min之间较多,极小值在pH=2.5左右(即 比胃内的pH稍高),胃食道返流波表现的是胃内容物返流入食道及食道廓酸机制将胃内容物 从食道中廓清这一生理过程,从生理角度上分析,胃内容物返流入食道的时间较短,即食道 pH会很快由正常生理值(pH=6左右)下降至胃内容物的pH,而之后发生的廓酸过程则持续期较 长,并且由于个体差异导致持续期的变化很大。另外在监测信号中还有可能存在较少见的十 二指肠胃食道返流[1],表现为食道pH向碱性漂移(最大可达pH=8左右),其持续期 与正常食道pH波动类似。
, 百拇医药
3 多分辨分析理论及去噪算法
基于离散二进小波变换的多分辨分析具有在时、频域内均能将信号很好的分解及 重构的优点[3~5]。设{Vj}是一给定的多分辨分析,s和w分别为相应的尺 度和小波函数,再设观测到的实际信号f具有有限的分辨率,即f∈V0,则存在如下小波变 换分解与重构的迭代方程,其中A0f(x)=f(x),h(n)=
Ajf(x)和Djf(x)可理解为在j尺度上的连续逼近和连续细节,f被分解为 频率不超过2-j的成分和介于2-j与2-j+1之间的成分,这相当于通过带 通滤波器组将信号在不同频率通道上展开,且频率越高频带越宽。另外,若w具有对称支集 [K,-K],则尺度-空间平面上的锥|x-x0|≤K×2j叫作X0的影响锥,锥内点 的小波变换值都受到f(x0)的影响[4]。
, 百拇医药
我们对监测信号进行多分辨分析,发现经实验证实的胃食道返流波、噪声等波形片段的特异 性在多分辨分析中有如下体现:散点噪声一般在j=1…4尺度上的连续细节幅值较为明显,且 随尺度的增大而衰减,在j>4尺度上已基本衰减为0;胃食道返流波在j=3…8尺度上的连续 细节明显,同时由于胃食道返流波的组成频率成分较多,其在这几个尺度上的连续细节幅值 都 较大,传播性较好;漂移噪声的连续细节则主要集中在j=8…10等几个尺度上,漂移噪声的 频带较窄,因而连续细节幅值的传播性也较差;正常食道pH波动及十二指肠胃食道返流波则 主要反映在j=10尺度的连续逼近上。
综上所述,我们提出如下去噪算法(Denoising algorithm):对食道动态pH监测信号以1 Hz 采样,每5点做算术平均,得到采样率为0.2 Hz的信号;对该信号进行j=1…10尺度上的多 分辨分析(Multiresolution),并求出各尺度上连续细节的小波变换模极大值;对模极大值 预 处理,删除绝对值小于阈值G的模极大值,然后对于j=4…7尺度上的每一个模极大值,双向 搜索影响锥内的其它模极大值并记录其幅值(若幅值小于阈值A则以0表示)和位置;据此确定 该影响锥内模极大值的传播特性和门陷函数的相位与宽度;然后判断该影响锥内模极大值对 应着胃食道返流波/噪声,并由构造出的门陷函数对影响锥内的连续细节予以留/删;最后根 据处理后的连续细节和Ajf(x)重构去噪信号(Snr of denolsing signal)。
, 百拇医药
下面简析去噪算法:(1)理论上可证明多分辨分析的分解、重构过程可完 全复原信号,但由于实际信号的有限持续期和有限精度以及多分辨分析的物理可实现性等, 复原信号有一定的失真,且随J的增大,失真也渐渐增大,计算表明J=10时复原信号的信噪 比在35~40 dB左右,可以满足去噪要求;(2)由于食道pH监测信号在正常 生理条件下变化缓慢,故0.2 Hz的采 样率不会造成信号有效频率成分的丢失[1];(3)监测信号的持续 期为24 h,采样后 的数据长度N为214点左右,这样的数据量使信号在较大尺度上(如j=10)的分解成为可 行,同时在边界上采用对称延拓的算法;(4)采用不断修正影响锥中心位 置的方法来搜索模极大值,即当找到其它尺度上的模极大值后,以该模极大值的位置做为下 一次搜索的中心( 若未找到则中心位置不变),其优点是避免了搜索过程中相近的模极大值导致中心位置的偏 差;(5)K值的设定以能在j>1尺度上(j=1尺度上的模极大值主要由噪声控 制)将两相邻的模 极大值分开为准。G值选择过大会将有效的模极大值除掉,过小则起不到减少运算量的作用 。A值是下标为J的一维数组,取值以能将对应于胃食道返流和噪声的模极大值分开为准。
, 百拇医药
4 去噪效果(Denoising effect)
我们定义信噪比snr=10×lg{∑[s(i)]2/∑[s(i)-sn(i)]2},其中:s(i)为原 信号;sn(i)为加噪信号(snr of noising signal)。(1)s(i)为具有典型 胃食道返流波的内参比食道动态pH监测信号,sn(i)由其搀杂前述散点噪声和漂移噪声构成 ;(2)s(i)为临床食道 动态pH内、外参比同步监测中去除散点噪声的内参比监测信号,sn(i)为外参比监测信号。 分别对上述sn(i)去噪,效果见表1。
表1 对信号1、2的去噪效果
Table 1 Denoising effects on Signals 1 and 2 Description
snr of noising
, 百拇医药
signal
snr of denoising
signal
Denoising
effect
Signal 1
23.2 dB
29.4 dB
6.2 dB
Signal 2
24.5 dB
30.2 dB
, 百拇医药
5.7 dB
我们对图1所示的监测信号进行去噪处理,图4所示为去噪后的信号:
图4 对图1结果的监测信号去噪
Fig 4 Result of denoising the signal shown in Fig 1
最后我们给出几种去噪算法的比较,s(i)与sn(i)选用前述信号1,均值滤波(Me an-filtering)做10点平滑;中值滤波(Median-filtering)窗口为36点;带通滤波(Bandpa ss-filtering)器选用通带为1/500Hz-1/40Hz的256阶Butterworth滤波器(见表2)。
表2 几种算法去噪效果的比较
, http://www.100md.com
Table 2 The denoising effects of several algorithms Denoising
Algorithm
Mean-
filtering
Median-
filtering
Bandpass
filtering
Multiresolution
effects
0.8 dB
, http://www.100md.com
1.9 dB
2.5 dB
6.2 dB
5 讨论和结论
实验表明,皮肤打磨,则由皮肤形成的漂移噪声会下降。但由于皮肤打磨会给患 者带来痛苦,且打磨的标准不易确定,若打磨不当会引起皮肤感染,故打磨皮肤的方法尚未 在临床上广泛应用;另外,我们发现去除餐期的监测信号可改善分析效果,这是因为在进餐 和餐后时段,由于吞咽等影响,使食道粘膜电位发生一定变化,如饮水后可能产生食道pH降 低的伪差,而去除餐期则消除了这些影响,但因为餐期不好定义,且对餐期的去除影响到一 些有意义的统计量(如食道pH均值),故实现起来有一定的限制。上述讨论也说明了对食道动 态pH监测信号在信号处理角度上进行去噪的必要性。
因为监测信号中各波形片段的频带比较集中,要求多分辨分析的频域分辨率高,我们对同阶 的基于多项式样条函数、基于B样条函数和具有有限支集等三种常用小波基函数(基函数的构 造方法由文献[3~5]给出)的频率特性进行分析,结果表明基于多项式样条的小 波基函数具有最好的频域分辨率,同时该小波基函数是规范、直交的,具有对称支集特性 。但由它生成的滤器h(n)具有无限脉冲响应,必须将其截取为有限项,且截取项数过多或过 少均会导致重构信号的失真增大,计算表明截取前12项(见表3)的效果比较好。另外,我们 的 分析表明多项式样条函数的阶数对多分辨分析的频域分辨率影响不太大(见表4),为简单计 算,我们选择三阶的多项式样条函数。
, http://www.100md.com
表3 h(n)的前12项
Table 3 The first 12 items of h(n) h1
h2
h3
h4
h5
h6
h7
h8
h9
h10
h11
, 百拇医药 h12
0.542
0.307
-0.35
-0.78
0.023
-0.30
0.012
-0 .13
0.006
0.006
-0.003
-0.002
, 百拇医药
表4 3dB带宽内的正弦波周期范围(点)
Table 4 Periods of sinusoid within 3dB bandwidth(dot) j
Order 3
Order 5
Order 7
Order 9
1
2-4
2-5
2-5
2-6
, 百拇医药
2
4-14
5-17
6-19
6-22
3
9-31
12-33
14-38
15-42
4
19-62
25-71
, http://www.100md.com
28-83
31-83
5
38-125
50-167
56-167
63-167
交替投影法是通过对小波变换模极大值的逐次迭代重构信号的常用算法[5],但其缺点是运算量较大,一般需要20次以上的迭代才能保证重构精度,而我们算法的 重构部分的运算量为O(N×log2/N),不及交替投影法的1/20,且计算表明重构精度与交替 投影法基本持平。
我们在对食道动态pH监测信号深入分析的基础上,提出了基于多分辨分析的去噪算法,本算 法属于非线性算法,其实验与理论基础明确,很好的利用了监测信号的先验知识,去噪效果 明显优于其它几种算法。但需要指出的是,由于生理意义的多样性和个体间的差异性,精确 描述胃食道返流波与噪声的时/频域特征是很困难的,因此算法的设计(如阈值的设定)必然 带有一定的主观性。
, http://www.100md.com
最后,我们认为,一方面可以在构造更好的小波基函数、采用更合理的算法(如自适应算法)设定算法中阈值等方面优化去噪算法,但坦言之这些优化对提高去噪效果已经颇为有限了;而另一方面,监测方法的改善对提高信号质量起到越来越重要的地位,如对新型体表贴片电极的研制(减少由皮肤电位引起的漂移)和对测量电极结构的改良(减少测量回路空载)等,这些研发工作正在进行之中。 参考文献
1 Baldi F,Demeester TR,Dent J et al. Technical aspects of intraluminal pH-metry in man:current status and recommendations. Gut,1987;28∶1177
2 John MW, Donald O Castell. Exclusion of meal periods from ambulatory 24-hour pH monitoring may improve diagnosis of esophageal acid reflux. Digestive Diseases and Sciences, 1994;39(8)∶1601
, http://www.100md.com
3 Ingrid Daubechies. The wavelet transform, time-frequency localization and signal analysis. IEEE Trans on Information Theory,1990;36∶961
4 Stephane G. Mallat. A theory for multiresolution signal decomposition:the wavelet representation. IEEE Trans on Pattern Analysis and Machine Intelligence, 1989;11∶674
5 Stephane Mallat. Singularity detection and processing with wavelets. IEEE Trans on Information Theory,1992;138∶617
(收稿:1998-05-20), 百拇医药