体感诱发电位检测中经皮电极下电刺激分布模型的研究*
作者:胡 勇 于 杰
单位:(天津大学 精密仪器与光电子工程学院,天津 300072)
关键词:体感诱发电位;经皮电刺激;电场和电流密度场的分布
生物医学工程学杂志990415 摘要 体感诱发电位是检测脊神经和周围神经活动的重要方法,而经皮电刺激是体感诱发电位检测中的常用手段,通过对经皮刺激电极下电势场和电流密度场的分布的研究,可以提高检测的效率与质量。我们采用镜像法,对经皮刺激电极下人体组织中电位场和电流密度场的分布进行了理论的推导,得到了场分布的解析解,以此解析解为基础,就可以得到电极放置位置下场分布的数值解,为临床神经刺激提供理论指导。
A Study on Distribution Modeling of the Electrical Stimulation
, 百拇医药
under Surface Nerve Stimulation
Electrodes for Somatosensory Evoked Potential
Hu Yong Yu Jie
(College of Precision Instrument and Optical Electronic Engineering, Tianjing University, Tianjing 300072)
Abstract The detection of somatosensory evoked potential (SEP) has been an important approach to determining the function of spinal cord and peripheral nerve. Transepidermal Electrical Neuromuscular Stimulation (TENS) on the posterior tibial nerve for SEP is one of the applications and can improve the effectiveness. This paper theoretically studies the distribution of potential field and current density field for human tissue under TENS. A mirror method is used and the analytical solution of the potential distribution is obtained.
, http://www.100md.com
Key words Somatosensory evoked potential Transepidermal Electrical Neuromuscular Stimulation Distribution of potential field and current density field
1 引 言
诱发电位(Evoked potential,EP)是中枢神系统在感受外在或内在刺激过程中产生的生物电活动。诱发电位是继脑电和肌电后,临床神经电生理的第三大进展,对于神经系统疾病的诊断、定位、病程监护,以及神经系统功能的研究都有着极其重要的作用[1,2]。目前,视觉诱发电位(Visual evoked potential, VEP)、脑干听觉诱发电位(Brainstem auditory evoke poteintial, BAEP)和体感诱发电位(Somatosensory evoked potential, SEP)受到了临床医学的普遍重视,发展较快,为评价相应感觉系统传导功能,提供了一种研究手段,同时也有助于疾病的诊断,扩大和加深对某些疾病的认识[1,2]。
, http://www.100md.com
体感诱发电位(SEP)是神经系统高极中枢对外周神经刺激所产生的电反应,代表了中枢神经系统(Central nervous system, CNS)在特定功能状态下的生物电活动的变化,通常采用胫后神经经皮电刺激,使周围神经产生冲动,传导到脊神经后,经脊髓上传到大脑皮层。为达到良好的检测效果,对胫后神经上经皮电极的放置、电极形状、距离、电刺激参数的选择等,都需要进行深入的研究。为了以最小的有效刺激电流,达到最佳的检测效果,需要对刺激电极下人体组织中的电场和电流场分布进行推导,以提供理论根据。已有报导介绍了经皮电神经功能刺激(TENS)下的电流分布,但其中主要采用有限元法对电刺激的特性进行模拟,而人体的各种电参数指标非常复杂,使得边界条件的确定有一定难度,因而有限元法分析的使用受到很大限制,不能很好地研究电刺激的整体分布规律,缺乏临床使用上的价值,为此本文从电磁学的基本原理出发。通过镜像法求解拉普拉斯方程,从而得出电刺激下人体组织中电场分布的解析解,通过叠加得到体感诱发电位检测中经皮双电极刺激下场分布模型,为下肢体感诱发电位检测中电神经刺激的设计与临床应用提供理论基础。
, 百拇医药
2 模拟模型的建立方法
由于人体组织电磁特性的非线性与非均匀性,在不同部位的电刺激下有着不同的场的分布与效应。在体感诱发电位检测中,刺激电极一般放在内踝与根腱后缘之间的中点,如图1所示。由于所刺激的神经处于皮下较浅的位置,而且电极所处位置皮下组织较为简单,结构上相对可以认为是一个平面,我们采用平面分布的电磁场分析方法来模拟这个刺激过程。一般临床采用的电刺激频率为10 Hz以下,不同于交变电磁场中产生的场效应而更加接近静电场,可以认为是一个准静电场过程,在此我们应用静电场的分析方法建立模型。在以静电场看待这一电刺激过程时,人体内的离子流动特别是离子聚积问题是应该予以考虑的,但由于电刺激强度一般在恒压50~100V 或恒流10~40 mA,远远大于体内自身产生的电势场与电流场,建模过程中可以忽略人体内离子流动和离子聚集的影响。
为了得出电刺激下两层组织中电位的解析式,这里采用了电磁学中的镜像法。镜像法是解静电场问题的一种间接方法,把人体组织分层看成是均匀媒质,对于所研究区域,用闭合边界外虚设的较简单的电荷分布代替实际边界上复杂的电荷分布来进行计算。根据唯一性定量,只要虚设的电荷与边界内的实际电荷所产生的电场能满足给定的边界条件,这个结果就是正确的,对于虚设电荷,常常称为镜像电荷,所以这种方法称为镜像法[6~8]。
, 百拇医药
图1 刺激电极摆放位置
Fig 1 Place of the electrode
对于图1所示的刺激模型,我们假定它由三层组织组成:空气层、皮肤与皮下组织、胫后神经纤维组织,分别将其定义为介质1,介质2和介质3,如图2所示。为分析的方便,假设一点电荷位于介质2中距界面1上坐标原点(0,0,0)为d1的位置,待得到解析式后,令d1趋近于零即可得到与实际相似的模拟结果。
图2 人体组织模型
Fig 2 Model of the layers
通过镜像法分析,首先求解拉普拉斯方程:
2φ=0
, http://www.100md.com
在柱坐标下,其边界条件是:
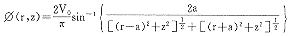
得柱坐标下的解为:

其中:V0为刺激电压;a为电极半径;将柱坐标转换成直角坐标,形式如下:

这样得到了点电荷的电场分布,根据电场的可加性,将此电场分布按照电极面积进行积分,即可得到表面电极下场的分布,然后可以由下式求解人体中的电流密度分布
:
, 百拇医药
其中:σ为介质的电导率。
3 结 果
由图2所示的模型,按照上面介绍的方法,我们对图1所示的胫后神经经皮电刺激分布进行了分析。为了方程表达的方便,设定系数A,B为:
可以推导出介质1中的电位分布系数为:

介质1中电场势为:
推导出介质2中的电位分布系数为:
, 百拇医药
介质2中电场势为:
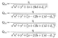
推导出介质3中的电位分布系数为:
介质3中电势场为:
公式中k为镜像电荷的映射次数,经验证三种介质中的电势场满足界面间的边界条件:

由下式可以计算出点电荷下电场分布和电流密度分布:
, 百拇医药
在得到上述解析方程后,我们按照
10 mm的电极面积进行积分,得到经皮刺激电极下电场分布如图3所示,电流密度分布如图4所示。
a.电极放置位置处横截面的电场分布图(即z=0,x、y平面),在x=10,y=0(和x=30,y=0)处,电势值为V0,向外依次是90%V0,80%V0,……的等值线
a. Field distribution of cross section under electrode
b.电极放置位置处纵截面的电场分布图(即y=0,x、z平面),在x=10,z=0(和x=30,z=0)处,电势值为V0,向外依次是90%V0,80%V0,……的等值线。
, http://www.100md.com
b. Field distribution of vertical section under electrode
图3 经皮刺激电极下的电场分布图
Fig 3 Field distribution under electrode
a.电极放置位置处横截面的电流密度分布图(即z=0,x、y平面),在x=10,y=0(和x=30,y=0)处,电流密度值为J0,向外依次是85%J0,70%J0,……的等值线
a. Current intensity distribution of cross section under electrode
, 百拇医药
b. 电极放置位置处的纵截面的电流分布图(即y=0,x、y平面),x=10,z=0(和x=30,z=0)处,电流密度值为J0,向外依次是85%J0,70%J0,……的等值线。
b. Current intensity distribution of vertical section under electrode
图4 经皮刺激电极下的电流密度分布图
Fig 4 Current intensity distribution under electrode
由图3可见,经皮电刺激下的电场分布是不均匀的,在两个电极中心处,电势值是最高的,向外扩展,逐渐降低,而在两个电极连线的中心位置,电势为零。由图4可见,电流密度的分布在电极周围最高,随着到刺激电极的距离的增大而逐渐降低,图4(b)显示,只有10%的刺激电流能够到达皮下10 mm处,而此处与神经纤维所在的位置接近。
, 百拇医药
4 讨 论
我们设计的模拟计算程序,验证了理论推导出来的结果,通过对计算结果的数据进行分析,可以得出如下结论:
(1)垂直深度(即d值)相同的每一层面上,电极处的电位值和电流密度值最大,离电极越远则电位值越小;
(2)不同深度的层面,离电极越近的层面电位值和电流密度值越大;
从临床应用的角度来看,刺激电极应安放在被刺激神经正上方,最好两个电极依神经走向放置。如果不能如此放置,应尽量让一个电极处于被刺激神经的走行上方。
由于实验条件的限制,实际的电场与电流分布是难以测量的,从文献上看,对人体的理论建模大部分还都处于将其看作是单一均匀组织,而实际人体包括许多组织,交叉错落,所以在研究过程中还有许多问题尚待解决,这方面的工作正在继续深入进行中。
, 百拇医药
参考文献
1 Halliday AM. Evoked potentials in clinical testing. Edinburgh: Churchill Livingstone, 1993
2 Roger Q. Cracco, Ivan Bodis-Wollner.Evoked Potentials. New York:Liss, 1986
3 Yan Y, Nunez PL, Hart RT. Finite-element model of the human head:scalp potentials due to dipole sources. Med Biol Eng Comput, 1991; 29(5)∶475
4 Walsh DM, Forst NE, Baxter GD et al. Transcutaneous electrical nerve stimulation: relevance of stimulation parameters to neurophysiological and hypoalgesic effects. Am J Phys Med Rehabil, 1995; 74(3)∶199
5 Panescu D, Webster JG, Stratbucker RA. A nonlinear finite element model of the electrode-electrolyte-skin system. IEEE Trans Biomed Eng, 1994; 41(7)∶681
(收稿:1998-06-10 修回:1998-05-04), 百拇医药
单位:(天津大学 精密仪器与光电子工程学院,天津 300072)
关键词:体感诱发电位;经皮电刺激;电场和电流密度场的分布
生物医学工程学杂志990415 摘要 体感诱发电位是检测脊神经和周围神经活动的重要方法,而经皮电刺激是体感诱发电位检测中的常用手段,通过对经皮刺激电极下电势场和电流密度场的分布的研究,可以提高检测的效率与质量。我们采用镜像法,对经皮刺激电极下人体组织中电位场和电流密度场的分布进行了理论的推导,得到了场分布的解析解,以此解析解为基础,就可以得到电极放置位置下场分布的数值解,为临床神经刺激提供理论指导。
A Study on Distribution Modeling of the Electrical Stimulation
, 百拇医药
under Surface Nerve Stimulation
Electrodes for Somatosensory Evoked Potential
Hu Yong Yu Jie
(College of Precision Instrument and Optical Electronic Engineering, Tianjing University, Tianjing 300072)
Abstract The detection of somatosensory evoked potential (SEP) has been an important approach to determining the function of spinal cord and peripheral nerve. Transepidermal Electrical Neuromuscular Stimulation (TENS) on the posterior tibial nerve for SEP is one of the applications and can improve the effectiveness. This paper theoretically studies the distribution of potential field and current density field for human tissue under TENS. A mirror method is used and the analytical solution of the potential distribution is obtained.
, http://www.100md.com
Key words Somatosensory evoked potential Transepidermal Electrical Neuromuscular Stimulation Distribution of potential field and current density field
1 引 言
诱发电位(Evoked potential,EP)是中枢神系统在感受外在或内在刺激过程中产生的生物电活动。诱发电位是继脑电和肌电后,临床神经电生理的第三大进展,对于神经系统疾病的诊断、定位、病程监护,以及神经系统功能的研究都有着极其重要的作用[1,2]。目前,视觉诱发电位(Visual evoked potential, VEP)、脑干听觉诱发电位(Brainstem auditory evoke poteintial, BAEP)和体感诱发电位(Somatosensory evoked potential, SEP)受到了临床医学的普遍重视,发展较快,为评价相应感觉系统传导功能,提供了一种研究手段,同时也有助于疾病的诊断,扩大和加深对某些疾病的认识[1,2]。
, http://www.100md.com
体感诱发电位(SEP)是神经系统高极中枢对外周神经刺激所产生的电反应,代表了中枢神经系统(Central nervous system, CNS)在特定功能状态下的生物电活动的变化,通常采用胫后神经经皮电刺激,使周围神经产生冲动,传导到脊神经后,经脊髓上传到大脑皮层。为达到良好的检测效果,对胫后神经上经皮电极的放置、电极形状、距离、电刺激参数的选择等,都需要进行深入的研究。为了以最小的有效刺激电流,达到最佳的检测效果,需要对刺激电极下人体组织中的电场和电流场分布进行推导,以提供理论根据。已有报导介绍了经皮电神经功能刺激(TENS)下的电流分布,但其中主要采用有限元法对电刺激的特性进行模拟,而人体的各种电参数指标非常复杂,使得边界条件的确定有一定难度,因而有限元法分析的使用受到很大限制,不能很好地研究电刺激的整体分布规律,缺乏临床使用上的价值,为此本文从电磁学的基本原理出发。通过镜像法求解拉普拉斯方程,从而得出电刺激下人体组织中电场分布的解析解,通过叠加得到体感诱发电位检测中经皮双电极刺激下场分布模型,为下肢体感诱发电位检测中电神经刺激的设计与临床应用提供理论基础。
, 百拇医药
2 模拟模型的建立方法
由于人体组织电磁特性的非线性与非均匀性,在不同部位的电刺激下有着不同的场的分布与效应。在体感诱发电位检测中,刺激电极一般放在内踝与根腱后缘之间的中点,如图1所示。由于所刺激的神经处于皮下较浅的位置,而且电极所处位置皮下组织较为简单,结构上相对可以认为是一个平面,我们采用平面分布的电磁场分析方法来模拟这个刺激过程。一般临床采用的电刺激频率为10 Hz以下,不同于交变电磁场中产生的场效应而更加接近静电场,可以认为是一个准静电场过程,在此我们应用静电场的分析方法建立模型。在以静电场看待这一电刺激过程时,人体内的离子流动特别是离子聚积问题是应该予以考虑的,但由于电刺激强度一般在恒压50~100V 或恒流10~40 mA,远远大于体内自身产生的电势场与电流场,建模过程中可以忽略人体内离子流动和离子聚集的影响。
为了得出电刺激下两层组织中电位的解析式,这里采用了电磁学中的镜像法。镜像法是解静电场问题的一种间接方法,把人体组织分层看成是均匀媒质,对于所研究区域,用闭合边界外虚设的较简单的电荷分布代替实际边界上复杂的电荷分布来进行计算。根据唯一性定量,只要虚设的电荷与边界内的实际电荷所产生的电场能满足给定的边界条件,这个结果就是正确的,对于虚设电荷,常常称为镜像电荷,所以这种方法称为镜像法[6~8]。
, 百拇医药
图1 刺激电极摆放位置
Fig 1 Place of the electrode
对于图1所示的刺激模型,我们假定它由三层组织组成:空气层、皮肤与皮下组织、胫后神经纤维组织,分别将其定义为介质1,介质2和介质3,如图2所示。为分析的方便,假设一点电荷位于介质2中距界面1上坐标原点(0,0,0)为d1的位置,待得到解析式后,令d1趋近于零即可得到与实际相似的模拟结果。
图2 人体组织模型
Fig 2 Model of the layers
通过镜像法分析,首先求解拉普拉斯方程:
, http://www.100md.com
在柱坐标下,其边界条件是:
得柱坐标下的解为:
其中:V0为刺激电压;a为电极半径;将柱坐标转换成直角坐标,形式如下:
这样得到了点电荷的电场分布,根据电场的可加性,将此电场分布按照电极面积进行积分,即可得到表面电极下场的分布,然后可以由下式求解人体中的电流密度分布
, 百拇医药
其中:σ为介质的电导率。
3 结 果
由图2所示的模型,按照上面介绍的方法,我们对图1所示的胫后神经经皮电刺激分布进行了分析。为了方程表达的方便,设定系数A,B为:
可以推导出介质1中的电位分布系数为:
介质1中电场势为:
推导出介质2中的电位分布系数为:
, 百拇医药
介质2中电场势为:
推导出介质3中的电位分布系数为:
介质3中电势场为:
公式中k为镜像电荷的映射次数,经验证三种介质中的电势场满足界面间的边界条件:
由下式可以计算出点电荷下电场分布和电流密度分布:
, 百拇医药
在得到上述解析方程后,我们按照
a.电极放置位置处横截面的电场分布图(即z=0,x、y平面),在x=10,y=0(和x=30,y=0)处,电势值为V0,向外依次是90%V0,80%V0,……的等值线
a. Field distribution of cross section under electrode
b.电极放置位置处纵截面的电场分布图(即y=0,x、z平面),在x=10,z=0(和x=30,z=0)处,电势值为V0,向外依次是90%V0,80%V0,……的等值线。
, http://www.100md.com
b. Field distribution of vertical section under electrode
图3 经皮刺激电极下的电场分布图
Fig 3 Field distribution under electrode
a.电极放置位置处横截面的电流密度分布图(即z=0,x、y平面),在x=10,y=0(和x=30,y=0)处,电流密度值为J0,向外依次是85%J0,70%J0,……的等值线
a. Current intensity distribution of cross section under electrode
, 百拇医药
b. 电极放置位置处的纵截面的电流分布图(即y=0,x、y平面),x=10,z=0(和x=30,z=0)处,电流密度值为J0,向外依次是85%J0,70%J0,……的等值线。
b. Current intensity distribution of vertical section under electrode
图4 经皮刺激电极下的电流密度分布图
Fig 4 Current intensity distribution under electrode
由图3可见,经皮电刺激下的电场分布是不均匀的,在两个电极中心处,电势值是最高的,向外扩展,逐渐降低,而在两个电极连线的中心位置,电势为零。由图4可见,电流密度的分布在电极周围最高,随着到刺激电极的距离的增大而逐渐降低,图4(b)显示,只有10%的刺激电流能够到达皮下10 mm处,而此处与神经纤维所在的位置接近。
, 百拇医药
4 讨 论
我们设计的模拟计算程序,验证了理论推导出来的结果,通过对计算结果的数据进行分析,可以得出如下结论:
(1)垂直深度(即d值)相同的每一层面上,电极处的电位值和电流密度值最大,离电极越远则电位值越小;
(2)不同深度的层面,离电极越近的层面电位值和电流密度值越大;
从临床应用的角度来看,刺激电极应安放在被刺激神经正上方,最好两个电极依神经走向放置。如果不能如此放置,应尽量让一个电极处于被刺激神经的走行上方。
由于实验条件的限制,实际的电场与电流分布是难以测量的,从文献上看,对人体的理论建模大部分还都处于将其看作是单一均匀组织,而实际人体包括许多组织,交叉错落,所以在研究过程中还有许多问题尚待解决,这方面的工作正在继续深入进行中。
, 百拇医药
参考文献
1 Halliday AM. Evoked potentials in clinical testing. Edinburgh: Churchill Livingstone, 1993
2 Roger Q. Cracco, Ivan Bodis-Wollner.Evoked Potentials. New York:Liss, 1986
3 Yan Y, Nunez PL, Hart RT. Finite-element model of the human head:scalp potentials due to dipole sources. Med Biol Eng Comput, 1991; 29(5)∶475
4 Walsh DM, Forst NE, Baxter GD et al. Transcutaneous electrical nerve stimulation: relevance of stimulation parameters to neurophysiological and hypoalgesic effects. Am J Phys Med Rehabil, 1995; 74(3)∶199
5 Panescu D, Webster JG, Stratbucker RA. A nonlinear finite element model of the electrode-electrolyte-skin system. IEEE Trans Biomed Eng, 1994; 41(7)∶681
(收稿:1998-06-10 修回:1998-05-04), 百拇医药