流室系统的流体动力学模拟*
作者:刘肖珩 陈槐卿
单位:(华西医科大学 生物医学工程研究室,成都 610041)
关键词:流室;非定常流动;流体动力学;虚宗量贝塞尔函数
生物医学工程学杂志990410 摘要 从Navier-Stokes方程出发,运用无量纲化及虚宗量Bessel函数法求解,导得流室系统中流体流动的速度场、切应力场等分布规律。并且,本文公式简化为定常状态时,无论是和Cao等人的理论结果,还是和他们的实验结果比较,都是相当一致的。
Simulation on the Hydrodynamics of A Flow Chamber System
Liu Xiaoheng Chen Huaiqing
, 百拇医药 (Institute of Biomedical Engineering, West China University of Medical Sciences, Chengdu 610041)
Abstract The distributions of the velocity and the shear stress of flow chamber are achieved by using the nondimensional technique and the method of Bessel function of imaginary argument according to Navier-Stokes' equations. When reduced to the representation of steady flows, the formulae obtained in this paper are consistent with Cao's theoretical formulae and their experimental results.
, 百拇医药
Key wrods Flow chamber Unsteady flow Hydrodynamics Bessel function of imaginary argument
1 引 言
微管(Micropipette)和流室(Flow chamber)是当前流变学研究领域中最常见的两种研究方法。它们各有千秋:Micropipette在单个细胞的定量研究上优势显著,但技术水平要求很高。流室的主要优点在于:(1)能实时地记录和观察血液流动对血细胞、内皮细胞的作用;(2)能定量研究血细胞、内皮细胞对流场的反映;(3)实验操作简便、快速、能实现自动化控制,结果具有统计学意义;(4)与Micropipette相比,经济实惠。由于它既能保证细胞受到不同水平的恒流剪切力作用,又能使细胞在高切力作用下发生形态改变的同时仍然保持粘附,还能适时观察记录剪切力对内皮细胞的作用。目前流室系统已成为人们研究体外培养的血管内皮细胞在剪切力作用下的生物力学特性,尤其是内皮细胞等粘附特性的重要手段之一[1~4]。因此,近年来不少学者运用流室系统来研究流动剪切力对血管内皮细胞形态及功能的影响,已经取得了诸多的进展,流动装置也得到改进[1,5]。
, 百拇医药
但是,现有的流室系统都是各研究单位根据自身需要和实际条件自行设计生产(或改装)的,无统一化设计标准,尽管能满足一定流体动力学条件,但其局限性十分明显[1,5,6]。例如:(1)流场的相似性不能保障,特别是在血管生理(脉动压力波形、振荡状态等)、几何结构(直径、长度直径比、锥度角等)、动力学参数(粘度、边界条件)等方面使模拟的流体动力学环境与真实情况不能很好地协调[7~9]。(2)流室系统的稳定性问题[1]。由于其辅助控制设备无统一规程,使不同实验室之间或同一实验室不同实验条件下得出的实验数据不稳定,对比性不好。(3)入口效应问题。根据流体动力学理论,流体在血管中的流动状态表现为发展流动(Developing flow)和形成流动(Developed flow)两种形式[1,10]。为了使设计的流室系统真正做到定量化、简单化,应尽量让实验测试段的流态为形成流动。因此,在设计过程中,就必须考虑流场的入口效应问题。为此,我们用不同于其它人工作的研究方法,即从Navier-Stokes方程出发,建立流室系统在非定常状态下的流体动力学模型,进而运用无量纲化及虚宗量Bessel函数法求解,导得流室系统中流体流动的速度场、切应力场等分布规律,最后,根据计算机模拟取得我们所需要的设计参数及流体动力学指数。
, 百拇医药
2 控制方程及边界条件
假设流体是不可压缩均匀的牛顿流体,流动是轴对称的层流。这样,当采用三维直角坐标系(x,y,z),原点设在流室入口截面的中心点,x轴沿流室的轴向,y轴沿流室水平面纵向,z沿流室高度方向。同时假设流体是沿x轴方向的充分发展流动,在y、z轴上的流速分量为零,即v=w=0,于是,根据Navier-Stokes方程,有
(1)
(2)
式中:p=p(t),为流室内流体的压力;ρ为流体密度;μ为流体动力学粘性系数。式(1)、(2)便是流室中流体流动的支配方程。
流体在壁面的边界条件为:
u│y=±W/2=0 (3)
, 百拇医药
u│z=±H/2=0 (4)
3 非定常态下基本方程的解
设非定常状态下端口处的初始状态为:
(5)
(6)
式中:V0为端口处的特征流速;P0为端口处的特征压力;ω为振荡圆频率;ak,bk,gk,hk均为待定常数。
引入下列无量纲化指标:
(7)
, 百拇医药
式中:L、W、H分别为流室内腔的长、宽、高。
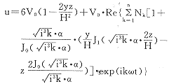
这样,由于式(1)是线性的,在满足式(2)~(7)的条件下,根据虚宗量Bessel函数法可以求得速度u的表达式为
(8)
式中:Nk=ak-ibk,Nqk=y2q+ikα2,J0、J1分别为零阶、一阶第一类Bessel函数;α为Womersley数;yq为二阶第一类Bessel函数的根;Re为取实部附号。
4 切应力场的计算公式
由
(9)
, 百拇医药
得流室内各点的切应力为:
(10)
特别地,对上式(10)取z=-
,则流室腔内底面所受切应力τw的计算公式可表示为:
(11)
式中:Q为流量。
5 分析与讨论
5.1 非定常状态下流体的流动规律
为了便于分析,我们选取一组参数进行分析,参数如下:V0=98.7 cm/s。k=1,a1=b1=0,μ=0.01 Pa.s,α=1,将上述参数代入式(8),并进行数值计算便可得到如图1所示的非定常状态下速度变化规律。可以看出,不同的相位情况下,流体流动的速度剖面是完全不同的。其中,当ωt=0°时,其值最大;当ωt=180°时,其值最小。
, http://www.100md.com
5.2 定常状态下流室底面切应力计算公式
在式(11)的基础上去掉与时间t有关的项,即得定常状态下流室底面切应力计算公式
(12)
Cao等人最近通过理论研究也证明,定常状态下流室底面所受切应力估算式为[2]:
(13)
由于F取决于流室宽高比(W/H),当W/H>>1时,F≈1。此时式(12)与式(13)是等价的。所以本文公式与Cao等人结果是一致的。
6 模拟结果的对比
关于流室系统的非定常流动,Cao等学者也做过比较深入的研究,并导得了流场的速度、切应力分布公式[2]:
, 百拇医药
图1 非定常状态下轴向速度分布随相位角变化关系
Fig 1 Distribution of axial velocity component at different phase angles under unsteady flow
(14)
把公式(10)与Cao等人的结果(14)及其实验结果相比较,曲线绘于图2,可以看出,本文公式与Cao等人的理论结果及其实验结果都是一致的。
7 我们的流室系统
我们进一步利用计算机进行流动模拟,按式(8)、(10)、(11)计算出不同初值下流体运动的u、τ及τw值。结果表明,为使流室测试段的流动满足:(1)层流;(2)二维流动;(3)达到充分发展的流动,流室的设计参数必须同时满足:L>>h,w>>h,L/h>10。所以,根据课题需要,我们提出了以下流室设计方法:
, http://www.100md.com
(1)设计为双层流室系统。上层称为主测试室(main testing chamber, MTC),作为流动发生室;下层为辅测试室(supplementary testing chamber,STC),为一静态辅助室。
(2)通过血液流场的模拟计算,我们取得了MTC的尺寸参数为:L=12.6 cm,w=2.5 cm,h=0.3 mm。同时,为使测试区域内的流动达到充分发展流动,必须满足:L/h>10,以利于实验过程中通过控制流量Q,来定量了解流场速度、切应力等动力学参数的变化。
图2 非定常态下流室剪切力的变化
Fig 2 The shear stress of the flow chamber under unsteady flow
, 百拇医药
* 国家自然科学基金资项目(39670202和39830110)
参考文献
1 刘肖珩,陈槐卿.Flow Chamber系统的优化设计及其用于血细胞和血管内皮细胞生物力学特性的研究.国外医学生物医学工程分册,1998; 21(4)∶207
2 Cao J. Development of a side-view chamber for studying cell-surface adhesion under flow condition. Annals of Biomedical Engineering, 1997; 25∶573
3 Frangos JA, Eskin SG, McIntire LV, et al. Flow effect on prostacyclin production by cultured human endothelial cells. Science, 1995; 227∶1477
, http://www.100md.com
4 Nerem RM, Levesque MJ. Vascular endothelial morphology as an indicator of blood flow. ASME J Biomech Eng, 1981; 103∶172
5 姜伟元.平行板流动腔的合理设计和使用.医学生物力学,1996; 11∶97
6 樊瑜波,蒋文涛,陈君楷.Flow Chamber流动实验中非定常流动特性的研究.生物医学工程学杂志,1998; 15(3)∶243
7 Schultz DL. Pressure and flow in large arteries in cardiovascular fluid dynamics. New York:Academic Press, 1972
8 Atabek HB, CC Chang. Oscillatory flow near the entry of a circular tube. Math Phys, 1961∶112
, 百拇医药
9 Kuchar NR, Ostrach S. Flows in the entrance region of circular elastic tubes. Biomedical Fluid Dynamics Symposium, New York: ASME, 1966;45
10 Cen Renjing, Liu Baosen, Ned HC Hwang. Developing oscillatory flow in a circular pipe: a new solution. J of Biomechanical Engineering, Trans of the ASME, 1987∶340
(收稿:1998-12-01 修回:1998-04-08), 百拇医药
单位:(华西医科大学 生物医学工程研究室,成都 610041)
关键词:流室;非定常流动;流体动力学;虚宗量贝塞尔函数
生物医学工程学杂志990410 摘要 从Navier-Stokes方程出发,运用无量纲化及虚宗量Bessel函数法求解,导得流室系统中流体流动的速度场、切应力场等分布规律。并且,本文公式简化为定常状态时,无论是和Cao等人的理论结果,还是和他们的实验结果比较,都是相当一致的。
Simulation on the Hydrodynamics of A Flow Chamber System
Liu Xiaoheng Chen Huaiqing
, 百拇医药 (Institute of Biomedical Engineering, West China University of Medical Sciences, Chengdu 610041)
Abstract The distributions of the velocity and the shear stress of flow chamber are achieved by using the nondimensional technique and the method of Bessel function of imaginary argument according to Navier-Stokes' equations. When reduced to the representation of steady flows, the formulae obtained in this paper are consistent with Cao's theoretical formulae and their experimental results.
, 百拇医药
Key wrods Flow chamber Unsteady flow Hydrodynamics Bessel function of imaginary argument
1 引 言
微管(Micropipette)和流室(Flow chamber)是当前流变学研究领域中最常见的两种研究方法。它们各有千秋:Micropipette在单个细胞的定量研究上优势显著,但技术水平要求很高。流室的主要优点在于:(1)能实时地记录和观察血液流动对血细胞、内皮细胞的作用;(2)能定量研究血细胞、内皮细胞对流场的反映;(3)实验操作简便、快速、能实现自动化控制,结果具有统计学意义;(4)与Micropipette相比,经济实惠。由于它既能保证细胞受到不同水平的恒流剪切力作用,又能使细胞在高切力作用下发生形态改变的同时仍然保持粘附,还能适时观察记录剪切力对内皮细胞的作用。目前流室系统已成为人们研究体外培养的血管内皮细胞在剪切力作用下的生物力学特性,尤其是内皮细胞等粘附特性的重要手段之一[1~4]。因此,近年来不少学者运用流室系统来研究流动剪切力对血管内皮细胞形态及功能的影响,已经取得了诸多的进展,流动装置也得到改进[1,5]。
, 百拇医药
但是,现有的流室系统都是各研究单位根据自身需要和实际条件自行设计生产(或改装)的,无统一化设计标准,尽管能满足一定流体动力学条件,但其局限性十分明显[1,5,6]。例如:(1)流场的相似性不能保障,特别是在血管生理(脉动压力波形、振荡状态等)、几何结构(直径、长度直径比、锥度角等)、动力学参数(粘度、边界条件)等方面使模拟的流体动力学环境与真实情况不能很好地协调[7~9]。(2)流室系统的稳定性问题[1]。由于其辅助控制设备无统一规程,使不同实验室之间或同一实验室不同实验条件下得出的实验数据不稳定,对比性不好。(3)入口效应问题。根据流体动力学理论,流体在血管中的流动状态表现为发展流动(Developing flow)和形成流动(Developed flow)两种形式[1,10]。为了使设计的流室系统真正做到定量化、简单化,应尽量让实验测试段的流态为形成流动。因此,在设计过程中,就必须考虑流场的入口效应问题。为此,我们用不同于其它人工作的研究方法,即从Navier-Stokes方程出发,建立流室系统在非定常状态下的流体动力学模型,进而运用无量纲化及虚宗量Bessel函数法求解,导得流室系统中流体流动的速度场、切应力场等分布规律,最后,根据计算机模拟取得我们所需要的设计参数及流体动力学指数。
, 百拇医药
2 控制方程及边界条件
假设流体是不可压缩均匀的牛顿流体,流动是轴对称的层流。这样,当采用三维直角坐标系(x,y,z),原点设在流室入口截面的中心点,x轴沿流室的轴向,y轴沿流室水平面纵向,z沿流室高度方向。同时假设流体是沿x轴方向的充分发展流动,在y、z轴上的流速分量为零,即v=w=0,于是,根据Navier-Stokes方程,有
式中:p=p(t),为流室内流体的压力;ρ为流体密度;μ为流体动力学粘性系数。式(1)、(2)便是流室中流体流动的支配方程。
流体在壁面的边界条件为:
u│y=±W/2=0 (3)
, 百拇医药
u│z=±H/2=0 (4)
3 非定常态下基本方程的解
设非定常状态下端口处的初始状态为:
式中:V0为端口处的特征流速;P0为端口处的特征压力;ω为振荡圆频率;ak,bk,gk,hk均为待定常数。
引入下列无量纲化指标:
, 百拇医药
式中:L、W、H分别为流室内腔的长、宽、高。
这样,由于式(1)是线性的,在满足式(2)~(7)的条件下,根据虚宗量Bessel函数法可以求得速度u的表达式为
式中:Nk=ak-ibk,Nqk=y2q+ikα2,J0、J1分别为零阶、一阶第一类Bessel函数;α为Womersley数;yq为二阶第一类Bessel函数的根;Re为取实部附号。
4 切应力场的计算公式
由
, 百拇医药
得流室内各点的切应力为:
特别地,对上式(10)取z=-
式中:Q为流量。
5 分析与讨论
5.1 非定常状态下流体的流动规律
为了便于分析,我们选取一组参数进行分析,参数如下:V0=98.7 cm/s。k=1,a1=b1=0,μ=0.01 Pa.s,α=1,将上述参数代入式(8),并进行数值计算便可得到如图1所示的非定常状态下速度变化规律。可以看出,不同的相位情况下,流体流动的速度剖面是完全不同的。其中,当ωt=0°时,其值最大;当ωt=180°时,其值最小。
, http://www.100md.com
5.2 定常状态下流室底面切应力计算公式
在式(11)的基础上去掉与时间t有关的项,即得定常状态下流室底面切应力计算公式
Cao等人最近通过理论研究也证明,定常状态下流室底面所受切应力估算式为[2]:
由于F取决于流室宽高比(W/H),当W/H>>1时,F≈1。此时式(12)与式(13)是等价的。所以本文公式与Cao等人结果是一致的。
6 模拟结果的对比
关于流室系统的非定常流动,Cao等学者也做过比较深入的研究,并导得了流场的速度、切应力分布公式[2]:
, 百拇医药
图1 非定常状态下轴向速度分布随相位角变化关系
Fig 1 Distribution of axial velocity component at different phase angles under unsteady flow
把公式(10)与Cao等人的结果(14)及其实验结果相比较,曲线绘于图2,可以看出,本文公式与Cao等人的理论结果及其实验结果都是一致的。
7 我们的流室系统
我们进一步利用计算机进行流动模拟,按式(8)、(10)、(11)计算出不同初值下流体运动的u、τ及τw值。结果表明,为使流室测试段的流动满足:(1)层流;(2)二维流动;(3)达到充分发展的流动,流室的设计参数必须同时满足:L>>h,w>>h,L/h>10。所以,根据课题需要,我们提出了以下流室设计方法:
, http://www.100md.com
(1)设计为双层流室系统。上层称为主测试室(main testing chamber, MTC),作为流动发生室;下层为辅测试室(supplementary testing chamber,STC),为一静态辅助室。
(2)通过血液流场的模拟计算,我们取得了MTC的尺寸参数为:L=12.6 cm,w=2.5 cm,h=0.3 mm。同时,为使测试区域内的流动达到充分发展流动,必须满足:L/h>10,以利于实验过程中通过控制流量Q,来定量了解流场速度、切应力等动力学参数的变化。
图2 非定常态下流室剪切力的变化
Fig 2 The shear stress of the flow chamber under unsteady flow
, 百拇医药
* 国家自然科学基金资项目(39670202和39830110)
参考文献
1 刘肖珩,陈槐卿.Flow Chamber系统的优化设计及其用于血细胞和血管内皮细胞生物力学特性的研究.国外医学生物医学工程分册,1998; 21(4)∶207
2 Cao J. Development of a side-view chamber for studying cell-surface adhesion under flow condition. Annals of Biomedical Engineering, 1997; 25∶573
3 Frangos JA, Eskin SG, McIntire LV, et al. Flow effect on prostacyclin production by cultured human endothelial cells. Science, 1995; 227∶1477
, http://www.100md.com
4 Nerem RM, Levesque MJ. Vascular endothelial morphology as an indicator of blood flow. ASME J Biomech Eng, 1981; 103∶172
5 姜伟元.平行板流动腔的合理设计和使用.医学生物力学,1996; 11∶97
6 樊瑜波,蒋文涛,陈君楷.Flow Chamber流动实验中非定常流动特性的研究.生物医学工程学杂志,1998; 15(3)∶243
7 Schultz DL. Pressure and flow in large arteries in cardiovascular fluid dynamics. New York:Academic Press, 1972
8 Atabek HB, CC Chang. Oscillatory flow near the entry of a circular tube. Math Phys, 1961∶112
, 百拇医药
9 Kuchar NR, Ostrach S. Flows in the entrance region of circular elastic tubes. Biomedical Fluid Dynamics Symposium, New York: ASME, 1966;45
10 Cen Renjing, Liu Baosen, Ned HC Hwang. Developing oscillatory flow in a circular pipe: a new solution. J of Biomechanical Engineering, Trans of the ASME, 1987∶340
(收稿:1998-12-01 修回:1998-04-08), 百拇医药