利用小波变换去除针电极肌电信号噪声的实验研究
作者:杨基海 周平 章劲松 娄智
单位:杨基海(中国科学技术大学 电子科学与技术系,合肥 230026);周平(中国科学技术大学 电子科学与技术系,合肥 230026);章劲松(中国科学技术大学 电子科学与技术系,合肥 230026);娄智(中国科学技术大学 电子科学与技术系,合肥 230026)
关键词:小波变换;针电极肌电信号;噪声;漂移
生物医学工程学杂志000113 摘 要:小波变换能将各种交织在一起的由不同频率组成的混合信号分解成不相同频段的信号。本文采用小波变换的方法对针电极肌电信号(NEMG)进行去噪声处理,并进行对比实验。结果表明,在应用小波变换处理NEMG信号过程中,只要适当选取变换尺度就可以在处理信号的同时,有效地消除原信号中高频噪声和基线漂移的影响。
Experiments on Elimination of the Noise in NEMG
, http://www.100md.com
by Adopting Wavelet Transform
Yang Jihai Zhou Ping Zhang Jinsong Lou Zhi
(Dept of Electronics Eng, Univ of Science& Tech of China, Hefei 230026)
Abstract:Wavelet transform (WT) is a promising technique for time-frequency analysis. By decomposing signals into elementary building blocks that are well localized both in time and frequency, the WT can characterize the local regularity of signal. In this paper, we process the needle electrode electromyography (NEMG) signal with noise by adopting WT and have completed the contrast experiments. The results show that WT is an effective method by which high frequency noise and baseline drift in NEMG can successfully be eliminated by selecting proper transform scales of WT.
, 百拇医药
Key words:WT NEMG Noise Baseline drift▲
1 引 言
针电极采集的EMG信号属于微弱电信号。由于针电极阻抗高达1012Ω,信号中包含的噪声强、基线漂移大。尽管人们在硬件设计和软件算法中采取了不少相应的去噪声、去漂移措施,但实际效果不完全令人满意,这就要求我们寻求更好的方法来抑制各种噪声的影响。我们知道,小波变换具有“变焦”显微镜的特性,为此,本文拟采用小波变换的方法,试图在处理肌电信号的同时,去除信号中高频噪声和基线漂移的影响,并通过对比实验,探讨这种方法的有效性。
2 小波变换原理
小波理论是在傅立叶变换的基础上发展起来的、目前被广泛应用的数学工具,小波变换的分析方法是一种非常有效的信号时频分析法,在信号处理、语音分析、模式识别等领域有着广泛的应用。
, http://www.100md.com
在小波分析中,信号f(X)的连续小波变换定义[1]为:
(1)
其中:S为尺度;
为母小波Ψ(X)在尺度S上的伸缩。
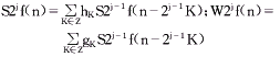
对于数字信号f(n),其二进小波变换可用Mallat算法求得:
(2)
其中:S2j为光滑算字;S2jf(n)=f(n)*φ2j(n),φ称作尺度函数;且有S20f(n)=d(n),d(n)是我们要处理的数字信号,本文中亦即采集到的NEMG信号,W2jf(n)是信号f(n)的二进小波变换,hk和gk分别是低通滤波器H(ω)和高通滤波器G(ω)的系数,即
, 百拇医药
本文采用的小波是三阶样条小波[2],相应的hk和gk值如下:
h1=0.3750;h2=0.1250;h3=0.0000;
g1=0.5798;g2=0.0869,g3=0.0061
hk=h1-k,gk=-g1-k,当k>3时,hk=gk=0
采用该样条小波,由公式(2)可以把一个数字信号进行小波分解,得到不同频道上的成分[3]。
, http://www.100md.com
3 实验结果
实验中所用的NEMG信号是从安徽医科大学附属医院一台高质量的肌电图仪上通过精心采集而得。肌电信号的波形比较纯净,基本上看不到高频噪声和基线漂移的影响。为了研究小波变换在去噪声方面的特点,并进行对比实验,我们首先将这种较纯净的NEMG信号人为地加上高频噪声,然后利用公式(2)分别对叠加有噪声的肌电信号和未加噪声的肌电信号进行小波变换。对比实验情况及小波变换结果如图1所示。
图1(a)为未加噪声的肌电信号和它在四个尺度下的小波变换结果,图1(b)为加有高频噪声的肌电信号及其小波变换结果。经过比较可以发现,两者在后3个尺度(j=2,3,4)下的小波变换波形非常相似,而在j=1时的小尺度下,小波变换的波形相差较大,这种较大的差别说明了噪声主要反映了小尺度下的小波变换上。和肌电信号相比,噪声的频带较宽而且高频成分较多,而从小波变换原理的角度来分析,小尺度变换也就是说小波函数的窗口尺度较小,能很好地反映信号的高频信息,所以经过小波变换后,噪声的主要能量分布在小尺度下的小波变换上。相反,大尺度变换能很好地反映信号的低频分量,在这里主要是指未加噪声下的肌电信号分量。由于加噪声的肌电信号和不加噪声的肌电信号,其主要区别在于高频噪声分量,即通过j=1时的小波变换表现出来的差别,因而后3个尺度下的变换结果非常相似。
, http://www.100md.com
图1(c)为加噪声信号在四个尺度下的近似重建信号,同样可以发现:后三路重建信号波形与纯净肌电信号非常相似,由此可见:在小尺度下的小波变换反映的是高频噪声,在较大尺度下的小波变换结果反映了纯净肌电信号的特征,即具有去噪声的特点。
图1 小波变换去除肌电信号噪声
(a)未加噪声的肌电信号及其小波变换;(b)加噪声的肌电信号及其小波变换;(c)各尺度下的重建信号
Fig 1 Elimination of the noise included in NEMG signal using wavelet transform
(a) Pure NEMG signal and its wavelet transform;(b) NEMG signal adding noise and its wavelet transform;(c) Reproducing signals on different scales
, http://www.100md.com
事实上基线漂移也是一种噪声,只是它的频率成分较低,是一种慢变信号,反映在小波变换上,将在大尺度上表现出这一频率分量。图2说明了我们在这方面所做的对比实验。其中图2(a)为纯净肌电信号及其小波变换,图2(b)为在纯净的肌电信号上叠加基线漂移噪声,并对其做小波变换,图2(c)为基线噪声及其小波变换结果。通过比较,很容易发现图2(c)的最后一路小波变换波形与图2(b)的最后一路波形非常相似;图2(a)的前两路变换信号均与图2(b)的相应变换波形非常相似。可见,图2(b)的前几路小尺度变换包含了纯净信号的特征,而基线的低频分量主要包含在第四尺度下的变换结果中。
图2 小波变换去除基线漂移
(a)未加漂移的肌电信号及其小波变换;(b)加漂移的肌电信号及其小波变换;(c)基线漂移及其小波变换
Fig 2 Elimination of the baseline drift included in NEMG signal using wavelet transform
, http://www.100md.com
(a)Pure NEMG signal and its wavelet transform;(b)NEMG signal adding baseline drift and its wavelet transform;(c)baseline drift and its wavelet transform
4 结 论
通过上面的分析讨论和实验研究表明,在应用小波变换处理肌电信号过程中,只要适当选取变换尺度就可以在处理信号的同时,消除原信号中高频噪声和基线漂移的影响,从而突出信号中的有用成分,为提取信号的特征或进一步对信号进行处理打下良好的基础。
基金项目:国家自然科学基金项目(69671027)
参考文献:
[1]秦前清,杨宗凯.实用小波分析.西安:西安电子科技大学出版社,1994
[2]Zeri Y, Rotem D. Image reconstruction from zero crossings. IEEE Acoustics speech and signal process,1986;34∶1269
[3]Frish M, Messer H. The use of wavelet transformation in the detection of an unknown signal. IEEE Trans on Inform Theory 1992;38∶840
收稿日期:1998-10-12, 百拇医药
单位:杨基海(中国科学技术大学 电子科学与技术系,合肥 230026);周平(中国科学技术大学 电子科学与技术系,合肥 230026);章劲松(中国科学技术大学 电子科学与技术系,合肥 230026);娄智(中国科学技术大学 电子科学与技术系,合肥 230026)
关键词:小波变换;针电极肌电信号;噪声;漂移
生物医学工程学杂志000113 摘 要:小波变换能将各种交织在一起的由不同频率组成的混合信号分解成不相同频段的信号。本文采用小波变换的方法对针电极肌电信号(NEMG)进行去噪声处理,并进行对比实验。结果表明,在应用小波变换处理NEMG信号过程中,只要适当选取变换尺度就可以在处理信号的同时,有效地消除原信号中高频噪声和基线漂移的影响。
Experiments on Elimination of the Noise in NEMG
, http://www.100md.com
by Adopting Wavelet Transform
Yang Jihai Zhou Ping Zhang Jinsong Lou Zhi
(Dept of Electronics Eng, Univ of Science& Tech of China, Hefei 230026)
Abstract:Wavelet transform (WT) is a promising technique for time-frequency analysis. By decomposing signals into elementary building blocks that are well localized both in time and frequency, the WT can characterize the local regularity of signal. In this paper, we process the needle electrode electromyography (NEMG) signal with noise by adopting WT and have completed the contrast experiments. The results show that WT is an effective method by which high frequency noise and baseline drift in NEMG can successfully be eliminated by selecting proper transform scales of WT.
, 百拇医药
Key words:WT NEMG Noise Baseline drift▲
1 引 言
针电极采集的EMG信号属于微弱电信号。由于针电极阻抗高达1012Ω,信号中包含的噪声强、基线漂移大。尽管人们在硬件设计和软件算法中采取了不少相应的去噪声、去漂移措施,但实际效果不完全令人满意,这就要求我们寻求更好的方法来抑制各种噪声的影响。我们知道,小波变换具有“变焦”显微镜的特性,为此,本文拟采用小波变换的方法,试图在处理肌电信号的同时,去除信号中高频噪声和基线漂移的影响,并通过对比实验,探讨这种方法的有效性。
2 小波变换原理
小波理论是在傅立叶变换的基础上发展起来的、目前被广泛应用的数学工具,小波变换的分析方法是一种非常有效的信号时频分析法,在信号处理、语音分析、模式识别等领域有着广泛的应用。
, http://www.100md.com
在小波分析中,信号f(X)的连续小波变换定义[1]为:
其中:S为尺度;
对于数字信号f(n),其二进小波变换可用Mallat算法求得:
其中:S2j为光滑算字;S2jf(n)=f(n)*φ2j(n),φ称作尺度函数;且有S20f(n)=d(n),d(n)是我们要处理的数字信号,本文中亦即采集到的NEMG信号,W2jf(n)是信号f(n)的二进小波变换,hk和gk分别是低通滤波器H(ω)和高通滤波器G(ω)的系数,即
, 百拇医药
本文采用的小波是三阶样条小波[2],相应的hk和gk值如下:
h1=0.3750;h2=0.1250;h3=0.0000;
g1=0.5798;g2=0.0869,g3=0.0061
hk=h1-k,gk=-g1-k,当k>3时,hk=gk=0
采用该样条小波,由公式(2)可以把一个数字信号进行小波分解,得到不同频道上的成分[3]。
, http://www.100md.com
3 实验结果
实验中所用的NEMG信号是从安徽医科大学附属医院一台高质量的肌电图仪上通过精心采集而得。肌电信号的波形比较纯净,基本上看不到高频噪声和基线漂移的影响。为了研究小波变换在去噪声方面的特点,并进行对比实验,我们首先将这种较纯净的NEMG信号人为地加上高频噪声,然后利用公式(2)分别对叠加有噪声的肌电信号和未加噪声的肌电信号进行小波变换。对比实验情况及小波变换结果如图1所示。
图1(a)为未加噪声的肌电信号和它在四个尺度下的小波变换结果,图1(b)为加有高频噪声的肌电信号及其小波变换结果。经过比较可以发现,两者在后3个尺度(j=2,3,4)下的小波变换波形非常相似,而在j=1时的小尺度下,小波变换的波形相差较大,这种较大的差别说明了噪声主要反映了小尺度下的小波变换上。和肌电信号相比,噪声的频带较宽而且高频成分较多,而从小波变换原理的角度来分析,小尺度变换也就是说小波函数的窗口尺度较小,能很好地反映信号的高频信息,所以经过小波变换后,噪声的主要能量分布在小尺度下的小波变换上。相反,大尺度变换能很好地反映信号的低频分量,在这里主要是指未加噪声下的肌电信号分量。由于加噪声的肌电信号和不加噪声的肌电信号,其主要区别在于高频噪声分量,即通过j=1时的小波变换表现出来的差别,因而后3个尺度下的变换结果非常相似。
, http://www.100md.com
图1(c)为加噪声信号在四个尺度下的近似重建信号,同样可以发现:后三路重建信号波形与纯净肌电信号非常相似,由此可见:在小尺度下的小波变换反映的是高频噪声,在较大尺度下的小波变换结果反映了纯净肌电信号的特征,即具有去噪声的特点。
图1 小波变换去除肌电信号噪声
(a)未加噪声的肌电信号及其小波变换;(b)加噪声的肌电信号及其小波变换;(c)各尺度下的重建信号
Fig 1 Elimination of the noise included in NEMG signal using wavelet transform
(a) Pure NEMG signal and its wavelet transform;(b) NEMG signal adding noise and its wavelet transform;(c) Reproducing signals on different scales
, http://www.100md.com
事实上基线漂移也是一种噪声,只是它的频率成分较低,是一种慢变信号,反映在小波变换上,将在大尺度上表现出这一频率分量。图2说明了我们在这方面所做的对比实验。其中图2(a)为纯净肌电信号及其小波变换,图2(b)为在纯净的肌电信号上叠加基线漂移噪声,并对其做小波变换,图2(c)为基线噪声及其小波变换结果。通过比较,很容易发现图2(c)的最后一路小波变换波形与图2(b)的最后一路波形非常相似;图2(a)的前两路变换信号均与图2(b)的相应变换波形非常相似。可见,图2(b)的前几路小尺度变换包含了纯净信号的特征,而基线的低频分量主要包含在第四尺度下的变换结果中。
图2 小波变换去除基线漂移
(a)未加漂移的肌电信号及其小波变换;(b)加漂移的肌电信号及其小波变换;(c)基线漂移及其小波变换
Fig 2 Elimination of the baseline drift included in NEMG signal using wavelet transform
, http://www.100md.com
(a)Pure NEMG signal and its wavelet transform;(b)NEMG signal adding baseline drift and its wavelet transform;(c)baseline drift and its wavelet transform
4 结 论
通过上面的分析讨论和实验研究表明,在应用小波变换处理肌电信号过程中,只要适当选取变换尺度就可以在处理信号的同时,消除原信号中高频噪声和基线漂移的影响,从而突出信号中的有用成分,为提取信号的特征或进一步对信号进行处理打下良好的基础。
基金项目:国家自然科学基金项目(69671027)
参考文献:
[1]秦前清,杨宗凯.实用小波分析.西安:西安电子科技大学出版社,1994
[2]Zeri Y, Rotem D. Image reconstruction from zero crossings. IEEE Acoustics speech and signal process,1986;34∶1269
[3]Frish M, Messer H. The use of wavelet transformation in the detection of an unknown signal. IEEE Trans on Inform Theory 1992;38∶840
收稿日期:1998-10-12, 百拇医药