旋转扫描超声心脏图像的三维直接匹配插值
作者:杨晓梅 汪天富 郑昌琼 郑翊 李德玉
单位:杨晓梅(四川大学 生物医学工程中心,成都 610065);汪天富(四川大学 生物医学工程中心,成都 610065);郑昌琼(四川大学 生物医学工程中心,成都 610065);李德玉(四川大学 生物医学工程中心,成都 610065);郑翊(Department of Electrical Engineering, Minnesota State University St.Cloud MN 56301,USA)
关键词:旋转扫描超声心脏图像;空体元;直接匹配插值
生物医学工程学杂志000111 摘 要:针对一组相互相交且空间呈一定角度排列的非并行二维心脏图像,提出了不同于传统插值方法的(对体元的)三维直接匹配插值法。插值时,首先获取各二维断层图像,确定各断层图像内“空体元”的三维空间位置;其次构造立方柱体,通过“空体元”的匹配像素块在柱体与最近邻原始图像相交的上下窗口内寻找运动轨迹;最后基于匹配块对“空点”进行插值。该方法将传统层间插值方法的两次插值过程简化为一次插值过程,从而获取系列的断层图像,并克服了传统层间插值方法所带来的图像信息相互重叠的缺陷;实验证明基于匹配关系的插值,将改善图像插值的准确性和合理性。
, 百拇医药
3-D Direct Matching Interpolation for Rotary Scanning
Echo-cardial Images
Yang Xiaomei Wang Tianfu Zheng Changqiong Li Deyu
(Center of Biomedical Engineering, Sichuan University, Chengdu 610065)
Zheng Yi
(Department of Electrical Engineering, Minnesota State University St. Cloud MN 56301, USA)
, 百拇医药
Abstract:In the present paper, a method of three dimension direct matching interpolation for a series of 2-D echo-cardial images with intersecting each other and arranging at an angle in space has been developed. It is different from the conventional interpolation. During the interpolation, sectional images are acquired and the 3-D spatial position of "empty voxel" in sectional images is located; secondly, the cubic volume is constructed, and the motion orbit of images between two windows where the nearest original image intersects to the volume is found up, passing through the "empty voxel"; In the end, based on the matching pixels, the "empty voxel" is interpolated. This method simplifies the two interopolating procedures of the conventional methods into one procedure, and overcomes the shortcoming of the overlap of image data. Experiments show that the accuracy and reasonability of interpolation can be improved by the proposed method.
, http://www.100md.com
Key words:Rotary scanning echo-cardial image Empty voxel 3-D direct matching interpolation▲
1 引 言
食管导入旋转扫描超声成像设备因其探头导入人体体内,可近距离地旋转扫描各组织器官,所获取的超声图像相对于体外断层扫描超声图像[1],具有噪声小、清晰度高、图像质量好的特点,基于这些超声图像的三维重建与显示更能准确地显示出组织器官的结构与功能。在三维重建及显示过程中,当图像间距比每幅图像内的像素间距大时,则需用图像插值的方法在原始图像之间再生成一些中间插值图像,以满足三维重建及显示方法中体数据是各向同性的要求。
本文针对一组相互相交于中心轴且空间呈一定角度排列的非并行二维超图像,提出了不同于传统插值方法的三维直接匹配插值法:首先基于非平行原始图像获取各二维断图像,对每一断层图像内的“空体元”,确定其三维空间位置;其次构造包含该“空体元”的立方柱体,在柱体与最近邻原始图像相交的上下窗口内寻找运动轨迹通过“空体元”的匹配像素块;最后基于使代价函数最小的匹配块对“空体元”进行插值。该方法将传统层间插值方法的两次插值过程简化为一次插值过程,便可获取系列的断层图像,并克服了传统插值方法造成的图像信息相互掩盖的缺陷;基于匹配关系的插值,将改善图像插值的准确性和合理性。
, http://www.100md.com
2 方 法
旋转扫描超声成像设备的探头经食管导入体内,固定于组织器官的某近距离位置上,按一定的弧度旋转探头扫描组织器官,输出的是一组有共同中心轴且空间呈一定角度排列的二维切片图像,如图1所示。为获取各向同性的体数据,若采用传统的层间插值方法[2~5],生成新的二维内插图像,如图1所示的New1、New2……New n。由于原始图像相互不平行,随着插值数目的增加,在中心轴附近的区域,内插图像相互重叠,造成信息的相互掩盖,且增加不必要的运算量;而在远离中心轴的区域,即使内插图像增加,总遗留下一些“空体元”。对于这些层间插值遗留的“空体元”,还必须在沿中心轴(Y轴)方向得到的各平行二维断层图像中,再经过一次插值过程,估计其灰度值。由此可见,采用传统的层间插值法,必须经过两次插值过程才能完全填充物体的三维空间,并伴有计算量大,过程复杂,信息相互重叠的缺点。
, http://www.100md.com
图1 二维超声图像空间位置示意图
Fig 1 Space position of 2-dimension ultrasound image
对于图1所示的N幅(m×n)二维旋转扫描图像,已知各幅图像的空间角度为θ0、θ1…θN。文中所提出的三维直接匹配插值方法的具体步骤如下:
2.1 断层图像的获取
在图1中,沿中心轴Y方向,基于N幅原始图像可得m幅平行于XZ平面的断层图像。
2.2 三维柱体的构造与计算
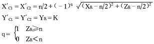
对第K层断层图像的每一“空体元”A(Xa,K,Za)。
, 百拇医药
2.2.1 确定与A紧邻的两幅原始图像 如图2所示,A介于原始图像1与原始图像2之间。
图2 三维弧形柱体
Fig 2 3-dimesion arcuate column
2.2.2 构造三维弧形柱体 在三维空间中,为寻找运动轨迹经过A点的匹配像素,构造中心线穿过A点的三维柱体。柱体的形状与物体的形状有关,考虑到对心脏图像的插值,因而将柱体设计为弧形,如图2所示。在弧形柱体与最近邻原始图像1和2相交的w×w窗口内寻找匹配点。在中心轴附近,层间间距较小,相邻原始图像的差异不大,可选择较小的窗口值;而在远离中心轴区域,层间间距较大,相应地相邻原始图像的差异也较大,应选择较大的窗口值,且w为奇数值。
2.2.3 计算匹配候选块的空间位置 在图2中,设经点A(Xa,Ya,Za)的圆弧中心线与最近邻原始图像1和2的交点为C1和C2。C1、C2在各自图像的二维坐标系X′Y′中的相对位置为(X′C1,Y′C1)和(X′C2,Y′C2),且存在如下关系式:
(1)
, 百拇医药
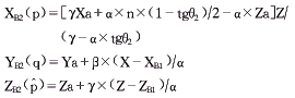
为使插值准确,在弧形柱体的上下窗口内各选择相互匹配的4个邻域像素点,用于插值A(Xa,Ya,Za)。在以C1(X′C1,Y′C1)为中心的w×w窗口内,沿X′、Y′方向移动2 ×2的小方块,各小方块的中心为B1(X′B1(p),Y′B1(q))。
(2)
本文中,假设像素点的运动轨迹近似为直线运动。B1(X′B1(p),Y′B1(q))与A的连线L与原始图像2相交于B2(X′B2(p),Y′B2(q)),则以B2为中心的2×2的小方块与以B1为中心的2×2的小方块将作为下一步匹配插值的候选块。根据原始图像1的空间角度将点B1(X′B1(p),Y′B1(q)的二维坐标转换为三维坐标B1(XB1(p),YB1(q),ZB1(p))。直线L[6]的方程可表示为:
(3)
, http://www.100md.com
其中:α=(XB1(p)-Xa)/d;β=(YB1(q)-Ya)/d;γ=(ZB1(p)-Za)/d;Ya=k,d为B1与A点之间的三维欧氏距离。联立求解式(3)与原始图像2的空间位置关系式(4),可求取B2(XB2(p),YB2(q),ZB2(p))的三维坐标。
(4)
B2的三维坐标为:
(5)
为获取B2的灰度信息,还需依照式(1)的关系,将三维坐标再转换为原始图像2中的二维相对坐标B2(X′B2(p),Y′B2(q))。若X′B2(p),Y′B2(q)满足以下的条件:
, http://www.100md.com
|X′B2(p)-X′C2|<(w-1)/2
且|Y′B2(q)-Y′C2|<(w-1)/2 (6)
说明B2位于以C2(X′C2,Y′C2)为中心的W×W窗口内,则以B1和B2为中心的2×2小方块作为匹配插值的侯选对;若B2在窗口外,则放弃B1和B2的侯选资格。
2.3 匹配块的确定
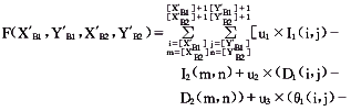
依据以B1和B2为中心的2×2小 方块中各像素点间的灰度、灰度梯度及梯度方向信息,构造代价函数F:
(7)
, http://www.100md.com
式中I1、D1、θ1分别为原始图像1中像素(i,j)的灰度值、X′和Y′方向的最大梯度值以及梯度方向;相应地I2、D2、θ2为原始图像2中像素(m,n)的灰度值、X′和Y′方向的最大梯度值以及梯度方向。在N(≤p×q)对匹配侯选块中,选择使代价函数最小的其中一对小方块插值“空体元”A,小方块的中心分别为B1
和B2
。
]
3 实验结果与讨论
用本匹配插值法对超声心脏图像进行插值,该原始图像用食管导入旋转扫描猪心获取。用如图3所示的8幅(269×214)的二维原始图像,图像的纵向中线为中心轴,空间角度间隔Δθ=θj+1-θj=22.5°(j=0,1,…7),采用上述方法,寻找到运动轨迹经过断层图像“空点”A的匹配对后,再使用如下的方法对A点进行插值。图中不同的灰度值代表不同的物体,灰度值小的物体位于灰度值大的物体内。
, 百拇医药
3.1 八点距离加权
(8)
D1、D2为空体元”A到B1和B2的三维欧氏距离
3.2 三次样条插值
采用同样的方法,在原始图像O中找寻B1的匹配点B0,在原始图像3中找B2的匹配点B3,用3次样条插值A点。
图3 旋转扫描图像的空间角度(从左到右分别为0°、22.5°、45°、67.5°、90°、112.5°、135°、157.5°)
, 百拇医药
Fig 3 Space angles of rotary scanning image(from left to right respectively are:0°、22.5°、45°、67.5°、90°、112.5°、135°、157.5°)
图4 插值图像(左)、实际断层图像(中)和两者的差值图像(右)(K=165 and K=140)
Fig 4 Images of Interpolation(lef) and practical faultage(middle), and the difference images between both (right)(K=165 and K=140)
上述插值方法在不同窗口大小时插值断层图像与实际断层图像之间的差异列于表1,(以像素点的多少加以区别)。随着窗口的增大,插值断层图像与实际断层图像之间的差异逐渐减小,这是因为当层间距变大时,需要在较大的窗口内才能找到匹配对。次外,3次样条插值的结果稍好于八点距离加权的插值结果,但没有明显的改善效果,主要因为在插值过程中,我们假设匹配像素点的运动轨迹为直线运动,而非实际的弧形运动,虽然3次样条插值能产生光滑的曲线,但也无能为力。图4为K=140和K=165时的插值断层图像与实际断层图像以及两者的差异图像。从图中可以看出,采用我们所提出的插值方法,基于少量的原始图像信息,便可获得良好的插值断层图像。只是在物体的弧形边缘,插值断层图像用直线代替弧形,从而相异于实际断层图像,这将作为我们以后所要解决的问题。图5为探头绕中心轴以22.5°的间隔旋转扫描猪心180°所获取的8幅原始图像(269×214),采用文中所述的三维直接匹配插值方法,3次样条插值形成的第70层、第107层和第140层心脏超声断层图像如图6所示。
, 百拇医药
表1 插值断层图象与实际断层图像之间的差异
Table 1 Difference between interpolation and practical faultage images
像素点
断层图像
窗口大小
八点距离加权
三次样条插值
K=140
Wsize=9
839
852
, 百拇医药
Wsize=15
811
806
Wsize=21
800
787
K=165
Wsize=5
441
436
Wsize=9
407
392
, 百拇医药
Wsize=15
418
378
图5 旋转扫描超声心脏图像(从左到右的空间角度为:0°、22.5°、45°、67.5°、90°、112.5°、135°、157.5°)
Fig 5 Rotary scanning echo-cardial images (space angles from left to right respectively are:0°、22.5°、45°、67.5°、90°、112.5°、135°、157.5°)
图6 插值生成的第70、170、140层超声心脏图像(从左到右)
, http://www.100md.com
Fig 6 The 70th, 170th and 140th echo-cardial image interpolated by proposed method (from left to rigth)
4 结 论
本文所提出的三维直接匹配插值方法,能基于少量的二维旋转扫描图像信息,通过1次插值过程便可获得良好的插值断层图像,相对于传统的层间插值方法,具有插值过程简单,插值效果良好的优点;实验证明基于匹配关系的插值,将改善图像插值的准确性和合理性。
基金项目:国家自然科学基金资助课题(69631021)
参考文献:
[1]Smith SW, Pavy HG, von Ramm OT. High Speed ultrasound volumetric imaging system Part I: Transducer designed and beam steering. IEEE Trans on Ultra Ferr and Fes Control, 1991;38(2)
, 百拇医药
[2]Parrott RW, Stytz MR, Amburn P et al. Toward statistically optimal interpolation for 3 D medical imaging. IEEE Eng Med Biol Soc Mag, 1993; 12(3)∶49
[3]Goshtasby A, Turner DA, Ackeman LV. Matching of tomographic slice for interpolation. IEEE Trans on Med Imaging, 1992; 11(4)
[4]Chen SY, Lin WC, Liang CC et al. Improvement on dynamic elastic interpolation technique for constructing 3D objects from serial cross sections. IEEE Trans on Med Imaging, 1990; 9(1)
[5]Heman GT, Zheng J and Bucholtz CA. Shape-based interpolation. IEEE Comput Graph Applicat, 1992;12(3)∶32
[6]Higgins WE, Orlick CJ, and Ledell BE. Nonlinear filtering approach to 3D gray scale image interpolation. IEEE Trans on Med. Imaging, 1996; 15(4)
收稿日期:1999-11-18, 百拇医药
单位:杨晓梅(四川大学 生物医学工程中心,成都 610065);汪天富(四川大学 生物医学工程中心,成都 610065);郑昌琼(四川大学 生物医学工程中心,成都 610065);李德玉(四川大学 生物医学工程中心,成都 610065);郑翊(Department of Electrical Engineering, Minnesota State University St.Cloud MN 56301,USA)
关键词:旋转扫描超声心脏图像;空体元;直接匹配插值
生物医学工程学杂志000111 摘 要:针对一组相互相交且空间呈一定角度排列的非并行二维心脏图像,提出了不同于传统插值方法的(对体元的)三维直接匹配插值法。插值时,首先获取各二维断层图像,确定各断层图像内“空体元”的三维空间位置;其次构造立方柱体,通过“空体元”的匹配像素块在柱体与最近邻原始图像相交的上下窗口内寻找运动轨迹;最后基于匹配块对“空点”进行插值。该方法将传统层间插值方法的两次插值过程简化为一次插值过程,从而获取系列的断层图像,并克服了传统层间插值方法所带来的图像信息相互重叠的缺陷;实验证明基于匹配关系的插值,将改善图像插值的准确性和合理性。
, 百拇医药
3-D Direct Matching Interpolation for Rotary Scanning
Echo-cardial Images
Yang Xiaomei Wang Tianfu Zheng Changqiong Li Deyu
(Center of Biomedical Engineering, Sichuan University, Chengdu 610065)
Zheng Yi
(Department of Electrical Engineering, Minnesota State University St. Cloud MN 56301, USA)
, 百拇医药
Abstract:In the present paper, a method of three dimension direct matching interpolation for a series of 2-D echo-cardial images with intersecting each other and arranging at an angle in space has been developed. It is different from the conventional interpolation. During the interpolation, sectional images are acquired and the 3-D spatial position of "empty voxel" in sectional images is located; secondly, the cubic volume is constructed, and the motion orbit of images between two windows where the nearest original image intersects to the volume is found up, passing through the "empty voxel"; In the end, based on the matching pixels, the "empty voxel" is interpolated. This method simplifies the two interopolating procedures of the conventional methods into one procedure, and overcomes the shortcoming of the overlap of image data. Experiments show that the accuracy and reasonability of interpolation can be improved by the proposed method.
, http://www.100md.com
Key words:Rotary scanning echo-cardial image Empty voxel 3-D direct matching interpolation▲
1 引 言
食管导入旋转扫描超声成像设备因其探头导入人体体内,可近距离地旋转扫描各组织器官,所获取的超声图像相对于体外断层扫描超声图像[1],具有噪声小、清晰度高、图像质量好的特点,基于这些超声图像的三维重建与显示更能准确地显示出组织器官的结构与功能。在三维重建及显示过程中,当图像间距比每幅图像内的像素间距大时,则需用图像插值的方法在原始图像之间再生成一些中间插值图像,以满足三维重建及显示方法中体数据是各向同性的要求。
本文针对一组相互相交于中心轴且空间呈一定角度排列的非并行二维超图像,提出了不同于传统插值方法的三维直接匹配插值法:首先基于非平行原始图像获取各二维断图像,对每一断层图像内的“空体元”,确定其三维空间位置;其次构造包含该“空体元”的立方柱体,在柱体与最近邻原始图像相交的上下窗口内寻找运动轨迹通过“空体元”的匹配像素块;最后基于使代价函数最小的匹配块对“空体元”进行插值。该方法将传统层间插值方法的两次插值过程简化为一次插值过程,便可获取系列的断层图像,并克服了传统插值方法造成的图像信息相互掩盖的缺陷;基于匹配关系的插值,将改善图像插值的准确性和合理性。
, http://www.100md.com
2 方 法
旋转扫描超声成像设备的探头经食管导入体内,固定于组织器官的某近距离位置上,按一定的弧度旋转探头扫描组织器官,输出的是一组有共同中心轴且空间呈一定角度排列的二维切片图像,如图1所示。为获取各向同性的体数据,若采用传统的层间插值方法[2~5],生成新的二维内插图像,如图1所示的New1、New2……New n。由于原始图像相互不平行,随着插值数目的增加,在中心轴附近的区域,内插图像相互重叠,造成信息的相互掩盖,且增加不必要的运算量;而在远离中心轴的区域,即使内插图像增加,总遗留下一些“空体元”。对于这些层间插值遗留的“空体元”,还必须在沿中心轴(Y轴)方向得到的各平行二维断层图像中,再经过一次插值过程,估计其灰度值。由此可见,采用传统的层间插值法,必须经过两次插值过程才能完全填充物体的三维空间,并伴有计算量大,过程复杂,信息相互重叠的缺点。
, http://www.100md.com
图1 二维超声图像空间位置示意图
Fig 1 Space position of 2-dimension ultrasound image
对于图1所示的N幅(m×n)二维旋转扫描图像,已知各幅图像的空间角度为θ0、θ1…θN。文中所提出的三维直接匹配插值方法的具体步骤如下:
2.1 断层图像的获取
在图1中,沿中心轴Y方向,基于N幅原始图像可得m幅平行于XZ平面的断层图像。
2.2 三维柱体的构造与计算
对第K层断层图像的每一“空体元”A(Xa,K,Za)。
, 百拇医药
2.2.1 确定与A紧邻的两幅原始图像 如图2所示,A介于原始图像1与原始图像2之间。
图2 三维弧形柱体
Fig 2 3-dimesion arcuate column
2.2.2 构造三维弧形柱体 在三维空间中,为寻找运动轨迹经过A点的匹配像素,构造中心线穿过A点的三维柱体。柱体的形状与物体的形状有关,考虑到对心脏图像的插值,因而将柱体设计为弧形,如图2所示。在弧形柱体与最近邻原始图像1和2相交的w×w窗口内寻找匹配点。在中心轴附近,层间间距较小,相邻原始图像的差异不大,可选择较小的窗口值;而在远离中心轴区域,层间间距较大,相应地相邻原始图像的差异也较大,应选择较大的窗口值,且w为奇数值。
2.2.3 计算匹配候选块的空间位置 在图2中,设经点A(Xa,Ya,Za)的圆弧中心线与最近邻原始图像1和2的交点为C1和C2。C1、C2在各自图像的二维坐标系X′Y′中的相对位置为(X′C1,Y′C1)和(X′C2,Y′C2),且存在如下关系式:
, 百拇医药
为使插值准确,在弧形柱体的上下窗口内各选择相互匹配的4个邻域像素点,用于插值A(Xa,Ya,Za)。在以C1(X′C1,Y′C1)为中心的w×w窗口内,沿X′、Y′方向移动2 ×2的小方块,各小方块的中心为B1(X′B1(p),Y′B1(q))。
本文中,假设像素点的运动轨迹近似为直线运动。B1(X′B1(p),Y′B1(q))与A的连线L与原始图像2相交于B2(X′B2(p),Y′B2(q)),则以B2为中心的2×2的小方块与以B1为中心的2×2的小方块将作为下一步匹配插值的候选块。根据原始图像1的空间角度将点B1(X′B1(p),Y′B1(q)的二维坐标转换为三维坐标B1(XB1(p),YB1(q),ZB1(p))。直线L[6]的方程可表示为:
, http://www.100md.com
其中:α=(XB1(p)-Xa)/d;β=(YB1(q)-Ya)/d;γ=(ZB1(p)-Za)/d;Ya=k,d为B1与A点之间的三维欧氏距离。联立求解式(3)与原始图像2的空间位置关系式(4),可求取B2(XB2(p),YB2(q),ZB2(p))的三维坐标。
B2的三维坐标为:
为获取B2的灰度信息,还需依照式(1)的关系,将三维坐标再转换为原始图像2中的二维相对坐标B2(X′B2(p),Y′B2(q))。若X′B2(p),Y′B2(q)满足以下的条件:
, http://www.100md.com
|X′B2(p)-X′C2|<(w-1)/2
且|Y′B2(q)-Y′C2|<(w-1)/2 (6)
说明B2位于以C2(X′C2,Y′C2)为中心的W×W窗口内,则以B1和B2为中心的2×2小方块作为匹配插值的侯选对;若B2在窗口外,则放弃B1和B2的侯选资格。
2.3 匹配块的确定
依据以B1和B2为中心的2×2小 方块中各像素点间的灰度、灰度梯度及梯度方向信息,构造代价函数F:
, http://www.100md.com
式中I1、D1、θ1分别为原始图像1中像素(i,j)的灰度值、X′和Y′方向的最大梯度值以及梯度方向;相应地I2、D2、θ2为原始图像2中像素(m,n)的灰度值、X′和Y′方向的最大梯度值以及梯度方向。在N(≤p×q)对匹配侯选块中,选择使代价函数最小的其中一对小方块插值“空体元”A,小方块的中心分别为B1
3 实验结果与讨论
用本匹配插值法对超声心脏图像进行插值,该原始图像用食管导入旋转扫描猪心获取。用如图3所示的8幅(269×214)的二维原始图像,图像的纵向中线为中心轴,空间角度间隔Δθ=θj+1-θj=22.5°(j=0,1,…7),采用上述方法,寻找到运动轨迹经过断层图像“空点”A的匹配对后,再使用如下的方法对A点进行插值。图中不同的灰度值代表不同的物体,灰度值小的物体位于灰度值大的物体内。
, 百拇医药
3.1 八点距离加权
D1、D2为空体元”A到B1和B2的三维欧氏距离
3.2 三次样条插值
采用同样的方法,在原始图像O中找寻B1的匹配点B0,在原始图像3中找B2的匹配点B3,用3次样条插值A点。
图3 旋转扫描图像的空间角度(从左到右分别为0°、22.5°、45°、67.5°、90°、112.5°、135°、157.5°)
, 百拇医药
Fig 3 Space angles of rotary scanning image(from left to right respectively are:0°、22.5°、45°、67.5°、90°、112.5°、135°、157.5°)
图4 插值图像(左)、实际断层图像(中)和两者的差值图像(右)(K=165 and K=140)
Fig 4 Images of Interpolation(lef) and practical faultage(middle), and the difference images between both (right)(K=165 and K=140)
上述插值方法在不同窗口大小时插值断层图像与实际断层图像之间的差异列于表1,(以像素点的多少加以区别)。随着窗口的增大,插值断层图像与实际断层图像之间的差异逐渐减小,这是因为当层间距变大时,需要在较大的窗口内才能找到匹配对。次外,3次样条插值的结果稍好于八点距离加权的插值结果,但没有明显的改善效果,主要因为在插值过程中,我们假设匹配像素点的运动轨迹为直线运动,而非实际的弧形运动,虽然3次样条插值能产生光滑的曲线,但也无能为力。图4为K=140和K=165时的插值断层图像与实际断层图像以及两者的差异图像。从图中可以看出,采用我们所提出的插值方法,基于少量的原始图像信息,便可获得良好的插值断层图像。只是在物体的弧形边缘,插值断层图像用直线代替弧形,从而相异于实际断层图像,这将作为我们以后所要解决的问题。图5为探头绕中心轴以22.5°的间隔旋转扫描猪心180°所获取的8幅原始图像(269×214),采用文中所述的三维直接匹配插值方法,3次样条插值形成的第70层、第107层和第140层心脏超声断层图像如图6所示。
, 百拇医药
表1 插值断层图象与实际断层图像之间的差异
Table 1 Difference between interpolation and practical faultage images
像素点
断层图像
窗口大小
八点距离加权
三次样条插值
K=140
Wsize=9
839
852
, 百拇医药
Wsize=15
811
806
Wsize=21
800
787
K=165
Wsize=5
441
436
Wsize=9
407
392
, 百拇医药
Wsize=15
418
378
图5 旋转扫描超声心脏图像(从左到右的空间角度为:0°、22.5°、45°、67.5°、90°、112.5°、135°、157.5°)
Fig 5 Rotary scanning echo-cardial images (space angles from left to right respectively are:0°、22.5°、45°、67.5°、90°、112.5°、135°、157.5°)
图6 插值生成的第70、170、140层超声心脏图像(从左到右)
, http://www.100md.com
Fig 6 The 70th, 170th and 140th echo-cardial image interpolated by proposed method (from left to rigth)
4 结 论
本文所提出的三维直接匹配插值方法,能基于少量的二维旋转扫描图像信息,通过1次插值过程便可获得良好的插值断层图像,相对于传统的层间插值方法,具有插值过程简单,插值效果良好的优点;实验证明基于匹配关系的插值,将改善图像插值的准确性和合理性。
基金项目:国家自然科学基金资助课题(69631021)
参考文献:
[1]Smith SW, Pavy HG, von Ramm OT. High Speed ultrasound volumetric imaging system Part I: Transducer designed and beam steering. IEEE Trans on Ultra Ferr and Fes Control, 1991;38(2)
, 百拇医药
[2]Parrott RW, Stytz MR, Amburn P et al. Toward statistically optimal interpolation for 3 D medical imaging. IEEE Eng Med Biol Soc Mag, 1993; 12(3)∶49
[3]Goshtasby A, Turner DA, Ackeman LV. Matching of tomographic slice for interpolation. IEEE Trans on Med Imaging, 1992; 11(4)
[4]Chen SY, Lin WC, Liang CC et al. Improvement on dynamic elastic interpolation technique for constructing 3D objects from serial cross sections. IEEE Trans on Med Imaging, 1990; 9(1)
[5]Heman GT, Zheng J and Bucholtz CA. Shape-based interpolation. IEEE Comput Graph Applicat, 1992;12(3)∶32
[6]Higgins WE, Orlick CJ, and Ledell BE. Nonlinear filtering approach to 3D gray scale image interpolation. IEEE Trans on Med. Imaging, 1996; 15(4)
收稿日期:1999-11-18, 百拇医药