氧化钛薄膜的血液相容性机理探讨
作者:张峰 李昌荣 王向晖 郑志宏 柳襄怀
单位:(中国科学院上海冶金研究所 离子束开放研究实验室,上海 200050)
关键词:氧化钛薄膜;血液相容性;离子束增强沉积
生物医学工程学杂志000208 摘要 考察了影响氧化钛薄膜血液相容性的因素,提出了对血液相容性机理的看法,认为血液相容性是表面能和功函数共同作用的结果。表面能决定蛋白质吸附,而功函数决定蛋白质分解,并给出了一个表面能区域。指出一个良好血液相溶性材料,不仅要有合适的表面能,还要有较小的功函数。
Study on the Mechanism of Hemocompatibility of Titanium Oxide Films
Zhang Feng Li Changrong Wang Xianghui Zheng Zhihong Liu Xianghuai
, 百拇医药
(Ion Beam Laboratory,Shanghai Institute of Metallurgy, Chinese Academy of Sciences,Shanghai 200050)
Abstract In tihs paper a study on the facts affecting blood compatibility of titanium oxide films synthesized by ion beam assisted deposition is presented,and the mechanism of blood compatibility is discussed.We think that the blood compatibility is determined by surface energy and work function of the film.The protein adsorption is determined by surface energy.An area with a range of values of polar and dispersion components of surface energies,where good protein adsorption property will exhibit,was defined.That is, more human serum albumin(HSA)and less human fibrinogen (HFG)will be adsorbed in this area.Work function is also an important factor to influence blood compatibility.Low work function can inhibit the decomposition of HFG and improve thromboresistance.
, 百拇医药
Key words Titanium oxide films Hemocompatibility Ion beam assisted deposition
1 引 言
与血液直接接触的生物材料不仅需要良好的机械性能,更需要优异的血液相容性。到目前为止,人们作了各种努力,希望制备出不会导致血栓的生物材料,也取得了一些进展。但是人造生物材料的血液相容性还远没有接近生物内皮组织。
对材料的表面性质与血液相容性之间的关系,已经提出了多种解释,这些解释主要从材料的两个基本特性出发,即表面能和表面电荷。从表面能出发,对血液相容性进行解释又形成许多不同的观点[1],所有这些假设都只能解释部分实验事实。
从表面电荷出发,也对血液相容性提出了解释。其中具有代表性的Schaldach等[2,3]提出了电化学理论,对具有半导体特性的生物材料的血液相容性进行了解释。它主要是从抑制纤维蛋白原的电荷转移、分解,从而激活凝血过程出发,用能带理论提出具有良好血液相容性的生物材料应具备的条件。认为生物材料必须具备N型半导体特性。它对用陶瓷工艺烧结的金红石型氧化钛的血液相容性进行了较好的解释。发现Ta5+掺杂的金红石型氧化钛陶瓷的血液相容性大大超过未掺杂的陶瓷[4]。一般来说,同种烧结材料的晶体结构无择优取向,因此表面能不会相差太大。可以用电学性能进行良好解释。如对于具有不同表面能的材料,这个解释可能片面,因为蛋白质吸附也是影响血液相容性的关键因素。为此我们考察了影响离子束辅助沉积制备的具有不同表面能、电学性能的氧化钛薄膜血液相容性的影响因素。
, 百拇医药
2 实验过程
离子束增强沉积TiO2薄膜是在从美国进口的EATONZ-200离子束混合淀积装置上进行的。在氧气氛中,通过惰性气体Xe+离子轰击和Ti的电子束蒸发进行TiO2薄膜的合成。在薄膜制备过程中,基础真空为7~8×10-7Torr,进入O2后真空为6.5~11×10-6Torr,所用的Xe+离子能量为40 keV,束流密度为40 μA/cm2,Ti的蒸发速率为0.4 nm/s。离子束和蒸发束与靶面法线的夹角均为45°;Ti的蒸发速率通过一石英振荡器进行精确控制;离子束的束流密度由一个法拉第杯测定。衬底材料采用石墨、Si片、钛合金和热解碳。薄膜的厚度为500 nm。0/Ti的比例通过控制钛的蒸发速率和氧气的压力实现。
薄膜的成分用俄歇电子能谱(AES)、X射线光电子能谱(XPS)及Rutherford背散射技术(RBS)测量。用X射线衍射仪(XRD)测定薄膜的结构,用接触角测量法确定薄膜的表面能[5]。材料的血液相容性采用血小板粘附试验及动态凝血时间测定。血小板粘附试验所用的血液为人血[6],通过离心作用分离出富含血小板的血浆,把它滴于试样表面,在恒温箱中经37 ℃保温1 h后,洗涤、固定粘附于样品表面的血小板,用临界点干燥器干燥后,镀金,用光学显微镜及扫描电镜观察血小板形貌、聚集等,并且随机选择10~20个视场进行试样表面血小板粘附率统计。动态凝血时间测试过程如下[7]:用注射器从兔子心脏中抽取一定量的血液血液(约5 ml),在测试样品上滴0.05 ml新鲜血液,静置一定时间,然后把样品转移至烧杯中,并在烧杯中加入25 ml蒸馏水,未凝固在样品上的红细胞将起溶血反应,自由的血红蛋白将均匀分散于水中,溶于水中的血红蛋白的浓度用分光光度计测量(波长540 nm)其吸光度来表征,在测试过程中,热解碳、玻璃及钛合金作为参照样品同时测量。同时为了使测量结果可靠,每个时间点测3个样品,取其平均值。
, 百拇医药
3 结果与讨论
3.1 影响氧化太薄膜血液相容性的因素
我们分析了表面能和电学性能对氧化钛薄膜血液相容性的影响。由于所制备的薄膜,表面粗糙度基本一致,不考虑其对血液相容性的影响。
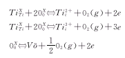
首先比较了具有相同表面能,不同成分的氧化钛薄膜的抗凝血性能。所制备的薄膜为(100)择优取向的金红石型氧化钛薄膜。表面能测试表明,其表面能的各分量基本相同,样品A以散分量α=5.79(dyn/cm)1/2,极化分量β=2.94(dyn/cm)1/2,用XPS测试表明成分0/Ti为1.62。样品B色散分量α=5.73(dyn/cm)1/2,极化分量β=2.94(dyn/cm)1/2,用XPS测试表明成分0/Ti为1.75。对其血液相容性用动态凝血时间和血小板粘附进行表征。动态凝血时间测试结果如图1所示,血小板粘附结果如图2所示。对具有(100)择优取向氧化钛薄膜,0/Ti比较小的样品,凝血时间较长,在样品表面粘附的血小板数目和聚集也较少,表现出较好的血液相容性。在氧化钛薄膜中,0/Ti比较小会造成钛填隙和氧空位,其点缺陷方程可表示如下[8]:
, http://www.100md.com
从缺陷方程中可以看出,0/Ti比比较小的样品表现为N型半导体特性。当氧分压较小时,易出现Ti2+、Ti3+及氧缺位(这与XPS分析结果一致)使载流子浓度增加,费米能级也越接近导带。也就是说,载流子浓度越大,血液相容性也越好,这个结果与Schaldach等对氧化钛陶瓷血液相容性的研究结果一致。
在固定材料的0/Ti比,即在相同的电学性能下,分析表面能对血液相容性的影响。我们比较了非晶氧化钛和具有(100)择优取向氧化钛薄膜的血液相容性。(100)择优取向样品即为样品A。非晶样品(样品C)在制备时,除了较低衬底温度外,其它制备条件不变,制备的样品表面能色散分量为α=6.36(dyn/cm)1/2,极化分量β=2.27(dyn/cm)1/2。动态凝血时间如图1,可以看出,(100)取向的氧化钛薄膜具有较长的凝血时间,血小板粘附试验也表明,有较少的血小板粘附和聚集,血液相容性较好。
, 百拇医药
图1 不同状态的氧化钛薄膜的吸光度-时间曲线
Fig 1 The blood clotting profiles on various material surfaces
图2 样品A和样品B上的血小板粘附扫描电镜照片
Fig 2 Scanning electron micrographs of platelets spread on samples A and B
从上述实验结果,表明对于氧化太薄膜,不仅其电学性能影响血液相容性,表面能对血液相容性也有较大的影响。根据这些实验结果,对血液相容性机理进行了探讨。
3.2 氧化钛薄膜的血液相容性机理探讨
, 百拇医药
材料与血液接触以后,第一个过程是血浆蛋白在材料表面的吸附,吸附蛋白层将决定材料的血液相容性[9,13]。白蛋白在生物材料的表面大量吸附,可以减少血小板在表面的粘附,从而延长材料的凝血时间。纤维蛋白在生物材料的表面吸附后,不仅自身会参加凝血过程,而且会增加血小板在材料表面的粘附和激活,导致凝血。研究表明,纤维蛋白原通过下列过程被激活[2]:纤维蛋白原在材料表面吸附后,向材料表面转移电子,分解成纤维蛋白单体和纤维蛋白肽,纤维蛋白单体之间将结合成中间聚合物,并激活凝血过程,导致凝血。所以,一个好的生物材料需要良好的蛋白吸附特性,即最好只吸附白蛋白而不吸附纤维蛋白原。但一般来说,这两种蛋白总是同时吸附于生物材料表面。所以,少吸附纤维蛋白原是对生物材料的首要目标。纤维蛋白原吸附后,如何延长它的分解时间也是延长凝血时间的有效手段。
以往在对血液相容性进行解释时,往往考虑一个影响因素,使所得到的结论只能解释部分实验现象。我们认为对生物材料,其血液相容性是表面能和电学性能同时起作用的。表面能决定材料表面蛋白质的吸附量、吸附的稳定性、吸附后对血小板粘附的影响,以及吸附后蛋白质的构型是否发生变化。蛋白质吸附以后,如何延缓其电荷转移、蛋白质的分解、凝血过程的激活,主要由材料的电学性能决定。
, 百拇医药
首先考察表面能。合适的表面能应使吸附的白蛋白较多且较稳定,使吸附的纤维蛋白原较少,且不使其构型发生变化。由于蛋白质的吸附直接与界面力相关,用界面力表征蛋白质的吸附。我们根据前人及自己的工作,估计了表面能的范围。根据我们的实验发现,白蛋白在纯钛表面吸附后,其吸附较不稳定,而界面力比它稍大的氧化钛材料表面有较稳定的蛋白吸附特性。因此,假设生物材料与白蛋白的界面力(γiHSA)应大于纯钛与白蛋白的界面力(5.5dyn/cm)。对于生物材料与纤维蛋白原的界面力(γiHFG),应尽量小。根据文献,热解碳表面纤维蛋白原吸附后,其构型会发生变化[10],因而假设生物材料与纤维蛋白原的作用应以此为极限,小于此界面力(25dyn/cm)。白蛋白和纤维蛋白原的表面能值由文献[11]提供。对Kaeble[5]提供的190种生物材料的表面能分析发现,绝大部分生物材料的表面能在20~50(dyn/cm)之间,而且表面能的色散分量大于极化分量,根据上述假设,我们列出了下列方程:
, http://www.100md.com
γiHFG=(αi-4.972)2+(βi-6.346)2≤25
γiHSA=(αi-5.602)2+(βi-5.798)2≥5.5
20≤γS=α2i+β2i≤50
αi≥βi≥0
由4个方程定出了一个适合蛋白质吸附的表面能区域,如图3所示。如果一个生物材料的表面能位于C点,那么AC代表白蛋白与生物材料的界面力(γiHSA=AC2),BC代表纤维蛋白原与生物材料的界面力(γiHFG=BC2)。因而可以比较直观地了解生物材料的蛋白吸附特性。AC越大,吸附的白蛋白越多、越稳定,BC越小,吸附的纤维蛋白原越少。如在HSA/HFG两元体系竞争吸附时,要择优吸附白蛋白,还需要有较大的AC/BC值。
, http://www.100md.com
图3 具有较好蛋白质吸附特性的表面能区域
Fig 3 An area comprises a range of values of surface energy components which exhibit good protein adsorption property
在这个表面能范围里,我们讨论了3个较有代表性的生物材料。热解碳生物材料位于区域Ⅰ,在这个区域里的生物材料,与白蛋白和纤维蛋白原的作用都比较强烈。由于血液中白蛋白的含量大大高于其它蛋白质,因而表面被大量的白蛋白所覆盖,表现出较好的血液相容性。非晶氧化钛也在这个区域里,也表现出较好的血液相容性。具有(100)择优取向的金红石蜡氧化钛薄膜位于区域Ⅱ,在这个区域里,白蛋白和纤维蛋白原与材料的界面力同时减少,而γiHSA/γiHFG与区域Ⅰ基本相同,纤维蛋白原在材料表面的吸附量较热解碳少,而且构型发生变化的可能性也较小。图4为在HSA/HFG两元体系[14]中的竞争吸附,和热解碳相比,在(100)择优取向氧化钛表面吸附少的纤维蛋白原。在氧化钛表面,也没有观察到白蛋白的择优吸附。聚醚聚氨酯材料在区域Ⅲ,此材料的表面能色散分量为4.7(dyn/cm)1/2、极化分量为3.0(dyn/cm)1/2,表现为良好的血液相容性,它具有择优吸附白蛋白的能力[11]。从界面力看,γiHSA比(100)择优取向氧化钛大,而γiHFG比它小,从而表现为择优吸附白蛋白。
, 百拇医药
图4 在白蛋白和纤维蛋白原两元体系中,(100)择优取向氧化钛和热解碳表面的纤维蛋白原吸附量
Fig 4 Surface concentration of HFG on the surface of (100) preferred oriented titanium oxide film and LTI-carbon versus the concentration of HSA from HSA/HFG binary ststem
从以上的分析可知,材料的色散分量减小,极化分量增加时,表现为更优的蛋白吸附特性,即择优吸附白蛋白。对于高分子材料,可以通过工艺加入极性键实现。但对于无机材料,一般其色散分量均较大,而极化分量较小,而且很难增大。但并非说,高分子材料的血液相容性一定优于无机材料,因为还有材料的电学性能影响血液相容性。对无机材料,易实现对电学性能的控制。
纤维蛋白原在材料表面吸附后,要延长凝血时间,必须抑制电荷转移。下面以氧化钛为例进行说明,由于纤维蛋白原是一种类似于本征半导体的材料[15],要抑制它的电荷转移和它接触的生物材料必须具有较小的功函数,才能阻止电荷从蛋白质向生物材料转移。对氧化钛进行N型掺杂或引入大量的氧缺位、钛填隙能提高氧化钛的费米能级,从而减小氧化钛的功函数。图5表示了纤维蛋白原在氧化钛表面吸附后的能带图,只要氧化钛具有足够小的功函数,就可以有效地阻止纤维蛋白原的电荷转移,从而延长凝血时间。这与我们所得的实验结果一致,前面已经提到,在表面能一致的情况下,降低0/Ti比能大大提高血液相容性,因为降低0/Ti比,可以增加载流子浓度,降低氧化钛薄膜的功函数。
, 百拇医药
对于高分子材料来说,也具有类似于无机材料的能带,同样具有功函数。但是由于其功函数均较大,它对血液相容性的影响较小,如果对高分子材料进行掺杂,增加导电性,也能影响血液相容性。Bruck[12]研究了高分子材料的半导体特性与血液相容性,发现当增加高分子材料的电导率时,能大大提高血液相容性。但这方面的工作开展较少,需要进一步研究。
图5 氧化钛和纤维蛋白原接触后的能带图
Fig 5 The energy band diagram of titanium oxide and fibrinogen after adsorption
综上所述,材料的表面能和功函数同时影响血液相容性。一个好的生物材料,需要具有合适的表面能,使它表现出较少吸附纤维蛋白原,多吸附白蛋白。当蛋白质吸附后,要尽量抑制电荷的转移,延长凝血时间。
, 百拇医药
值得指出的是,我们只是对氧化钛薄膜的血液相容性进行了宏观的测定,对血液相容性机理进行了初步的探讨,从理论上对血液相容性机理进行了分析,还没有对吸咐于氧化钛表面的各种蛋白质的构象的转化进行测试和研究。
4 结 论
考察了离子束辅助沉积技术制备的金红石型氧化钛薄膜的血液相容性的因素。探讨了血液相容性机理,认为表面能和功函数同时影响材料的血液相容性。表面能决定蛋白质吸附量,及吸附后其构型是否变化,给出了具有较好蛋白质吸附的表面能区域;蛋白质吸附后,其分解、激活凝血过程由材料的功函数有关,为了抑制电荷的转移,生物材料必须有较小的功函数。
参考文献
1,Ratner BD,Johnston AB, Lenk TJ.Biomaterial surface,J.Biomed.Mater.Res.,1987;21∶59
, 百拇医药
2,Bauschmidt P, Schaldach M.The electrochemical aspects of the thrombogenicity of a material,J.Biomeg.,1977;1∶261
3,Baurschmidt P, Schaldach M. Alloplastic materials for heart-valve prosthesis,Med.& Biol.Eng.& Comput.,1980;18∶496
4,Ebert R, Schaldach M.Rutile ceramics as material for cardiovascular devices,Proceeding of world congress on medical physics and biomedical engineering,Hamburg,1982
, http://www.100md.com
5,Kaelble DH, Moacanin J.A surface energy analysis of bioadhesion,Polymer,1977;18∶475
6,Park K, Mao FW,Park H. Morphological characterization of surface-induced platelet activation,Biomaterials,1990;11∶24
7,Imai Y,Nose Y. A new method of evaluation of antithrombogenicity of materials,J.Biomed.Mater.Res.,1972;6∶165
8,Jarzebski ZM. Oxide Semiconductors,Pergamon press,1973
, http://www.100md.com
9,Feng L, Andrade JD. Protein adsorption on low temperature isotropic carbon:V.How is it related to its blood compatibility,J.Biomater.Sci.Polymer Edn.,1995;7:286
10,Feng L, Andrade JD. Protein adsorption on low temperature isotropic carbon:I.Protein conformational change probed by differential scanning calorimetry,J.Biomater.Mater.Res.,1994;28:340
11,Paul L, Sharma CP. Preferential adsorption of albumin onto a polymer surface:an understanding,J.Colloid Interface Sci.,1981;84:546
, 百拇医药
12,Bruck SD.The role of electrical conduction of macromoleculars in certain biomedical problems,Polymer,1975;16:26
13,Hoffman AS. Modification of material surface to affect how they interact with blood,Ann.NY Acad.Sci.,1987;516∶96
14,Feng L, Andrade JD. Protein adsorptin on low temperature isotropic carbon:Ⅲ.Isotherms,competitively,desorption and exchange of human albumin and fibrinogen,Biomaterials,1994;15∶323
15,Eley D, Spivey D. The semiconductivity of organic substances,part 6,Trans Faraday Soc.1960;56∶1432
(收稿:1998-04-14 修回:1999-04-26), 百拇医药
单位:(中国科学院上海冶金研究所 离子束开放研究实验室,上海 200050)
关键词:氧化钛薄膜;血液相容性;离子束增强沉积
生物医学工程学杂志000208 摘要 考察了影响氧化钛薄膜血液相容性的因素,提出了对血液相容性机理的看法,认为血液相容性是表面能和功函数共同作用的结果。表面能决定蛋白质吸附,而功函数决定蛋白质分解,并给出了一个表面能区域。指出一个良好血液相溶性材料,不仅要有合适的表面能,还要有较小的功函数。
Study on the Mechanism of Hemocompatibility of Titanium Oxide Films
Zhang Feng Li Changrong Wang Xianghui Zheng Zhihong Liu Xianghuai
, 百拇医药
(Ion Beam Laboratory,Shanghai Institute of Metallurgy, Chinese Academy of Sciences,Shanghai 200050)
Abstract In tihs paper a study on the facts affecting blood compatibility of titanium oxide films synthesized by ion beam assisted deposition is presented,and the mechanism of blood compatibility is discussed.We think that the blood compatibility is determined by surface energy and work function of the film.The protein adsorption is determined by surface energy.An area with a range of values of polar and dispersion components of surface energies,where good protein adsorption property will exhibit,was defined.That is, more human serum albumin(HSA)and less human fibrinogen (HFG)will be adsorbed in this area.Work function is also an important factor to influence blood compatibility.Low work function can inhibit the decomposition of HFG and improve thromboresistance.
, 百拇医药
Key words Titanium oxide films Hemocompatibility Ion beam assisted deposition
1 引 言
与血液直接接触的生物材料不仅需要良好的机械性能,更需要优异的血液相容性。到目前为止,人们作了各种努力,希望制备出不会导致血栓的生物材料,也取得了一些进展。但是人造生物材料的血液相容性还远没有接近生物内皮组织。
对材料的表面性质与血液相容性之间的关系,已经提出了多种解释,这些解释主要从材料的两个基本特性出发,即表面能和表面电荷。从表面能出发,对血液相容性进行解释又形成许多不同的观点[1],所有这些假设都只能解释部分实验事实。
从表面电荷出发,也对血液相容性提出了解释。其中具有代表性的Schaldach等[2,3]提出了电化学理论,对具有半导体特性的生物材料的血液相容性进行了解释。它主要是从抑制纤维蛋白原的电荷转移、分解,从而激活凝血过程出发,用能带理论提出具有良好血液相容性的生物材料应具备的条件。认为生物材料必须具备N型半导体特性。它对用陶瓷工艺烧结的金红石型氧化钛的血液相容性进行了较好的解释。发现Ta5+掺杂的金红石型氧化钛陶瓷的血液相容性大大超过未掺杂的陶瓷[4]。一般来说,同种烧结材料的晶体结构无择优取向,因此表面能不会相差太大。可以用电学性能进行良好解释。如对于具有不同表面能的材料,这个解释可能片面,因为蛋白质吸附也是影响血液相容性的关键因素。为此我们考察了影响离子束辅助沉积制备的具有不同表面能、电学性能的氧化钛薄膜血液相容性的影响因素。
, 百拇医药
2 实验过程
离子束增强沉积TiO2薄膜是在从美国进口的EATONZ-200离子束混合淀积装置上进行的。在氧气氛中,通过惰性气体Xe+离子轰击和Ti的电子束蒸发进行TiO2薄膜的合成。在薄膜制备过程中,基础真空为7~8×10-7Torr,进入O2后真空为6.5~11×10-6Torr,所用的Xe+离子能量为40 keV,束流密度为40 μA/cm2,Ti的蒸发速率为0.4 nm/s。离子束和蒸发束与靶面法线的夹角均为45°;Ti的蒸发速率通过一石英振荡器进行精确控制;离子束的束流密度由一个法拉第杯测定。衬底材料采用石墨、Si片、钛合金和热解碳。薄膜的厚度为500 nm。0/Ti的比例通过控制钛的蒸发速率和氧气的压力实现。
薄膜的成分用俄歇电子能谱(AES)、X射线光电子能谱(XPS)及Rutherford背散射技术(RBS)测量。用X射线衍射仪(XRD)测定薄膜的结构,用接触角测量法确定薄膜的表面能[5]。材料的血液相容性采用血小板粘附试验及动态凝血时间测定。血小板粘附试验所用的血液为人血[6],通过离心作用分离出富含血小板的血浆,把它滴于试样表面,在恒温箱中经37 ℃保温1 h后,洗涤、固定粘附于样品表面的血小板,用临界点干燥器干燥后,镀金,用光学显微镜及扫描电镜观察血小板形貌、聚集等,并且随机选择10~20个视场进行试样表面血小板粘附率统计。动态凝血时间测试过程如下[7]:用注射器从兔子心脏中抽取一定量的血液血液(约5 ml),在测试样品上滴0.05 ml新鲜血液,静置一定时间,然后把样品转移至烧杯中,并在烧杯中加入25 ml蒸馏水,未凝固在样品上的红细胞将起溶血反应,自由的血红蛋白将均匀分散于水中,溶于水中的血红蛋白的浓度用分光光度计测量(波长540 nm)其吸光度来表征,在测试过程中,热解碳、玻璃及钛合金作为参照样品同时测量。同时为了使测量结果可靠,每个时间点测3个样品,取其平均值。
, 百拇医药
3 结果与讨论
3.1 影响氧化太薄膜血液相容性的因素
我们分析了表面能和电学性能对氧化钛薄膜血液相容性的影响。由于所制备的薄膜,表面粗糙度基本一致,不考虑其对血液相容性的影响。
首先比较了具有相同表面能,不同成分的氧化钛薄膜的抗凝血性能。所制备的薄膜为(100)择优取向的金红石型氧化钛薄膜。表面能测试表明,其表面能的各分量基本相同,样品A以散分量α=5.79(dyn/cm)1/2,极化分量β=2.94(dyn/cm)1/2,用XPS测试表明成分0/Ti为1.62。样品B色散分量α=5.73(dyn/cm)1/2,极化分量β=2.94(dyn/cm)1/2,用XPS测试表明成分0/Ti为1.75。对其血液相容性用动态凝血时间和血小板粘附进行表征。动态凝血时间测试结果如图1所示,血小板粘附结果如图2所示。对具有(100)择优取向氧化钛薄膜,0/Ti比较小的样品,凝血时间较长,在样品表面粘附的血小板数目和聚集也较少,表现出较好的血液相容性。在氧化钛薄膜中,0/Ti比较小会造成钛填隙和氧空位,其点缺陷方程可表示如下[8]:
, http://www.100md.com
从缺陷方程中可以看出,0/Ti比比较小的样品表现为N型半导体特性。当氧分压较小时,易出现Ti2+、Ti3+及氧缺位(这与XPS分析结果一致)使载流子浓度增加,费米能级也越接近导带。也就是说,载流子浓度越大,血液相容性也越好,这个结果与Schaldach等对氧化钛陶瓷血液相容性的研究结果一致。
在固定材料的0/Ti比,即在相同的电学性能下,分析表面能对血液相容性的影响。我们比较了非晶氧化钛和具有(100)择优取向氧化钛薄膜的血液相容性。(100)择优取向样品即为样品A。非晶样品(样品C)在制备时,除了较低衬底温度外,其它制备条件不变,制备的样品表面能色散分量为α=6.36(dyn/cm)1/2,极化分量β=2.27(dyn/cm)1/2。动态凝血时间如图1,可以看出,(100)取向的氧化钛薄膜具有较长的凝血时间,血小板粘附试验也表明,有较少的血小板粘附和聚集,血液相容性较好。
, 百拇医药
图1 不同状态的氧化钛薄膜的吸光度-时间曲线
Fig 1 The blood clotting profiles on various material surfaces
图2 样品A和样品B上的血小板粘附扫描电镜照片
Fig 2 Scanning electron micrographs of platelets spread on samples A and B
从上述实验结果,表明对于氧化太薄膜,不仅其电学性能影响血液相容性,表面能对血液相容性也有较大的影响。根据这些实验结果,对血液相容性机理进行了探讨。
3.2 氧化钛薄膜的血液相容性机理探讨
, 百拇医药
材料与血液接触以后,第一个过程是血浆蛋白在材料表面的吸附,吸附蛋白层将决定材料的血液相容性[9,13]。白蛋白在生物材料的表面大量吸附,可以减少血小板在表面的粘附,从而延长材料的凝血时间。纤维蛋白在生物材料的表面吸附后,不仅自身会参加凝血过程,而且会增加血小板在材料表面的粘附和激活,导致凝血。研究表明,纤维蛋白原通过下列过程被激活[2]:纤维蛋白原在材料表面吸附后,向材料表面转移电子,分解成纤维蛋白单体和纤维蛋白肽,纤维蛋白单体之间将结合成中间聚合物,并激活凝血过程,导致凝血。所以,一个好的生物材料需要良好的蛋白吸附特性,即最好只吸附白蛋白而不吸附纤维蛋白原。但一般来说,这两种蛋白总是同时吸附于生物材料表面。所以,少吸附纤维蛋白原是对生物材料的首要目标。纤维蛋白原吸附后,如何延长它的分解时间也是延长凝血时间的有效手段。
以往在对血液相容性进行解释时,往往考虑一个影响因素,使所得到的结论只能解释部分实验现象。我们认为对生物材料,其血液相容性是表面能和电学性能同时起作用的。表面能决定材料表面蛋白质的吸附量、吸附的稳定性、吸附后对血小板粘附的影响,以及吸附后蛋白质的构型是否发生变化。蛋白质吸附以后,如何延缓其电荷转移、蛋白质的分解、凝血过程的激活,主要由材料的电学性能决定。
, 百拇医药
首先考察表面能。合适的表面能应使吸附的白蛋白较多且较稳定,使吸附的纤维蛋白原较少,且不使其构型发生变化。由于蛋白质的吸附直接与界面力相关,用界面力表征蛋白质的吸附。我们根据前人及自己的工作,估计了表面能的范围。根据我们的实验发现,白蛋白在纯钛表面吸附后,其吸附较不稳定,而界面力比它稍大的氧化钛材料表面有较稳定的蛋白吸附特性。因此,假设生物材料与白蛋白的界面力(γiHSA)应大于纯钛与白蛋白的界面力(5.5dyn/cm)。对于生物材料与纤维蛋白原的界面力(γiHFG),应尽量小。根据文献,热解碳表面纤维蛋白原吸附后,其构型会发生变化[10],因而假设生物材料与纤维蛋白原的作用应以此为极限,小于此界面力(25dyn/cm)。白蛋白和纤维蛋白原的表面能值由文献[11]提供。对Kaeble[5]提供的190种生物材料的表面能分析发现,绝大部分生物材料的表面能在20~50(dyn/cm)之间,而且表面能的色散分量大于极化分量,根据上述假设,我们列出了下列方程:
, http://www.100md.com
γiHFG=(αi-4.972)2+(βi-6.346)2≤25
γiHSA=(αi-5.602)2+(βi-5.798)2≥5.5
20≤γS=α2i+β2i≤50
αi≥βi≥0
由4个方程定出了一个适合蛋白质吸附的表面能区域,如图3所示。如果一个生物材料的表面能位于C点,那么AC代表白蛋白与生物材料的界面力(γiHSA=AC2),BC代表纤维蛋白原与生物材料的界面力(γiHFG=BC2)。因而可以比较直观地了解生物材料的蛋白吸附特性。AC越大,吸附的白蛋白越多、越稳定,BC越小,吸附的纤维蛋白原越少。如在HSA/HFG两元体系竞争吸附时,要择优吸附白蛋白,还需要有较大的AC/BC值。
, http://www.100md.com
图3 具有较好蛋白质吸附特性的表面能区域
Fig 3 An area comprises a range of values of surface energy components which exhibit good protein adsorption property
在这个表面能范围里,我们讨论了3个较有代表性的生物材料。热解碳生物材料位于区域Ⅰ,在这个区域里的生物材料,与白蛋白和纤维蛋白原的作用都比较强烈。由于血液中白蛋白的含量大大高于其它蛋白质,因而表面被大量的白蛋白所覆盖,表现出较好的血液相容性。非晶氧化钛也在这个区域里,也表现出较好的血液相容性。具有(100)择优取向的金红石蜡氧化钛薄膜位于区域Ⅱ,在这个区域里,白蛋白和纤维蛋白原与材料的界面力同时减少,而γiHSA/γiHFG与区域Ⅰ基本相同,纤维蛋白原在材料表面的吸附量较热解碳少,而且构型发生变化的可能性也较小。图4为在HSA/HFG两元体系[14]中的竞争吸附,和热解碳相比,在(100)择优取向氧化钛表面吸附少的纤维蛋白原。在氧化钛表面,也没有观察到白蛋白的择优吸附。聚醚聚氨酯材料在区域Ⅲ,此材料的表面能色散分量为4.7(dyn/cm)1/2、极化分量为3.0(dyn/cm)1/2,表现为良好的血液相容性,它具有择优吸附白蛋白的能力[11]。从界面力看,γiHSA比(100)择优取向氧化钛大,而γiHFG比它小,从而表现为择优吸附白蛋白。
, 百拇医药
图4 在白蛋白和纤维蛋白原两元体系中,(100)择优取向氧化钛和热解碳表面的纤维蛋白原吸附量
Fig 4 Surface concentration of HFG on the surface of (100) preferred oriented titanium oxide film and LTI-carbon versus the concentration of HSA from HSA/HFG binary ststem
从以上的分析可知,材料的色散分量减小,极化分量增加时,表现为更优的蛋白吸附特性,即择优吸附白蛋白。对于高分子材料,可以通过工艺加入极性键实现。但对于无机材料,一般其色散分量均较大,而极化分量较小,而且很难增大。但并非说,高分子材料的血液相容性一定优于无机材料,因为还有材料的电学性能影响血液相容性。对无机材料,易实现对电学性能的控制。
纤维蛋白原在材料表面吸附后,要延长凝血时间,必须抑制电荷转移。下面以氧化钛为例进行说明,由于纤维蛋白原是一种类似于本征半导体的材料[15],要抑制它的电荷转移和它接触的生物材料必须具有较小的功函数,才能阻止电荷从蛋白质向生物材料转移。对氧化钛进行N型掺杂或引入大量的氧缺位、钛填隙能提高氧化钛的费米能级,从而减小氧化钛的功函数。图5表示了纤维蛋白原在氧化钛表面吸附后的能带图,只要氧化钛具有足够小的功函数,就可以有效地阻止纤维蛋白原的电荷转移,从而延长凝血时间。这与我们所得的实验结果一致,前面已经提到,在表面能一致的情况下,降低0/Ti比能大大提高血液相容性,因为降低0/Ti比,可以增加载流子浓度,降低氧化钛薄膜的功函数。
, 百拇医药
对于高分子材料来说,也具有类似于无机材料的能带,同样具有功函数。但是由于其功函数均较大,它对血液相容性的影响较小,如果对高分子材料进行掺杂,增加导电性,也能影响血液相容性。Bruck[12]研究了高分子材料的半导体特性与血液相容性,发现当增加高分子材料的电导率时,能大大提高血液相容性。但这方面的工作开展较少,需要进一步研究。
图5 氧化钛和纤维蛋白原接触后的能带图
Fig 5 The energy band diagram of titanium oxide and fibrinogen after adsorption
综上所述,材料的表面能和功函数同时影响血液相容性。一个好的生物材料,需要具有合适的表面能,使它表现出较少吸附纤维蛋白原,多吸附白蛋白。当蛋白质吸附后,要尽量抑制电荷的转移,延长凝血时间。
, 百拇医药
值得指出的是,我们只是对氧化钛薄膜的血液相容性进行了宏观的测定,对血液相容性机理进行了初步的探讨,从理论上对血液相容性机理进行了分析,还没有对吸咐于氧化钛表面的各种蛋白质的构象的转化进行测试和研究。
4 结 论
考察了离子束辅助沉积技术制备的金红石型氧化钛薄膜的血液相容性的因素。探讨了血液相容性机理,认为表面能和功函数同时影响材料的血液相容性。表面能决定蛋白质吸附量,及吸附后其构型是否变化,给出了具有较好蛋白质吸附的表面能区域;蛋白质吸附后,其分解、激活凝血过程由材料的功函数有关,为了抑制电荷的转移,生物材料必须有较小的功函数。
参考文献
1,Ratner BD,Johnston AB, Lenk TJ.Biomaterial surface,J.Biomed.Mater.Res.,1987;21∶59
, 百拇医药
2,Bauschmidt P, Schaldach M.The electrochemical aspects of the thrombogenicity of a material,J.Biomeg.,1977;1∶261
3,Baurschmidt P, Schaldach M. Alloplastic materials for heart-valve prosthesis,Med.& Biol.Eng.& Comput.,1980;18∶496
4,Ebert R, Schaldach M.Rutile ceramics as material for cardiovascular devices,Proceeding of world congress on medical physics and biomedical engineering,Hamburg,1982
, http://www.100md.com
5,Kaelble DH, Moacanin J.A surface energy analysis of bioadhesion,Polymer,1977;18∶475
6,Park K, Mao FW,Park H. Morphological characterization of surface-induced platelet activation,Biomaterials,1990;11∶24
7,Imai Y,Nose Y. A new method of evaluation of antithrombogenicity of materials,J.Biomed.Mater.Res.,1972;6∶165
8,Jarzebski ZM. Oxide Semiconductors,Pergamon press,1973
, http://www.100md.com
9,Feng L, Andrade JD. Protein adsorption on low temperature isotropic carbon:V.How is it related to its blood compatibility,J.Biomater.Sci.Polymer Edn.,1995;7:286
10,Feng L, Andrade JD. Protein adsorption on low temperature isotropic carbon:I.Protein conformational change probed by differential scanning calorimetry,J.Biomater.Mater.Res.,1994;28:340
11,Paul L, Sharma CP. Preferential adsorption of albumin onto a polymer surface:an understanding,J.Colloid Interface Sci.,1981;84:546
, 百拇医药
12,Bruck SD.The role of electrical conduction of macromoleculars in certain biomedical problems,Polymer,1975;16:26
13,Hoffman AS. Modification of material surface to affect how they interact with blood,Ann.NY Acad.Sci.,1987;516∶96
14,Feng L, Andrade JD. Protein adsorptin on low temperature isotropic carbon:Ⅲ.Isotherms,competitively,desorption and exchange of human albumin and fibrinogen,Biomaterials,1994;15∶323
15,Eley D, Spivey D. The semiconductivity of organic substances,part 6,Trans Faraday Soc.1960;56∶1432
(收稿:1998-04-14 修回:1999-04-26), 百拇医药