甾体5α-还原酶抑制剂的研究进展
作者:蒋晟 廖清江
单位:中国药科大学药物化学教研室,南京 210009
关键词:良性前列腺增生症;甾体5α-还原酶抑制剂;构效关系;研究进展
中国新药杂志000703 【摘要】 前列腺组织内双氢睾酮含量的升高引起良性前列腺增生症,而双氢睾酮是通过5α-还原酶转化睾酮而得,因此抑制5α-还原酶的活性即可达到治疗良性前列腺增生症的目的。本文综述了甾体5α-还原酶抑制剂的分类、构效关系和研究进展。
【中图分类号】R977.3 【文献标识码】A 【文章编号】1003-3734(2000)07-0438-05
Progress in research of steroidal 5α-reductase inhibitors
, http://www.100md.com
JIANG Sheng LIAO Qing-jiang
(Department of Medicinal Chemistry,China Pharmaceutical University,Nanjing 210009)
【Abstract】 Benign prostatic hyperplasia(BPH) is resulted from the growth of dihydrotestosterone in the prostate. Studies have demonstrated that human steroidal 5α-reductase responsible for the conversion of testosterone into dihydrotestosterone. Thus inhibition of steroidal 5α-reductase could offer an alternative therapy for BPH.The classfication,structure-activity relationship,and progression in research of 5α-reductase inhibitors were reviewed.
, 百拇医药
【Key words】 benign prostatic hyperplasia(BPH) ; steroidal 5α-reductase inhibitors; structure-activity relationship; research progress
随着老龄化社会的来临,男性老人的多发病良性前列腺增生症(benign prostatic hyperplasia,BPH)引起人们普遍关注。在寻找治疗药物过程中,甾体5α-还原酶抑制剂已成为研究热点之一,现以构效关系为主要内容综述该领域的研究进展概况。
5α-还原酶(5α-reductase,5AR)是依赖还原型辅酶Ⅱ(NADPH)的膜蛋白酶,它能催化NADPH的氢传递到底物睾酮(T)空间位阻较小的α面,产生被酶稳定的烯醇后再经质子化转变成双氢睾酮(DHT),见图1。DHT量的增多与良性前列腺增生、男性秃发等病因密切相关。已知人体内的5α-还原酶有Ⅰ型与Ⅱ型2种同功酶,Ⅰ型酶主要分布在头皮毛囊中,Ⅱ型酶主要存在于前列腺中[1]。
, 百拇医药
图1 5α-还原酶作用机制
5α-还原酶抑制剂能抑制DHT的生源合成,从而可抑制或减轻良性前列腺增生、前列腺癌、男性秃发等症状。抑制剂的作用机制可因其所结合的底物的不同而各异。例如4-氮杂甾体药物非那甾胺(finasteride)与底物[酶-NADPH复合物]结合,并与T相互竞争成为不可逆的竞争性抑制剂;又如甾体烯酸类药物爱普列特(epristeride)优先与底物[酶-NADP+]形成三元复合物,它虽不直接与T相互竞争,但可抑制5α-还原酶的释出,从而终止了T继续向DHT的转化,成为不可逆的非竞争型抑制剂,见图2[2,3]。
图2 5α-还原酶抑制剂作用机制
通过设计、合成与筛选,已发现了一些活性较强的甾体抑制剂,其中包括氮杂甾体化合物和甾体烯酸类化合物。现将有关构效关系的研究情况分述如下。
, 百拇医药
1 氮杂甾体5α-还原酶抑制剂
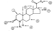
1.1 4-氮杂甾体化合物 美国默克公司曾合成了一系列4-氮杂甾体化合物,见图3。通过测定了它们抑制人及小鼠的5α-还原酶活性,以及它们与小鼠雄性激素受体的亲和力,实验数据表明它们的构效关系如下[4]:① 当R1为H时,1和2位存在双键时是有效的。A环为七元环时抑制活性基本保持,而A环为五元环时活性很低;② 3位为HON=,MeN=,S=或H2时活性很低;③ R1为H或小的疏水基团(如CH3等)时,与雄甾受体的亲和力增强;④ 5位氢需为α构型;⑤ 7β取代基对活性影响不大;⑥ C18与C19处的角甲基需为β构型;⑦ 引入16α或β甲基,对活性影响不大;⑧ 17位取代基应选择β-构型;⑨ R2应选择亲脂性的取代基形成C17酰胺结构。
, http://www.100md.com
图3 4-氮杂甾体的基本结构式
已知的活性4-氮杂甾体化合物结构式见图4。
图4 4-氮杂甾体化合物
最早由Brooks等于1981年合成的4-MA是对Ⅰ型与Ⅱ型5α-还原酶均有抑制活性的双重抑制剂,但它同时也能抑制3β羟基甾体脱氢酶并对肝脏具有毒性,故未被临床采用。它的类似物MK-386能抑制Ⅰ型5α-还原酶,现处于Ⅰ期临床研究阶段[5]。turosteride在体外抑制5α-还原酶的活性比4-MA强,用去势鼠做动物模型服药20d后,前列腺体积及血浆中DHT浓度明显减少[6],目前处于Ⅱ期临床研究阶段。
由Rasmusson等研制的非那甾胺是一个选择性而非专一性的Ⅰ型与Ⅱ型5α-还原酶抑制剂,其5mg片剂(商品名Proscar,保列治)已用于治疗BPH,并于1992年在英国首次上市[7]。其1mg片剂(商品名Propecia)可抑制Ⅰ型5α-还原酶而治疗男性秃发,已在美国、墨西哥、瑞士等国上市[8]。另外,由Glaxo Wellcome公司研制的dutasteride(GI-198745)也是对Ⅰ,Ⅱ型5α-还原酶均有抑制活性的不可逆双重抑制剂。曾对53名患有BPH的患者用随机双盲法进行临床研究,服用dutasteride(简称D)分别为0.1 mg/d(n=8),0.5 mg/d(n=8),2.5 mg/d(n=8),5.0 mg/d(n=9),均用28d。D 40mg负荷剂量+2.5 mg/d(n=8),用28d。对照组用finasteride(简称F)5.0 mg/d,用28d(n=6)。安慰剂组(简称P)(n=6)。结果血浆中DHT减少(%)情况:P(3)F(-66.9)。T的改变(%)情况:P(9.7) ≤D 0.01(12.1) ≥ D 0.05(8.8)D 5(21.6) >F(18.2)。血浆中T处于正常的变化范围。基于这些研究结果,dutasteride被认为是一个更为有效的5α-还原酶双重抑制剂,它比非那甾胺更能有效地减少患者血浆中的DHT浓度,推荐剂量为0.5mg/d。dutasteride治疗BPH的Ⅲ期临床研究已开始进行,用它治疗男性秃发的研究也已进入Ⅱ期临床阶段[9]。
, http://www.100md.com
1.2 6-氮杂甾体化合物[10,11] Glaxo公司报道了一系列6-氮杂甾-4-烯-3-酮类化合物作为Ⅰ型和Ⅱ型的5α-还原酶双重抑制剂,并对3β-羟基甾体脱氢酶具有选择性抑制作用。其与酶结合时可形成下列过渡态模拟物,见图5。大量实验数据表明,其构效关系如下,见图6。
图5 6-氮杂甾-4-烯-3-酮类化合物作用机制
图6 6-氮杂甾-4-烯-3-酮的基本结构式
① C1,2位引入取代基或双键,抑制Ⅰ型5α-还原酶的活性降低;② C4位连有小的亲脂性基团如-Cl,-Br,-CH3等时,抑制Ⅰ型5α-还原酶的活性增强,C4连有较大的亲脂性基团或极性官能团时,抑制Ⅰ型5α-还原酶的活性降低;③6-N上可连接烷基,但较大的烷基或电子离域基团可使抑制Ⅰ型和Ⅱ型5α-还原酶的活性明显降低;④C17位应选择较大的亲脂性基团,一般为17β-N-苯基酰胺。
, 百拇医药
通过对C17取代基的优化选择,发现了一些有效的5α-还原酶双重抑制剂。在DHT依赖性前列腺增生的去势鼠模型上,图6中的R1=H,R2=CH(Ph)2,化合物表现出与非那甾胺相同的活性,口服生物利用度达79%(t1/2=4.8h)。又如R1=H,R2=2-tBu-5-CF3-C6H3的化合物也表现出与非那甾胺相同的活性,口服生物利用度为67%(t1/2=8.8h)。
1.3 19-去甲基-10-氮杂甾体化合物[12,13] 曾在19-去甲基-10-氮杂甾体化合物中研制全新的5α-还原酶抑制剂,其活性依赖于桥头10-N-原子与4-烯-3-酮片段形成的共轭体系,作用机制是它与酶形成如下过渡态模拟物,见图7。从大量实验数据总结其构效关系如下,见图8。
, 百拇医药
图7 10-氮杂甾作用机制
图8 19-去甲基-10-氮杂甾体化合物基本结构式
① C1,C2位引入双键后抑制5α-还原酶的活性降低;② 骨架中10位桥头氮原子与3-羰基通过C4,C5双键形成的共轭体系是抑制活性必需的基本结构;③抑制活性取决于C环双键的存在及其位置以及17位取代基。目前仍不能解释C9,C11双键和C8,C9双键之间抑制活性的差别。若C环无双键时,抑制5α-还原酶活性就降低;④ 当17位取代基是酮或羟基时,对Ⅰ型5α-还原酶有选择性的抑制作用,当R为β-CONH-tBu时,对Ⅰ型和Ⅱ型5α-还原酶选择性抑制活性大体相当。
, 百拇医药
如图8所示,当R=β-CONH-tBu,且具有C4,C5和C8,C9双键的化合物,在此类化合物中活性最强。这是一种有效的Ⅰ型和Ⅱ型5α-还原酶双重抑制剂,它与非那甾胺的活性相近。
2 甾体烯酸类5α-还原酶抑制剂
2.1 甾体烯酸类化合物[14] 设计雄甾烯酸作为烯醇中间体(图1)模拟物,此时羧酸阴离子与5α-还原酶及NADP+形成的复合物的活性位点结合成三元复合物,其基本构效关系如下,见图9。
图9 甾体烯羧酸的基本结构式
① A环C3处的烯键是必需的结构,若再引入C5,C6烯键可增强抑酶活性;② C6有取代基时,抑酶活性降低,19位去角甲基会产生毒性(A环为芳香环时除外);③ 17位取代基对构效关系的影响类似于氮杂甾体抑制剂中已发现的规律。
, 百拇医药
在这类化合物中,爱普列特(图9 ,R=H,t-Bu)在美国、英国、意大利、日本、西班牙等国进入治疗BPH的Ⅲ期临床研究,国内由中国药科大学、中国科学院上海有机化学研究所与扬州制药厂协作攻关并按一类新药的研究要求通过新药审评后,已获准上市。它是一个选择性的Ⅱ型5α-还原酶抑制剂。
A环为芳香环的羧酸类化合物与甾烯羧酸具有类似的构效关系,它们也能与5α-还原酶、NADP+形成三元复合物。例如SK&F 105656(其基本结构式是图9中的A环为苯环,R=H,t-Bu)也是有效的5α-还原酶抑制剂( Kiapp=43nmol/L)。
2.2 甾体膦酸与次膦酸化合物[15] 根据电子等排原理,用膦酸或次膦酸基团替代雄甾烯羧酸的3位羧基后,也表现出一定的抑酶活性,具有图10所示结构的化合物为较好的5α-还原酶抑制剂,其机制与羧酸类化合物相似。但当这类化合物3位取代基的体积增大后,与酶结合就很困难,活性随之降低。例如3位为膦酸甲酯时,因其空间体积增大,活性降低。
, http://www.100md.com
图10 甾体膦酸和次膦酸的结构式
2.3 甾体磺酸化合物[16] 在此类化合物中,体外抑制活性较大的化合物如图11所示,它也是与酶和NADP+形成三元复合物后显示抑酶作用的。
图11 甾体磺酸化合物
3 结语
甾体5α-还原酶抑制剂已经广泛应用于临床,成为治疗BPH必不可少的药品。我们相信随着研究的进一步深入,必将开发出更多更好的此类药品,使治愈BPH成为可能。
【作者简介】 蒋晟(1976-),男,理学硕士学位。主要研究方向:甾体5α-还原酶抑制剂的合成研究。E-mail:jschem@263.net。
, 百拇医药
【参考文献】
[1] Thigpen AE, Silver RI, Graul A.Tissue distribution and ontogeny of steroid 5α-reductase expression[J].J Clin Invest,1993,92(3)∶903~910
[2] Levy MA, Brandt M, Greway AT. Mechanistic studies with solubilized rat liver steroid 5α-reductase: eluciodation of the kinetic mechanism[J].Biochemistry,1990,29(11)∶2808
[3] Levy MA, Brandt M, Richard H,et al. Inhibition of rat liver steroid 5α-reductase by 3-androstene-3-carboxylic acids: Mechanism of enzyme inhibitor interaction[J].Biochemistry,1990, 29(11)∶2814~2815
, 百拇医药
[4] Kenny B, Miller AM, Williamson JR,et al. Pharmacological options in the treatment of benign prostatic hyperplasia[J].J Med Chem,1997,40(9)∶1293~1315
[5] Baskshi RK, Patel GF, Rasumusson GH, et al.4,7β-dimethyl-4-azachlolestan-3-one(MK-386) and related 4-azasteroids as selective inhibitors of human type Ⅰ5α-reductase [J].J Med Chem, 1994,37(23)∶3871~3874
[6] Salle ED, Pazeri A. Testosterone 5α-reductase inhibitor[J].Drugs Fut,1993,18(5)∶436~439
, 百拇医药
[7] Finasteride[J].Annu Drug Data Rep,1992,14(10)∶996~999
[8] Mcclellan KJ. Finasteride: a review of its use in male pattern hair loss [J].Drugs, 1999,57(1)∶111~126
[9] Graul A, Silvestre J, Castaner J,et al. Dutasteride, steroid 5α-reductase inhibitor, treatment of BPH[J].Drugs Fut,1999,24(3)∶246~253
[10] Frye SV, Haffner CD, Maloney PR, et al.6-azasteroids:potent dual inhibitor of human type 1 and type 2 steroid 5α-reductase[J].J Med Chem, 1993,36(26)∶4313~4315
, http://www.100md.com
[11] Frye SV, Haffner CD, Maloney PR,et al. Structure-activity relationship for inhibition of type 1 and 2 human 5α-reductase and human adrenal 3β-hydroxy-Δ5-steroid dehydrogenase /3-keto-Δ5-steroid isomerase by 6-azaandrost-4-en-3-ones:optimization of the C17 substituent[J].J Med Chem,1993,36(26)∶4313~4315
[12] Guarna A, Belle C, Machetti F,et al.19-nor-10-azasteroids:a novel class of inhibitors for human steroid 5α-reductase 1 and 2[J].J Med Chem,1997,40(7)∶1112~1129
, http://www.100md.com
[13] Guarna A, Occhiato E, Machetti F.19-nor-10-aza-steroids,a new class of steroid 5α-reductase inhibitors.2.X-ray structure,molecular modeling and comparison with 4-azasteroids and 6-azasteroids[J].J Med Chem,1997,40(21)∶3466~3477
[14] Holt DA, Levy MA, Ladd DL,et al. Inhibition of steroid 5α-reductase by unsaturated 3-carboxy steroids[J].J Med Chem,1990,33(3)∶943~950
[15] Levy MA, Metcalf BW, Brandt M,et al. 3-phosphinic acid and 3-phosphinic acid steroids as inhibitors of steroid 5α-reductase :species comparison and mechanistic studies[J].Bioorg Chem, 1991,19(1)∶245~260
[16] Holt DA, Levy MA, Hye-Jaoh, et al. Synthesis of a steroidal a ring aromatic sulfonic acid as an inhibitor of steroid 5α-reductase[J].Steroids,1991,56(1)∶4~7
收稿:2000-01-31
修回:2000-04-17, 百拇医药
单位:中国药科大学药物化学教研室,南京 210009
关键词:良性前列腺增生症;甾体5α-还原酶抑制剂;构效关系;研究进展
中国新药杂志000703 【摘要】 前列腺组织内双氢睾酮含量的升高引起良性前列腺增生症,而双氢睾酮是通过5α-还原酶转化睾酮而得,因此抑制5α-还原酶的活性即可达到治疗良性前列腺增生症的目的。本文综述了甾体5α-还原酶抑制剂的分类、构效关系和研究进展。
【中图分类号】R977.3 【文献标识码】A 【文章编号】1003-3734(2000)07-0438-05
Progress in research of steroidal 5α-reductase inhibitors
, http://www.100md.com
JIANG Sheng LIAO Qing-jiang
(Department of Medicinal Chemistry,China Pharmaceutical University,Nanjing 210009)
【Abstract】 Benign prostatic hyperplasia(BPH) is resulted from the growth of dihydrotestosterone in the prostate. Studies have demonstrated that human steroidal 5α-reductase responsible for the conversion of testosterone into dihydrotestosterone. Thus inhibition of steroidal 5α-reductase could offer an alternative therapy for BPH.The classfication,structure-activity relationship,and progression in research of 5α-reductase inhibitors were reviewed.
, 百拇医药
【Key words】 benign prostatic hyperplasia(BPH) ; steroidal 5α-reductase inhibitors; structure-activity relationship; research progress
随着老龄化社会的来临,男性老人的多发病良性前列腺增生症(benign prostatic hyperplasia,BPH)引起人们普遍关注。在寻找治疗药物过程中,甾体5α-还原酶抑制剂已成为研究热点之一,现以构效关系为主要内容综述该领域的研究进展概况。
5α-还原酶(5α-reductase,5AR)是依赖还原型辅酶Ⅱ(NADPH)的膜蛋白酶,它能催化NADPH的氢传递到底物睾酮(T)空间位阻较小的α面,产生被酶稳定的烯醇后再经质子化转变成双氢睾酮(DHT),见图1。DHT量的增多与良性前列腺增生、男性秃发等病因密切相关。已知人体内的5α-还原酶有Ⅰ型与Ⅱ型2种同功酶,Ⅰ型酶主要分布在头皮毛囊中,Ⅱ型酶主要存在于前列腺中[1]。
, 百拇医药
图1 5α-还原酶作用机制
5α-还原酶抑制剂能抑制DHT的生源合成,从而可抑制或减轻良性前列腺增生、前列腺癌、男性秃发等症状。抑制剂的作用机制可因其所结合的底物的不同而各异。例如4-氮杂甾体药物非那甾胺(finasteride)与底物[酶-NADPH复合物]结合,并与T相互竞争成为不可逆的竞争性抑制剂;又如甾体烯酸类药物爱普列特(epristeride)优先与底物[酶-NADP+]形成三元复合物,它虽不直接与T相互竞争,但可抑制5α-还原酶的释出,从而终止了T继续向DHT的转化,成为不可逆的非竞争型抑制剂,见图2[2,3]。
图2 5α-还原酶抑制剂作用机制
通过设计、合成与筛选,已发现了一些活性较强的甾体抑制剂,其中包括氮杂甾体化合物和甾体烯酸类化合物。现将有关构效关系的研究情况分述如下。
, 百拇医药
1 氮杂甾体5α-还原酶抑制剂
1.1 4-氮杂甾体化合物 美国默克公司曾合成了一系列4-氮杂甾体化合物,见图3。通过测定了它们抑制人及小鼠的5α-还原酶活性,以及它们与小鼠雄性激素受体的亲和力,实验数据表明它们的构效关系如下[4]:① 当R1为H时,1和2位存在双键时是有效的。A环为七元环时抑制活性基本保持,而A环为五元环时活性很低;② 3位为HON=,MeN=,S=或H2时活性很低;③ R1为H或小的疏水基团(如CH3等)时,与雄甾受体的亲和力增强;④ 5位氢需为α构型;⑤ 7β取代基对活性影响不大;⑥ C18与C19处的角甲基需为β构型;⑦ 引入16α或β甲基,对活性影响不大;⑧ 17位取代基应选择β-构型;⑨ R2应选择亲脂性的取代基形成C17酰胺结构。
, http://www.100md.com
图3 4-氮杂甾体的基本结构式
已知的活性4-氮杂甾体化合物结构式见图4。
图4 4-氮杂甾体化合物
最早由Brooks等于1981年合成的4-MA是对Ⅰ型与Ⅱ型5α-还原酶均有抑制活性的双重抑制剂,但它同时也能抑制3β羟基甾体脱氢酶并对肝脏具有毒性,故未被临床采用。它的类似物MK-386能抑制Ⅰ型5α-还原酶,现处于Ⅰ期临床研究阶段[5]。turosteride在体外抑制5α-还原酶的活性比4-MA强,用去势鼠做动物模型服药20d后,前列腺体积及血浆中DHT浓度明显减少[6],目前处于Ⅱ期临床研究阶段。
由Rasmusson等研制的非那甾胺是一个选择性而非专一性的Ⅰ型与Ⅱ型5α-还原酶抑制剂,其5mg片剂(商品名Proscar,保列治)已用于治疗BPH,并于1992年在英国首次上市[7]。其1mg片剂(商品名Propecia)可抑制Ⅰ型5α-还原酶而治疗男性秃发,已在美国、墨西哥、瑞士等国上市[8]。另外,由Glaxo Wellcome公司研制的dutasteride(GI-198745)也是对Ⅰ,Ⅱ型5α-还原酶均有抑制活性的不可逆双重抑制剂。曾对53名患有BPH的患者用随机双盲法进行临床研究,服用dutasteride(简称D)分别为0.1 mg/d(n=8),0.5 mg/d(n=8),2.5 mg/d(n=8),5.0 mg/d(n=9),均用28d。D 40mg负荷剂量+2.5 mg/d(n=8),用28d。对照组用finasteride(简称F)5.0 mg/d,用28d(n=6)。安慰剂组(简称P)(n=6)。结果血浆中DHT减少(%)情况:P(3)
, http://www.100md.com
1.2 6-氮杂甾体化合物[10,11] Glaxo公司报道了一系列6-氮杂甾-4-烯-3-酮类化合物作为Ⅰ型和Ⅱ型的5α-还原酶双重抑制剂,并对3β-羟基甾体脱氢酶具有选择性抑制作用。其与酶结合时可形成下列过渡态模拟物,见图5。大量实验数据表明,其构效关系如下,见图6。
图5 6-氮杂甾-4-烯-3-酮类化合物作用机制
图6 6-氮杂甾-4-烯-3-酮的基本结构式
① C1,2位引入取代基或双键,抑制Ⅰ型5α-还原酶的活性降低;② C4位连有小的亲脂性基团如-Cl,-Br,-CH3等时,抑制Ⅰ型5α-还原酶的活性增强,C4连有较大的亲脂性基团或极性官能团时,抑制Ⅰ型5α-还原酶的活性降低;③6-N上可连接烷基,但较大的烷基或电子离域基团可使抑制Ⅰ型和Ⅱ型5α-还原酶的活性明显降低;④C17位应选择较大的亲脂性基团,一般为17β-N-苯基酰胺。
, 百拇医药
通过对C17取代基的优化选择,发现了一些有效的5α-还原酶双重抑制剂。在DHT依赖性前列腺增生的去势鼠模型上,图6中的R1=H,R2=CH(Ph)2,化合物表现出与非那甾胺相同的活性,口服生物利用度达79%(t1/2=4.8h)。又如R1=H,R2=2-tBu-5-CF3-C6H3的化合物也表现出与非那甾胺相同的活性,口服生物利用度为67%(t1/2=8.8h)。
1.3 19-去甲基-10-氮杂甾体化合物[12,13] 曾在19-去甲基-10-氮杂甾体化合物中研制全新的5α-还原酶抑制剂,其活性依赖于桥头10-N-原子与4-烯-3-酮片段形成的共轭体系,作用机制是它与酶形成如下过渡态模拟物,见图7。从大量实验数据总结其构效关系如下,见图8。
, 百拇医药
图7 10-氮杂甾作用机制
图8 19-去甲基-10-氮杂甾体化合物基本结构式
① C1,C2位引入双键后抑制5α-还原酶的活性降低;② 骨架中10位桥头氮原子与3-羰基通过C4,C5双键形成的共轭体系是抑制活性必需的基本结构;③抑制活性取决于C环双键的存在及其位置以及17位取代基。目前仍不能解释C9,C11双键和C8,C9双键之间抑制活性的差别。若C环无双键时,抑制5α-还原酶活性就降低;④ 当17位取代基是酮或羟基时,对Ⅰ型5α-还原酶有选择性的抑制作用,当R为β-CONH-tBu时,对Ⅰ型和Ⅱ型5α-还原酶选择性抑制活性大体相当。
, 百拇医药
如图8所示,当R=β-CONH-tBu,且具有C4,C5和C8,C9双键的化合物,在此类化合物中活性最强。这是一种有效的Ⅰ型和Ⅱ型5α-还原酶双重抑制剂,它与非那甾胺的活性相近。
2 甾体烯酸类5α-还原酶抑制剂
2.1 甾体烯酸类化合物[14] 设计雄甾烯酸作为烯醇中间体(图1)模拟物,此时羧酸阴离子与5α-还原酶及NADP+形成的复合物的活性位点结合成三元复合物,其基本构效关系如下,见图9。
图9 甾体烯羧酸的基本结构式
① A环C3处的烯键是必需的结构,若再引入C5,C6烯键可增强抑酶活性;② C6有取代基时,抑酶活性降低,19位去角甲基会产生毒性(A环为芳香环时除外);③ 17位取代基对构效关系的影响类似于氮杂甾体抑制剂中已发现的规律。
, 百拇医药
在这类化合物中,爱普列特(图9 ,R=H,t-Bu)在美国、英国、意大利、日本、西班牙等国进入治疗BPH的Ⅲ期临床研究,国内由中国药科大学、中国科学院上海有机化学研究所与扬州制药厂协作攻关并按一类新药的研究要求通过新药审评后,已获准上市。它是一个选择性的Ⅱ型5α-还原酶抑制剂。
A环为芳香环的羧酸类化合物与甾烯羧酸具有类似的构效关系,它们也能与5α-还原酶、NADP+形成三元复合物。例如SK&F 105656(其基本结构式是图9中的A环为苯环,R=H,t-Bu)也是有效的5α-还原酶抑制剂( Kiapp=43nmol/L)。
2.2 甾体膦酸与次膦酸化合物[15] 根据电子等排原理,用膦酸或次膦酸基团替代雄甾烯羧酸的3位羧基后,也表现出一定的抑酶活性,具有图10所示结构的化合物为较好的5α-还原酶抑制剂,其机制与羧酸类化合物相似。但当这类化合物3位取代基的体积增大后,与酶结合就很困难,活性随之降低。例如3位为膦酸甲酯时,因其空间体积增大,活性降低。
, http://www.100md.com
图10 甾体膦酸和次膦酸的结构式
2.3 甾体磺酸化合物[16] 在此类化合物中,体外抑制活性较大的化合物如图11所示,它也是与酶和NADP+形成三元复合物后显示抑酶作用的。
图11 甾体磺酸化合物
3 结语
甾体5α-还原酶抑制剂已经广泛应用于临床,成为治疗BPH必不可少的药品。我们相信随着研究的进一步深入,必将开发出更多更好的此类药品,使治愈BPH成为可能。
【作者简介】 蒋晟(1976-),男,理学硕士学位。主要研究方向:甾体5α-还原酶抑制剂的合成研究。E-mail:jschem@263.net。
, 百拇医药
【参考文献】
[1] Thigpen AE, Silver RI, Graul A.Tissue distribution and ontogeny of steroid 5α-reductase expression[J].J Clin Invest,1993,92(3)∶903~910
[2] Levy MA, Brandt M, Greway AT. Mechanistic studies with solubilized rat liver steroid 5α-reductase: eluciodation of the kinetic mechanism[J].Biochemistry,1990,29(11)∶2808
[3] Levy MA, Brandt M, Richard H,et al. Inhibition of rat liver steroid 5α-reductase by 3-androstene-3-carboxylic acids: Mechanism of enzyme inhibitor interaction[J].Biochemistry,1990, 29(11)∶2814~2815
, 百拇医药
[4] Kenny B, Miller AM, Williamson JR,et al. Pharmacological options in the treatment of benign prostatic hyperplasia[J].J Med Chem,1997,40(9)∶1293~1315
[5] Baskshi RK, Patel GF, Rasumusson GH, et al.4,7β-dimethyl-4-azachlolestan-3-one(MK-386) and related 4-azasteroids as selective inhibitors of human type Ⅰ5α-reductase [J].J Med Chem, 1994,37(23)∶3871~3874
[6] Salle ED, Pazeri A. Testosterone 5α-reductase inhibitor[J].Drugs Fut,1993,18(5)∶436~439
, 百拇医药
[7] Finasteride[J].Annu Drug Data Rep,1992,14(10)∶996~999
[8] Mcclellan KJ. Finasteride: a review of its use in male pattern hair loss [J].Drugs, 1999,57(1)∶111~126
[9] Graul A, Silvestre J, Castaner J,et al. Dutasteride, steroid 5α-reductase inhibitor, treatment of BPH[J].Drugs Fut,1999,24(3)∶246~253
[10] Frye SV, Haffner CD, Maloney PR, et al.6-azasteroids:potent dual inhibitor of human type 1 and type 2 steroid 5α-reductase[J].J Med Chem, 1993,36(26)∶4313~4315
, http://www.100md.com
[11] Frye SV, Haffner CD, Maloney PR,et al. Structure-activity relationship for inhibition of type 1 and 2 human 5α-reductase and human adrenal 3β-hydroxy-Δ5-steroid dehydrogenase /3-keto-Δ5-steroid isomerase by 6-azaandrost-4-en-3-ones:optimization of the C17 substituent[J].J Med Chem,1993,36(26)∶4313~4315
[12] Guarna A, Belle C, Machetti F,et al.19-nor-10-azasteroids:a novel class of inhibitors for human steroid 5α-reductase 1 and 2[J].J Med Chem,1997,40(7)∶1112~1129
, http://www.100md.com
[13] Guarna A, Occhiato E, Machetti F.19-nor-10-aza-steroids,a new class of steroid 5α-reductase inhibitors.2.X-ray structure,molecular modeling and comparison with 4-azasteroids and 6-azasteroids[J].J Med Chem,1997,40(21)∶3466~3477
[14] Holt DA, Levy MA, Ladd DL,et al. Inhibition of steroid 5α-reductase by unsaturated 3-carboxy steroids[J].J Med Chem,1990,33(3)∶943~950
[15] Levy MA, Metcalf BW, Brandt M,et al. 3-phosphinic acid and 3-phosphinic acid steroids as inhibitors of steroid 5α-reductase :species comparison and mechanistic studies[J].Bioorg Chem, 1991,19(1)∶245~260
[16] Holt DA, Levy MA, Hye-Jaoh, et al. Synthesis of a steroidal a ring aromatic sulfonic acid as an inhibitor of steroid 5α-reductase[J].Steroids,1991,56(1)∶4~7
收稿:2000-01-31
修回:2000-04-17, 百拇医药