As2O3诱导HL-60,K562及NB4细胞的凋亡
作者:魏亚明 欧英贤 路继红 郑荣梁
单位:魏亚明(兰州军区兰州总医院血液科,甘肃 兰州 730050);欧英贤(兰州军区兰州总医院血液科,甘肃 兰州 730050);路继红(兰州军区兰州总医院血液科,甘肃 兰州 730050);郑荣梁(兰州大学生命科学 院,甘肃 兰州 730000)
关键词:白血病;As2O3;凋亡;HL-60;K 562;NB4
西北国防医学杂志000403 摘要:目的:研究三氧化二砷(As2O3)对慢性粒细胞K 562(CML),急性粒细胞白血病细胞株HL-60(AML M2)的作用并与细胞株NB4(APL M3) 作比较。方法:采用形态学和流式细胞术观察不同浓度As 2O3对HL-60,K562及NB4细胞的作用。结果:As2O 3不仅能诱导NB4的凋亡,提高其浓度至2.7 μM和8.1 μM,也能诱导K562,HL-60的凋亡 。As2O3不能诱导三种细胞分化。结论:As2O3对 细胞诱导的凋亡是非选择性的且不能诱导分化。
, 百拇医药
中图分类号:R 733.7 文献标识码 :A 文章编号:1007-8622(2000)04-0248-03
Arsenic trioxide induces apoptosis in HL-60,K562 cell lines and compares with that in NB4 cell line
WEI Ya-ming,OU Ying-xian,LU Ji-hong,et al
(Department of Hematology,Lanzhou General Hospital,Lanzhou Command,PLA,730050,China)
Abstract:Objective:To study the mechanism and effe ct ran ge of arsenic trioxide (As2O3) on myelocytic cell lines.Method s: Light microscope and flow cytometer were used to observe morpholog ic changes of NB4,K562 and HL-60.Results:As2O3 is able to induce 57.2%,60.0% apoptosis in K562(CML),HL-60(AML M2) cells re spectively at the concentrations of 2.7 μM and 8.1 μM and induces 50.9% apoptosis in NB4(M3) cell at the concentration of 0.6 μM.Concl usion:The apoptosis induced by As2O3 was non-selective.There was no effect of As2O3 on differentiation antigens CD11b,CD14 and CD15.
, 百拇医药
Key words:Leukemia; As2O3; Apoptosis; HL-60; K562; NB4
长期以来,砷被认为是致癌和致突剂,砷可以诱发黑脚病、糖尿病、高血压、皮肤癌、 肺癌、膀胱癌和肝癌[1]。体外研究已经证实,砷制剂能诱导人染色体畸变,姊妹 染色单体交换和微核[2]。但是近年来,临床上证实砷剂对急性早幼粒细胞白血病( APL M3)有较好的疗效,其缓解高达65.6%~84%,对维甲酸耐药的APL也有疗效,且没有 骨髓移植和其它严重的毒副作用[3,4]。在对一种APL细胞株NB4的研究过程中发现 ,高浓度下(1.0 μM)三氧化二砷能诱导凋亡,在较低浓度下(0.1 μM)能部分诱导分化,但 对另一种AML细胞株HL-60(M2)和单核细胞白血病细胞U937无效[5]。我们提高了 三氧化二砷的浓度(0.1~8.1 μM),观察了其对HL-60和一种慢性粒细胞白血病细胞株K562 (CML)的作用并与其对NB4的作用进行比较。
, 百拇医药
1 材料和方法
1.1 材料:三氧化二砷(As 2O3分析纯)由湖南水口 山第二试剂厂生产。碘化丙碇( PI),RNA酶均为Sigma产品。RPMI 1640为GIBCO产品。单克隆抗体CD14,CD11b,CD15以及 它们的阴性对照IgG1均为Pharmingen产品,购自深圳晶美生物工程公司。
1.2 方法
1.2.1 细胞培养:HL-60,K562,NB4培养于RPMI 1640 培养基加入10%热灭活的小牛 血清,100 U*ml-1青霉素和链霉素,分别加入不同浓度的三氧化二砷溶液,在37℃ 含5%CO2条件下培养。
1.2.2 As2O3对细胞增生的影响:将 三种细胞以1×105细胞/ml接种,分别加 入0.1~8.1 μM As2O3,每隔24 h收集106个不同浓度作用后的三种细胞,用0.4%的 台盼蓝染色计数,三组取平均值。细胞抑制率=(对照组活细胞数-药物处理组活细胞数)/ 对照组活细胞数。
, 百拇医药
1.2.3 细胞形态学分析及核的变化:收集 As2O3处理72 h的三种细胞,用相差显 微镜观察并拍照。核的改变观察用70%冷乙醇将细胞固定于4℃过夜,PBS洗涤用50 μg*ml -1含0.1%Triton-100,0.1 MEDTA PI室温染色30 min,同时加入100 U*ml- 1的RNA酶,上流式细胞仪分析。
1.2.4 As2O3对分化标记抗原的影响 :收集各浓度As2O3处理后的三种细胞, 分别加入CD11b,CD14,CD15及其阴性对照IgG1室温孵育20 min,洗去多余单抗,用流式细 胞仪获取并分析。
2 结果
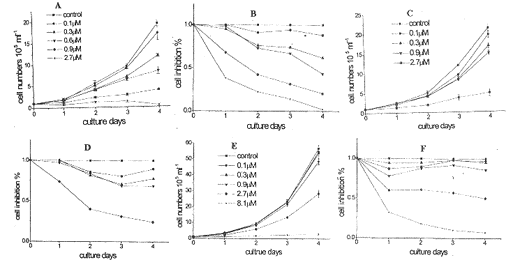
2.1 As2O3对细胞增生的抑制:As2O3对三种细胞增生的抑制见图1,结果显示 ,NB4是对As2O3最敏感的细胞,在低至0.3 μM时就能抑制细胞增生,0.6 μM可显著抑 制NB4生长。对K562细胞而言,显著的抑制发生在2.7 μM。相对而言HL-60是最不敏感的细 胞,2.7μM只显示轻微抑制,当浓度提高到8.1 μM时,HL-60细胞的生长被明显抑制。
, 百拇医药
2.2 As2O3引起三种细胞形态和核的变化:As2O3对三种细胞形态的改变见图2,可见经不同浓度As2O3 作用72 h后细胞出现明显的膜皱缩, 凋亡小体等凋亡标志。
图1 As2O3对NB4(A,B),K562(C,D),HL-60(E,F)三种细 胞生长的影响
图2 不同浓度的As2O3作用72 h后引起的NB4,K56 2,HL-60三种细胞形态学改变。A.NB4对照,B.0.6μM As2O3处理的NB4细胞,C.K 562对照,D.2.7μM As2O3处理K562细胞,E.HL-60对照,F.8.1μM As2O3处 理HL-60细胞(放大500倍),膜皱缩(mb),凋亡小体(ab)
, 百拇医药
图3 不同浓度的As2O3作用72 h后NB4,K562,HL-60三种细胞凋亡比例 。A.NB4对照,B.0.6μM As2O3处理的NB4细胞,C.K562对照,D.2.7μM As2 O3处理的K562细胞,E.HL-60对照,F.8.1μM As2O3处理的HL-60细胞
2.3 流式细胞术所显示的As2O3诱导的凋亡:图3是经0.6,2.7,8.1 μM As2O 3作用72 h的NB4,K562,HL-60三种细胞的凋亡比例,分别为50.9%,57.2%,60.0% ,且NB4显示某种程度的剂量依赖效应。
2.4 As2O3不影响细胞分化抗原表达:荧光单抗标记的As2O3处理的三种细胞均 显示CD11b,CD14及CD15在各种浓度处理后,与对照组无明显变化(数据未列出)。
, 百拇医药
3 讨论
随着临床砷诱导急性早幼粒细胞白血病缓解的报道,砷制剂被发现能诱导多种肿瘤细胞凋亡 ,如在2.0 μM浓度以下,诱导急性早幼粒白血病细胞株NB4[5],巨核细胞白血病 细胞HEL,Meg-01,UT-7及MO7e凋亡[6],但对单核细胞白血病U937及急性粒细 胞白血病细胞株HL-60无作用。当把As2O3的作用浓度提高至2.7 μM时,As2O 3也能诱导慢性粒细胞白血病细胞株K562细胞凋亡,当浓度高至8.1 μM左右时,对As2O 3不敏感 的HL-60细胞也发生了明显凋亡。因此我们认为As2O3对白血病细胞的凋亡并不是特 异性的,而是非特异性、非选择性的。这一点也被As2O3诱导其他实体瘤细胞株如食 管癌[7]、胃癌[8]、肝癌[9]及卵巢癌细胞[10]的凋亡 所证实。初步的研究证明As2O3诱导的凋亡与bcl-2的下调及细胞内氧化还原水平的改 变有关[11]。
, 百拇医药
作者简介:魏亚明(1966-),男,在读博士,主管技师
参考文献:
[1]Brown KG,Chen CJ.Significance of exposure assessment to analysis of cancer risk from inorganic arsenic in drinking water in Taiwan[J].Risk Anal,1995,15:4 75-484.
[2]Wang TS,Huang H.Active oxygen species are involved in the inducti on of micr onuclei by arsenite in XRS-5 cells[J].Mutagenesis,1994,9:243-257.
[3]张 鹏,王树叶.三氧化二砷注射液治疗72例急性早幼粒白血病[J].中 华血液学杂志,1996,17(2):58-60.
, 百拇医药
[4]Shen ZX,Chen GQ,Ni JH,et al.Arsenic trioxide (As2O3)in th e treatmen t of acute promyelocytic leukemia(APL):Ⅱ.Clinical efficacy and pharmacokinetics in relapsed patients[J].Blood,1997,89:3354-336 0.
[5]Chen GQ,Zhu j,Shi XG,et al.In vitro studies on cellular and m olecular m echanisms of arsenic trioxide(As2O3)in the treatment of acute promyelocytic l eukemia:As2O3 induces NB4 cell apoptosis with down-regulation of Bcl-2 exp ression and modulation of PML-RARα proteins[J].Blood,1996,88:1052-1061.
, 百拇医药
[6]Lu M,Jack L,Eric S,et al.Effect of arsenic trioxide on viabil ity,prolif eration and apoptosis in human meakaryocytic leukemia cell lines[J].Experiment al Hematology,1999,27:845.
[7]谭立军,史桂英,石学根,等.三氧化二砷对人食管癌细胞株凋亡的诱导 作用[J].中国癌症杂志,1999,9(2):85-87.
[8]顾琴龙.三氧化二砷对胃癌细胞杀伤的初步研究[J].肿瘤,1997,17(6 ):461-462.
[9]陈洪秦,秦叔逵,陈惠英,等.三氧化二砷诱导肝癌细胞株SMMC-7721凋 亡的实验研究[J].肿瘤防治研究,1998,25(5):336-338.
[10]杨 骅.As2O3诱导乳腺癌细胞凋亡[J].中国肿瘤生物防治,1997 ,4(3):245-247.
[11]魏亚明,欧英贤.砷制剂抗肿瘤研究进展[J].肿瘤,2000,23(3):22 3-225.
收稿日期:2000-05-10 修回:2000-05-29, http://www.100md.com
单位:魏亚明(兰州军区兰州总医院血液科,甘肃 兰州 730050);欧英贤(兰州军区兰州总医院血液科,甘肃 兰州 730050);路继红(兰州军区兰州总医院血液科,甘肃 兰州 730050);郑荣梁(兰州大学生命科学 院,甘肃 兰州 730000)
关键词:白血病;As2O3;凋亡;HL-60;K 562;NB4
西北国防医学杂志000403 摘要:目的:研究三氧化二砷(As2O3)对慢性粒细胞K 562(CML),急性粒细胞白血病细胞株HL-60(AML M2)的作用并与细胞株NB4(APL M3) 作比较。方法:采用形态学和流式细胞术观察不同浓度As 2O3对HL-60,K562及NB4细胞的作用。结果:As2O 3不仅能诱导NB4的凋亡,提高其浓度至2.7 μM和8.1 μM,也能诱导K562,HL-60的凋亡 。As2O3不能诱导三种细胞分化。结论:As2O3对 细胞诱导的凋亡是非选择性的且不能诱导分化。
, 百拇医药
中图分类号:R 733.7 文献标识码 :A 文章编号:1007-8622(2000)04-0248-03
Arsenic trioxide induces apoptosis in HL-60,K562 cell lines and compares with that in NB4 cell line
WEI Ya-ming,OU Ying-xian,LU Ji-hong,et al
(Department of Hematology,Lanzhou General Hospital,Lanzhou Command,PLA,730050,China)
Abstract:Objective:To study the mechanism and effe ct ran ge of arsenic trioxide (As2O3) on myelocytic cell lines.Method s: Light microscope and flow cytometer were used to observe morpholog ic changes of NB4,K562 and HL-60.Results:As2O3 is able to induce 57.2%,60.0% apoptosis in K562(CML),HL-60(AML M2) cells re spectively at the concentrations of 2.7 μM and 8.1 μM and induces 50.9% apoptosis in NB4(M3) cell at the concentration of 0.6 μM.Concl usion:The apoptosis induced by As2O3 was non-selective.There was no effect of As2O3 on differentiation antigens CD11b,CD14 and CD15.
, 百拇医药
Key words:Leukemia; As2O3; Apoptosis; HL-60; K562; NB4
长期以来,砷被认为是致癌和致突剂,砷可以诱发黑脚病、糖尿病、高血压、皮肤癌、 肺癌、膀胱癌和肝癌[1]。体外研究已经证实,砷制剂能诱导人染色体畸变,姊妹 染色单体交换和微核[2]。但是近年来,临床上证实砷剂对急性早幼粒细胞白血病( APL M3)有较好的疗效,其缓解高达65.6%~84%,对维甲酸耐药的APL也有疗效,且没有 骨髓移植和其它严重的毒副作用[3,4]。在对一种APL细胞株NB4的研究过程中发现 ,高浓度下(1.0 μM)三氧化二砷能诱导凋亡,在较低浓度下(0.1 μM)能部分诱导分化,但 对另一种AML细胞株HL-60(M2)和单核细胞白血病细胞U937无效[5]。我们提高了 三氧化二砷的浓度(0.1~8.1 μM),观察了其对HL-60和一种慢性粒细胞白血病细胞株K562 (CML)的作用并与其对NB4的作用进行比较。
, 百拇医药
1 材料和方法
1.1 材料:三氧化二砷(As 2O3分析纯)由湖南水口 山第二试剂厂生产。碘化丙碇( PI),RNA酶均为Sigma产品。RPMI 1640为GIBCO产品。单克隆抗体CD14,CD11b,CD15以及 它们的阴性对照IgG1均为Pharmingen产品,购自深圳晶美生物工程公司。
1.2 方法
1.2.1 细胞培养:HL-60,K562,NB4培养于RPMI 1640 培养基加入10%热灭活的小牛 血清,100 U*ml-1青霉素和链霉素,分别加入不同浓度的三氧化二砷溶液,在37℃ 含5%CO2条件下培养。
1.2.2 As2O3对细胞增生的影响:将 三种细胞以1×105细胞/ml接种,分别加 入0.1~8.1 μM As2O3,每隔24 h收集106个不同浓度作用后的三种细胞,用0.4%的 台盼蓝染色计数,三组取平均值。细胞抑制率=(对照组活细胞数-药物处理组活细胞数)/ 对照组活细胞数。
, 百拇医药
1.2.3 细胞形态学分析及核的变化:收集 As2O3处理72 h的三种细胞,用相差显 微镜观察并拍照。核的改变观察用70%冷乙醇将细胞固定于4℃过夜,PBS洗涤用50 μg*ml -1含0.1%Triton-100,0.1 MEDTA PI室温染色30 min,同时加入100 U*ml- 1的RNA酶,上流式细胞仪分析。
1.2.4 As2O3对分化标记抗原的影响 :收集各浓度As2O3处理后的三种细胞, 分别加入CD11b,CD14,CD15及其阴性对照IgG1室温孵育20 min,洗去多余单抗,用流式细 胞仪获取并分析。
2 结果
2.1 As2O3对细胞增生的抑制:As2O3对三种细胞增生的抑制见图1,结果显示 ,NB4是对As2O3最敏感的细胞,在低至0.3 μM时就能抑制细胞增生,0.6 μM可显著抑 制NB4生长。对K562细胞而言,显著的抑制发生在2.7 μM。相对而言HL-60是最不敏感的细 胞,2.7μM只显示轻微抑制,当浓度提高到8.1 μM时,HL-60细胞的生长被明显抑制。
, 百拇医药
2.2 As2O3引起三种细胞形态和核的变化:As2O3对三种细胞形态的改变见图2,可见经不同浓度As2O3 作用72 h后细胞出现明显的膜皱缩, 凋亡小体等凋亡标志。
图1 As2O3对NB4(A,B),K562(C,D),HL-60(E,F)三种细 胞生长的影响
图2 不同浓度的As2O3作用72 h后引起的NB4,K56 2,HL-60三种细胞形态学改变。A.NB4对照,B.0.6μM As2O3处理的NB4细胞,C.K 562对照,D.2.7μM As2O3处理K562细胞,E.HL-60对照,F.8.1μM As2O3处 理HL-60细胞(放大500倍),膜皱缩(mb),凋亡小体(ab)
, 百拇医药
图3 不同浓度的As2O3作用72 h后NB4,K562,HL-60三种细胞凋亡比例 。A.NB4对照,B.0.6μM As2O3处理的NB4细胞,C.K562对照,D.2.7μM As2 O3处理的K562细胞,E.HL-60对照,F.8.1μM As2O3处理的HL-60细胞
2.3 流式细胞术所显示的As2O3诱导的凋亡:图3是经0.6,2.7,8.1 μM As2O 3作用72 h的NB4,K562,HL-60三种细胞的凋亡比例,分别为50.9%,57.2%,60.0% ,且NB4显示某种程度的剂量依赖效应。
2.4 As2O3不影响细胞分化抗原表达:荧光单抗标记的As2O3处理的三种细胞均 显示CD11b,CD14及CD15在各种浓度处理后,与对照组无明显变化(数据未列出)。
, 百拇医药
3 讨论
随着临床砷诱导急性早幼粒细胞白血病缓解的报道,砷制剂被发现能诱导多种肿瘤细胞凋亡 ,如在2.0 μM浓度以下,诱导急性早幼粒白血病细胞株NB4[5],巨核细胞白血病 细胞HEL,Meg-01,UT-7及MO7e凋亡[6],但对单核细胞白血病U937及急性粒细 胞白血病细胞株HL-60无作用。当把As2O3的作用浓度提高至2.7 μM时,As2O 3也能诱导慢性粒细胞白血病细胞株K562细胞凋亡,当浓度高至8.1 μM左右时,对As2O 3不敏感 的HL-60细胞也发生了明显凋亡。因此我们认为As2O3对白血病细胞的凋亡并不是特 异性的,而是非特异性、非选择性的。这一点也被As2O3诱导其他实体瘤细胞株如食 管癌[7]、胃癌[8]、肝癌[9]及卵巢癌细胞[10]的凋亡 所证实。初步的研究证明As2O3诱导的凋亡与bcl-2的下调及细胞内氧化还原水平的改 变有关[11]。
, 百拇医药
作者简介:魏亚明(1966-),男,在读博士,主管技师
参考文献:
[1]Brown KG,Chen CJ.Significance of exposure assessment to analysis of cancer risk from inorganic arsenic in drinking water in Taiwan[J].Risk Anal,1995,15:4 75-484.
[2]Wang TS,Huang H.Active oxygen species are involved in the inducti on of micr onuclei by arsenite in XRS-5 cells[J].Mutagenesis,1994,9:243-257.
[3]张 鹏,王树叶.三氧化二砷注射液治疗72例急性早幼粒白血病[J].中 华血液学杂志,1996,17(2):58-60.
, 百拇医药
[4]Shen ZX,Chen GQ,Ni JH,et al.Arsenic trioxide (As2O3)in th e treatmen t of acute promyelocytic leukemia(APL):Ⅱ.Clinical efficacy and pharmacokinetics in relapsed patients[J].Blood,1997,89:3354-336 0.
[5]Chen GQ,Zhu j,Shi XG,et al.In vitro studies on cellular and m olecular m echanisms of arsenic trioxide(As2O3)in the treatment of acute promyelocytic l eukemia:As2O3 induces NB4 cell apoptosis with down-regulation of Bcl-2 exp ression and modulation of PML-RARα proteins[J].Blood,1996,88:1052-1061.
, 百拇医药
[6]Lu M,Jack L,Eric S,et al.Effect of arsenic trioxide on viabil ity,prolif eration and apoptosis in human meakaryocytic leukemia cell lines[J].Experiment al Hematology,1999,27:845.
[7]谭立军,史桂英,石学根,等.三氧化二砷对人食管癌细胞株凋亡的诱导 作用[J].中国癌症杂志,1999,9(2):85-87.
[8]顾琴龙.三氧化二砷对胃癌细胞杀伤的初步研究[J].肿瘤,1997,17(6 ):461-462.
[9]陈洪秦,秦叔逵,陈惠英,等.三氧化二砷诱导肝癌细胞株SMMC-7721凋 亡的实验研究[J].肿瘤防治研究,1998,25(5):336-338.
[10]杨 骅.As2O3诱导乳腺癌细胞凋亡[J].中国肿瘤生物防治,1997 ,4(3):245-247.
[11]魏亚明,欧英贤.砷制剂抗肿瘤研究进展[J].肿瘤,2000,23(3):22 3-225.
收稿日期:2000-05-10 修回:2000-05-29, http://www.100md.com