白背叶根化学成分研究
作者:徐一新 陈海生 周靖 刘文庸
单位:徐一新(中国人民解放军第二军医大学药学院天然药物化学教研室 上海 200433)
关键词:白背叶根;化学成分
解放军药学学报990503 摘 要 目的:寻找白背叶根中的活性成分。方法:醇提取,硅胶TLC,低压柱层析分离,光谱鉴定。结果:分得4个化合物,它们的结构为:Acetyl aleuritolic acid(I),高根二醇-3-醋酸酯(erythordiol-3-acetate)(II),东莨菪内酯(scopoletin)(III),β-谷甾醇-3-O-β-D-吡喃葡萄糖甙(β-sitosterol-3-O-β-D-glucopyranoside)(IV)。结论:化合物I、III、IV为首次从该植物中分得。
中图分类号 R931.5
, 百拇医药
STUDIES ON THE CHEMICAL CONSTITUENTS FROM THE ROOT OF MALLOTUS APLTA
Xu Yixin,Chen Haisheng,Zhou Jing,Liu Wenyong
(Department of Natural Medicinal Chemistry,School of Pharmacy,Second Military Medical University of PLA,Shanghai 200433)
Abstract AIM To study the chemical constituents of Mallotus aplta (Lour) Muell-Arg.METHODS The constituents were extracted by EtOH and then isolated by silica gel TLC and lower pressure CC.The chemical structures were identified on the base of the chemical reactions and spectral analysis.RESULTS Four compounds were isolated.Their chemical structures were established as acetyl aleuritolic acid(I),erythordiol-3-acetate(II),scopoletin(III),β-sitosterol-3-O-β-D-glucopyranoside(IV).CONCLUSION The stnlutune of the Compounds I,III,and IV were in Mallotus aplfa Muell-Arg defecfed found from this plant for the first time.
, 百拇医药
Key words Mallootus aplta root;Acetyl aleuritolic acid;Erythordiol-3-acetate;Scopoletin;β-sitosterol-3-O-β-D-glucopyranoside
白背叶根为大戟科(Euphorbiaceae)野桐属(Mallotus)植物白楸[Mallotus aplta(Lour.)Muell-Arg.]的根,在我国分布较广,资源丰富。异名白膜根、野桐根,有清热、利湿、固脱、消瘀等功效。用于治疗肠炎、慢性肝炎、脾脏肿大、腹泻、化脓性中耳炎、跌打损伤等。临床报道[1]曾用于治疗慢性肝炎,对降低转氨酶和缩小肝脾有一定作用。
关于白背叶根的化学成分研究国内外报道很少[2]。我们对广西产白背叶根进行了研究,从中分离并鉴定了4个单体化合物,其结构如下:

, http://www.100md.com
I.Acetyl aleuritolic acid II.高根二醇-3-醋酸酯(erythordiol-3
-acetate)

Ⅲ.东莨菪内酯(scopoletin) Ⅳ.β-谷甾醇-3-0-β-D-吡喃葡萄糖甙
(β-sitosterol-3-0-β-D-glucopyranoside)
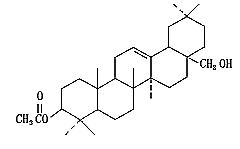
化合物I为白色针晶(CH3OH),mp.296℃~298℃。Liebermann-Burchard反应阳性。EI-MS给出分子量498,结合DEPT谱确定分子式为C32H50O4。1HNMR显示:7个甲基质子信号δ 0.85(3H,s),δ 0.88(3H,s),δ 0.92(6H,s,2×CH3),δ 0.94(3H,s),δ 0.95(6H,s,2×CH3);乙酰基上的甲基质子信号δ 2.04(3H,s);一组不等价CH2质子信号δ 2.27(1H,dd,J=3.2,14.4Hz),δ 2.37(1H,dd,J=8.1,14.4Hz)(16-CH2);一个烯质子信号δ 5.52(1H,dd)以及一个与氧相连的次甲基信号δ 4.46(1H,t)。13 CNMR和DEPT谱上显示有8个CH3,10个CH2,5个CH和9个季C,其中,2个C=O(δ 171.0,184.3ppm),一组不饱和碳:δ 116.9(CH)及160.5(季C), 两者化学位移值相差较大,根据文献[3]提示该双键应位于14,15位。其余各碳化学位移及EI-MS裂解主要碎片与文献[3、4]报道的Acetyl aleuritolic acid一致。故鉴定Sub I为Acetgl aleuritolic acid。此化合物为首次从该植物中分得。
, http://www.100md.com
化合物II为白色针晶(环已烷),mp 231℃~232℃。Liebermann-Burchard反应阳性。EI-MS给出分子量484,结合DEPT谱确定分子式为C32H52O3。1HNMR显示7个甲基质子信号δ 0.87(12H,s,4×CH3),δ 0.94(3H,s),δ 0.95(3H,s),δ 1.16(3H,s);乙酰基上甲基质子信号δ 2.05(3H,s);一组不等价CH2质子信号δ 3.20(1H,d,J=10.9Hz),δ 3.55(1H,d,J=10.9Hz)(28-CH2OH);一个烯质子信号δ 5.18(1H,m);一个与氧相连的次甲基质子信号δ 4.50(1H,t)。13 CNMR和DEPT谱上显示有8个CH3,11个CH2,5个CH,8个季C,其中一个C=O(δ 171.0ppm),一组不饱和碳:δ 122.2ppm(CH)及δ 144.2ppm(季C),两者化学位移值较接近,根据文献[3]该双键应位于12,13位,其1HNMR谱数据及EI-MS裂解主要碎片与文献[2]报道的高根二醇-3-醋酸酯一致。碳谱数据与文献报道[3]的高根二醇比较后,我们鉴定Sub II为高根二醇-3-醋酸酯。
, http://www.100md.com
化合物III为无色针晶(CHCl3),mp.196℃~198℃。EI-MS给出分子量为192,结合DEPT谱确定分子式为C10H8O4。1HNMR显示有一个甲氧基质子信号δ 3.96(3H,s),δ 6.27(1H,d,J=9.4Hz)与δ 7.60(1H,d,J=9.4Hz)有邻位偶合关系,为香豆素特征;δ 6.92(1H,s)与δ 6.85(1H,s)两者无明显偶合关系,说明为苯环对位H,提示:该香豆素的6,7位有取代,根据分子式可知6,7位应为甲氧基及羟基取代。由EI-MS可知,Sub III的M-CH3峰(m/e 177)为基峰,并有很强的M-CH3-CO离子(m/e 149),由文献[4]可知:由于醌式结构的形成使得C6-甲氧基容易失去甲基,故6位为甲氧基取代,而7位为羟基取代。其质谱裂解途径与文献[4]报道的东莨菪内酯相一致。故鉴定Sub III为东莨菪内酯。此化合物为首次从该植物中分得。
, 百拇医药
化合物IV为白色粉末(CHCl3-CH3OH),275℃~276℃(分解)。Molish反应和Liebermann-Burchard反应阳性。FAB-MS给出分子量为576,结合DEPT谱确定分子式为C35H60O6。1HNMR、13 CNMR均与胡萝卜甙标准图谱[5]相一致。IV与胡萝卜甙标准品在高效薄层板上Rf值也相一致。因此鉴定IV为胡萝卜甙。
1 仪器与试剂
1.1 仪器 ZMD 83-1型电热熔点测定仪(未校正)(江苏武进医用仪器厂);AC-300P型核磁共振仪(瑞士Bruker公司);Varian MAT 212型质谱仪(德国MAT公司)。
1.2 试剂 层析用硅胶H(10~40μ)(青岛海洋化工集团公司出品);粗硅胶(100~200目)(上海五四化学试剂厂出品)。溶剂系统I:石油醚∶EtOAc(不同比例);II:CHCl3∶CH3OH(不同比例);III:CHCl3∶CH3OH∶H2O(65∶35∶10,下层)。薄层显色剂I:30%浓H2SO4乙醇溶液(105℃加热5min);II:碘蒸汽。
, 百拇医药
2 材料与方法
2.1 材料 原植物于1997年采自广西,由广西中医药研究所覃德海中药师鉴定为大戟科(Euphorbiaceae)野桐属(Mallotus)植物白楸[Mallotus aplta(Lour.)Muell-Arg.]的根(白背叶根)。
2.2 提取分离 白背叶根2kg切碎,80%乙醇回流提取3次(6 000ml,2h;5 000ml×2,1.5h)。减压回收乙醇,浓缩液放置过夜,产生沉淀,滤过,得沉淀25g。将沉淀进行硅胶H低压柱层析,先用CHCl3洗脱,部分收集,分得结晶I和II。滤液再分别用CHCl3;
EtOAc和n-BuOH萃取。CHCl3部分,回收溶剂得残留物6.5g, 再进行多次低压硅胶柱层析,以CHCl3-MeOH不同比例洗脱,部分收集,分别得到结晶III和白色粉末IV。
, http://www.100md.com
3 结构鉴定
3.1 化合物I 白色针晶(CH3OH),mp.296℃~298℃。Liebermann-Burchard反应呈阳性。EI-MS m/z:498(M+ ·,1.7),344(8.9),329(9.0),284(4.5),269(14.5),249(16.2),248(46.6), 234(100),203(44.3),189(91.0)。1HNMR(CDCl3)δ ppm:0.85(3H,s,23-Me),0.88(3H,s,24-Me), 0.92(6H,s,2×CH3),0.94(3H,s),0.95(6H,s,2×CH3),2.04(3H,s,CH3CO-),2.27 (1H,dd,J=3.2,14.4 Hz)及2.37(1H,dd,J=8.1,14.4 Hz)(16-CH2),4.46(1H,t,3-H),5.52(1H,dd,15-H)。13 CNMR数据见表1。
, 百拇医药
3.2 化合物II 白色针晶(环已烷),mp.231℃~232℃。Liebermann-Burchard反应呈阳性。EI-MS m/z:484(M+ ·,1.27),453(2.56),393(3.56),234(17.0),203(100),189(18.0), 133(13.8)。1HNMR(CDCl3)δ ppm:0.89(3H,s,23-Me),0.86(3H,s,24-Me),0.94(3H,s,25-Me), 0.95(3H,s,26-Me),1.16(3H,s,27-Me),0.87(3H,s,29-Me),0.87(3H,s,30-Me),2.05(3H,s,CH3CO-), 3.20(1H,d,J=10.9Hz)及3.55(1H,d,J=10.9Hz)(28-CH2OH),4.50(1H,t,3-H),5.18(1H,m,12-H)。 13 CNMR数据见表1。
, 百拇医药
表1 化合物I,II,IV与已知化合物的碳谱数据比较
(75MHz CDCl3,ppm) C
acetgl aleucitolic
acid[3]
化合物I
高根二醇[2]
化合物
II
化合物
IV
1
, 百拇医药
37.4
37.6
38.6
38.2
37.5
2
23.4
23.4
27.2
25.5
30.1
3
80.8
, http://www.100md.com
80.9
79.0
80.9
78.6
4
37.6
37.7
38.8
37.7
40.0
5
55.5
55.6
, http://www.100md.com
55.2
55.2
140.9
6
18.7
18.7
18.4
18.2
121.9
7
40.7
40.7
32.6
, http://www.100md.com
32.5
32.1
8
39.0
39.0
39.8
39.8
32.1
9
49.0
49.1
47.6
47.5
, http://www.100md.com
50.4
10
37.9
37.9
36.9
36.8
36.9
11
17.2
17.3
23.6
23.5
21.3
, http://www.100md.com
12
33.2
33.3
122.2
122.2
39.4
13
37.2
37.3
144.2
144.2
42.5
14
, http://www.100md.com
160.5
160.5
41.7
41.7
56.9
15
116.8
116.9
25.6
255
24.5
16
31.3
, 百拇医药
31.3
22.0
22.0
28.5
17
51.4
51.5
36.9
36.9
56.2
18
41.3
41.4
, http://www.100md.com
42.3
42.3
12.0
19
35.2
35.3
46.5
46.4
19.4
20
29.2
29.3
31.0
, 百拇医药
30.9
36.4
21
33.6
33.6
34.1
34.1
19.0
22
30.6
30.7
31.0
31.0
, http://www.100md.com
34.2
23
27.9
27.9
28.1
28.0
26.4
24
16.5
16.6
15.5
15.5
46.1
, 百拇医药
25
15.6
15.6
15.5
15.5
29.5
26
26.1
26.2
16.7
16.7
19.2
27
, 百拇医药
22.4
22.5
25.9
25.9
20.0
28
184.2
184.3
69.7
69.7
23.4
29
31.8
, http://www.100md.com
31.8
33.2
33.2
12.2
30
28.6
28.6
23.6
23.6
CH3CO-
21.3
21.3
CH3CO-
, 百拇医药
171.0
171.0
1,102.6
2'
75.3
3'
78.4
4'
71.7
5'
78.1
6'
62.9
, 百拇医药
3.3 化合物III 无色针晶(CHCl3),mp.196℃~198℃。EI-MS m/z:192(M+ ·,87), 177(100), 164(38),149(62),121(27),107(4),69(47)。1HNMR(CDCl3)δ ppm:3.96(3H,s,6-OCH3), 6.27(1H,d,J=9.4Hz,3-H),7.60(1H,d,J=9.4Hz,4-H),6.92(1H,s,5-H),6.85(1H,s,8-H)。 13 CNMR(CDCl3)δ ppm:161.5(C-2),113.4(C-3),143.3(C-4),111.5(C-4a),107.5(C-5), 144.0(C-6),149.7(C-7),103.2(C-8),150.3(C-8a)。
3.4 化合物IV 白色粉末(CHCl3-CH3OH),可溶于吡啶,275℃~276℃(分解)。FAB-MS m/z:599[M+Na]+,615[M+K]+,413,397,307,289。1HNMR(C5D5N)δ ppm:0.64~0.97(each 3H,s,Me), 3.97,4.43,4.55(m,2'~6'-H),4.27(1H,t,3-H),5.04(1H,d,J=7.6Hz,1'-H),5.34(1H,m,6-H)。13 CNMR数据见表1。
, http://www.100md.com
致谢:原植物由广西中医药研究所覃德海中药师鉴定,质谱由上海医药工业研究院王惠敏老师代测,核磁共振由本院仪器室杨根金老师代测,在此一并表示感谢。
作者简介:徐一新,女,理学硕士,讲师。
参考文献:
1 江苏新医学院.中药大辞典.上海:上海人民出版社,1977;749
2 单雪琴,冯廉彬,吴承顺.白背叶根的化学成分.植物学报,1985;27(2):192
3 SHASHI.,B.M.and ASISH.,P.K.13CNMR spectra of pentacyclic triterpenoids-a compilation and some salient features.Phytochemistry,1994;37(6):1517
4 丛浦珠.质谱学在天然有机化学中的应用.北京:科学出版社,1987;546,717
5 JINSAKU S.,TOYO K.,HARUYO F.,et al.6β-Hydroxyursolic acid and other triterpenoids of Enkianthus cernuus.Phytochemistry,1983;22(11): 2553
收稿日期:1999-04-20
修改日期:1999-07-26, 百拇医药
单位:徐一新(中国人民解放军第二军医大学药学院天然药物化学教研室 上海 200433)
关键词:白背叶根;化学成分
解放军药学学报990503 摘 要 目的:寻找白背叶根中的活性成分。方法:醇提取,硅胶TLC,低压柱层析分离,光谱鉴定。结果:分得4个化合物,它们的结构为:Acetyl aleuritolic acid(I),高根二醇-3-醋酸酯(erythordiol-3-acetate)(II),东莨菪内酯(scopoletin)(III),β-谷甾醇-3-O-β-D-吡喃葡萄糖甙(β-sitosterol-3-O-β-D-glucopyranoside)(IV)。结论:化合物I、III、IV为首次从该植物中分得。
中图分类号 R931.5
, 百拇医药
STUDIES ON THE CHEMICAL CONSTITUENTS FROM THE ROOT OF MALLOTUS APLTA
Xu Yixin,Chen Haisheng,Zhou Jing,Liu Wenyong
(Department of Natural Medicinal Chemistry,School of Pharmacy,Second Military Medical University of PLA,Shanghai 200433)
Abstract AIM To study the chemical constituents of Mallotus aplta (Lour) Muell-Arg.METHODS The constituents were extracted by EtOH and then isolated by silica gel TLC and lower pressure CC.The chemical structures were identified on the base of the chemical reactions and spectral analysis.RESULTS Four compounds were isolated.Their chemical structures were established as acetyl aleuritolic acid(I),erythordiol-3-acetate(II),scopoletin(III),β-sitosterol-3-O-β-D-glucopyranoside(IV).CONCLUSION The stnlutune of the Compounds I,III,and IV were in Mallotus aplfa Muell-Arg defecfed found from this plant for the first time.
, 百拇医药
Key words Mallootus aplta root;Acetyl aleuritolic acid;Erythordiol-3-acetate;Scopoletin;β-sitosterol-3-O-β-D-glucopyranoside
白背叶根为大戟科(Euphorbiaceae)野桐属(Mallotus)植物白楸[Mallotus aplta(Lour.)Muell-Arg.]的根,在我国分布较广,资源丰富。异名白膜根、野桐根,有清热、利湿、固脱、消瘀等功效。用于治疗肠炎、慢性肝炎、脾脏肿大、腹泻、化脓性中耳炎、跌打损伤等。临床报道[1]曾用于治疗慢性肝炎,对降低转氨酶和缩小肝脾有一定作用。
关于白背叶根的化学成分研究国内外报道很少[2]。我们对广西产白背叶根进行了研究,从中分离并鉴定了4个单体化合物,其结构如下:
, http://www.100md.com
I.Acetyl aleuritolic acid II.高根二醇-3-醋酸酯(erythordiol-3
-acetate)
Ⅲ.东莨菪内酯(scopoletin) Ⅳ.β-谷甾醇-3-0-β-D-吡喃葡萄糖甙
(β-sitosterol-3-0-β-D-glucopyranoside)
化合物I为白色针晶(CH3OH),mp.296℃~298℃。Liebermann-Burchard反应阳性。EI-MS给出分子量498,结合DEPT谱确定分子式为C32H50O4。1HNMR显示:7个甲基质子信号δ 0.85(3H,s),δ 0.88(3H,s),δ 0.92(6H,s,2×CH3),δ 0.94(3H,s),δ 0.95(6H,s,2×CH3);乙酰基上的甲基质子信号δ 2.04(3H,s);一组不等价CH2质子信号δ 2.27(1H,dd,J=3.2,14.4Hz),δ 2.37(1H,dd,J=8.1,14.4Hz)(16-CH2);一个烯质子信号δ 5.52(1H,dd)以及一个与氧相连的次甲基信号δ 4.46(1H,t)。13 CNMR和DEPT谱上显示有8个CH3,10个CH2,5个CH和9个季C,其中,2个C=O(δ 171.0,184.3ppm),一组不饱和碳:δ 116.9(CH)及160.5(季C), 两者化学位移值相差较大,根据文献[3]提示该双键应位于14,15位。其余各碳化学位移及EI-MS裂解主要碎片与文献[3、4]报道的Acetyl aleuritolic acid一致。故鉴定Sub I为Acetgl aleuritolic acid。此化合物为首次从该植物中分得。
, http://www.100md.com
化合物II为白色针晶(环已烷),mp 231℃~232℃。Liebermann-Burchard反应阳性。EI-MS给出分子量484,结合DEPT谱确定分子式为C32H52O3。1HNMR显示7个甲基质子信号δ 0.87(12H,s,4×CH3),δ 0.94(3H,s),δ 0.95(3H,s),δ 1.16(3H,s);乙酰基上甲基质子信号δ 2.05(3H,s);一组不等价CH2质子信号δ 3.20(1H,d,J=10.9Hz),δ 3.55(1H,d,J=10.9Hz)(28-CH2OH);一个烯质子信号δ 5.18(1H,m);一个与氧相连的次甲基质子信号δ 4.50(1H,t)。13 CNMR和DEPT谱上显示有8个CH3,11个CH2,5个CH,8个季C,其中一个C=O(δ 171.0ppm),一组不饱和碳:δ 122.2ppm(CH)及δ 144.2ppm(季C),两者化学位移值较接近,根据文献[3]该双键应位于12,13位,其1HNMR谱数据及EI-MS裂解主要碎片与文献[2]报道的高根二醇-3-醋酸酯一致。碳谱数据与文献报道[3]的高根二醇比较后,我们鉴定Sub II为高根二醇-3-醋酸酯。
, http://www.100md.com
化合物III为无色针晶(CHCl3),mp.196℃~198℃。EI-MS给出分子量为192,结合DEPT谱确定分子式为C10H8O4。1HNMR显示有一个甲氧基质子信号δ 3.96(3H,s),δ 6.27(1H,d,J=9.4Hz)与δ 7.60(1H,d,J=9.4Hz)有邻位偶合关系,为香豆素特征;δ 6.92(1H,s)与δ 6.85(1H,s)两者无明显偶合关系,说明为苯环对位H,提示:该香豆素的6,7位有取代,根据分子式可知6,7位应为甲氧基及羟基取代。由EI-MS可知,Sub III的M-CH3峰(m/e 177)为基峰,并有很强的M-CH3-CO离子(m/e 149),由文献[4]可知:由于醌式结构的形成使得C6-甲氧基容易失去甲基,故6位为甲氧基取代,而7位为羟基取代。其质谱裂解途径与文献[4]报道的东莨菪内酯相一致。故鉴定Sub III为东莨菪内酯。此化合物为首次从该植物中分得。
, 百拇医药
化合物IV为白色粉末(CHCl3-CH3OH),275℃~276℃(分解)。Molish反应和Liebermann-Burchard反应阳性。FAB-MS给出分子量为576,结合DEPT谱确定分子式为C35H60O6。1HNMR、13 CNMR均与胡萝卜甙标准图谱[5]相一致。IV与胡萝卜甙标准品在高效薄层板上Rf值也相一致。因此鉴定IV为胡萝卜甙。
1 仪器与试剂
1.1 仪器 ZMD 83-1型电热熔点测定仪(未校正)(江苏武进医用仪器厂);AC-300P型核磁共振仪(瑞士Bruker公司);Varian MAT 212型质谱仪(德国MAT公司)。
1.2 试剂 层析用硅胶H(10~40μ)(青岛海洋化工集团公司出品);粗硅胶(100~200目)(上海五四化学试剂厂出品)。溶剂系统I:石油醚∶EtOAc(不同比例);II:CHCl3∶CH3OH(不同比例);III:CHCl3∶CH3OH∶H2O(65∶35∶10,下层)。薄层显色剂I:30%浓H2SO4乙醇溶液(105℃加热5min);II:碘蒸汽。
, 百拇医药
2 材料与方法
2.1 材料 原植物于1997年采自广西,由广西中医药研究所覃德海中药师鉴定为大戟科(Euphorbiaceae)野桐属(Mallotus)植物白楸[Mallotus aplta(Lour.)Muell-Arg.]的根(白背叶根)。
2.2 提取分离 白背叶根2kg切碎,80%乙醇回流提取3次(6 000ml,2h;5 000ml×2,1.5h)。减压回收乙醇,浓缩液放置过夜,产生沉淀,滤过,得沉淀25g。将沉淀进行硅胶H低压柱层析,先用CHCl3洗脱,部分收集,分得结晶I和II。滤液再分别用CHCl3;
EtOAc和n-BuOH萃取。CHCl3部分,回收溶剂得残留物6.5g, 再进行多次低压硅胶柱层析,以CHCl3-MeOH不同比例洗脱,部分收集,分别得到结晶III和白色粉末IV。
, http://www.100md.com
3 结构鉴定
3.1 化合物I 白色针晶(CH3OH),mp.296℃~298℃。Liebermann-Burchard反应呈阳性。EI-MS m/z:498(M+ ·,1.7),344(8.9),329(9.0),284(4.5),269(14.5),249(16.2),248(46.6), 234(100),203(44.3),189(91.0)。1HNMR(CDCl3)δ ppm:0.85(3H,s,23-Me),0.88(3H,s,24-Me), 0.92(6H,s,2×CH3),0.94(3H,s),0.95(6H,s,2×CH3),2.04(3H,s,CH3CO-),2.27 (1H,dd,J=3.2,14.4 Hz)及2.37(1H,dd,J=8.1,14.4 Hz)(16-CH2),4.46(1H,t,3-H),5.52(1H,dd,15-H)。13 CNMR数据见表1。
, 百拇医药
3.2 化合物II 白色针晶(环已烷),mp.231℃~232℃。Liebermann-Burchard反应呈阳性。EI-MS m/z:484(M+ ·,1.27),453(2.56),393(3.56),234(17.0),203(100),189(18.0), 133(13.8)。1HNMR(CDCl3)δ ppm:0.89(3H,s,23-Me),0.86(3H,s,24-Me),0.94(3H,s,25-Me), 0.95(3H,s,26-Me),1.16(3H,s,27-Me),0.87(3H,s,29-Me),0.87(3H,s,30-Me),2.05(3H,s,CH3CO-), 3.20(1H,d,J=10.9Hz)及3.55(1H,d,J=10.9Hz)(28-CH2OH),4.50(1H,t,3-H),5.18(1H,m,12-H)。 13 CNMR数据见表1。
, 百拇医药
表1 化合物I,II,IV与已知化合物的碳谱数据比较
(75MHz CDCl3,ppm) C
acetgl aleucitolic
acid[3]
化合物I
高根二醇[2]
化合物
II
化合物
IV
1
, 百拇医药
37.4
37.6
38.6
38.2
37.5
2
23.4
23.4
27.2
25.5
30.1
3
80.8
, http://www.100md.com
80.9
79.0
80.9
78.6
4
37.6
37.7
38.8
37.7
40.0
5
55.5
55.6
, http://www.100md.com
55.2
55.2
140.9
6
18.7
18.7
18.4
18.2
121.9
7
40.7
40.7
32.6
, http://www.100md.com
32.5
32.1
8
39.0
39.0
39.8
39.8
32.1
9
49.0
49.1
47.6
47.5
, http://www.100md.com
50.4
10
37.9
37.9
36.9
36.8
36.9
11
17.2
17.3
23.6
23.5
21.3
, http://www.100md.com
12
33.2
33.3
122.2
122.2
39.4
13
37.2
37.3
144.2
144.2
42.5
14
, http://www.100md.com
160.5
160.5
41.7
41.7
56.9
15
116.8
116.9
25.6
255
24.5
16
31.3
, 百拇医药
31.3
22.0
22.0
28.5
17
51.4
51.5
36.9
36.9
56.2
18
41.3
41.4
, http://www.100md.com
42.3
42.3
12.0
19
35.2
35.3
46.5
46.4
19.4
20
29.2
29.3
31.0
, 百拇医药
30.9
36.4
21
33.6
33.6
34.1
34.1
19.0
22
30.6
30.7
31.0
31.0
, http://www.100md.com
34.2
23
27.9
27.9
28.1
28.0
26.4
24
16.5
16.6
15.5
15.5
46.1
, 百拇医药
25
15.6
15.6
15.5
15.5
29.5
26
26.1
26.2
16.7
16.7
19.2
27
, 百拇医药
22.4
22.5
25.9
25.9
20.0
28
184.2
184.3
69.7
69.7
23.4
29
31.8
, http://www.100md.com
31.8
33.2
33.2
12.2
30
28.6
28.6
23.6
23.6
CH3CO-
21.3
21.3
CH3CO-
, 百拇医药
171.0
171.0
1,102.6
2'
75.3
3'
78.4
4'
71.7
5'
78.1
6'
62.9
, 百拇医药
3.3 化合物III 无色针晶(CHCl3),mp.196℃~198℃。EI-MS m/z:192(M+ ·,87), 177(100), 164(38),149(62),121(27),107(4),69(47)。1HNMR(CDCl3)δ ppm:3.96(3H,s,6-OCH3), 6.27(1H,d,J=9.4Hz,3-H),7.60(1H,d,J=9.4Hz,4-H),6.92(1H,s,5-H),6.85(1H,s,8-H)。 13 CNMR(CDCl3)δ ppm:161.5(C-2),113.4(C-3),143.3(C-4),111.5(C-4a),107.5(C-5), 144.0(C-6),149.7(C-7),103.2(C-8),150.3(C-8a)。
3.4 化合物IV 白色粉末(CHCl3-CH3OH),可溶于吡啶,275℃~276℃(分解)。FAB-MS m/z:599[M+Na]+,615[M+K]+,413,397,307,289。1HNMR(C5D5N)δ ppm:0.64~0.97(each 3H,s,Me), 3.97,4.43,4.55(m,2'~6'-H),4.27(1H,t,3-H),5.04(1H,d,J=7.6Hz,1'-H),5.34(1H,m,6-H)。13 CNMR数据见表1。
, http://www.100md.com
致谢:原植物由广西中医药研究所覃德海中药师鉴定,质谱由上海医药工业研究院王惠敏老师代测,核磁共振由本院仪器室杨根金老师代测,在此一并表示感谢。
作者简介:徐一新,女,理学硕士,讲师。
参考文献:
1 江苏新医学院.中药大辞典.上海:上海人民出版社,1977;749
2 单雪琴,冯廉彬,吴承顺.白背叶根的化学成分.植物学报,1985;27(2):192
3 SHASHI.,B.M.and ASISH.,P.K.13CNMR spectra of pentacyclic triterpenoids-a compilation and some salient features.Phytochemistry,1994;37(6):1517
4 丛浦珠.质谱学在天然有机化学中的应用.北京:科学出版社,1987;546,717
5 JINSAKU S.,TOYO K.,HARUYO F.,et al.6β-Hydroxyursolic acid and other triterpenoids of Enkianthus cernuus.Phytochemistry,1983;22(11): 2553
收稿日期:1999-04-20
修改日期:1999-07-26, 百拇医药