生物可降解高分子材料——聚原酸酯
作者:魏 民 常 津* 姚康德
单位:魏 民 常 津 姚康德 天津大学高分子材料科学与工程研究所(天津300072)
关键词:
北京生物医学工程990116聚原酸酯概述
聚原酸酯(poly(orthoesters),POE)是一种人工合成的生物可降解高分子材料,通过多元原酸或多元原酸酯与多元醇类经在无水条件下缩合形成原酸酯键而制得,产物为疏水型聚合物,不溶于水,在水溶液中也不发生溶胀,可溶于环己烷,四氢呋喃等有机溶剂。在生物体内的降解是由原酸酯键处的水解反应引起的,降解最终产物为水溶性的小分子,容易被生物体所代谢[3]。由于其疏水性,如果在制作成基材的过程中密度均一且不存在空隙,那么因表面张力的作用,水分子就不易进入基材内部,降解过程主要发生在材料表面,称为“表面融蚀”(surface erosion)[4],如图1所示。
, 百拇医药
图1 POE表面融蚀过程
表面融蚀的优点是降解过程可以预测,特别是在药物释放中药物释放速率直接相关于聚合物的融蚀速率,例如基材外形为薄膜时,生物降解过程中表面积保持不变,则可以达到药物的匀速释放。
1 发展历史
1965年Methrota等最早报道了用原早酸酯HC(OR)3与1,6-已二醇等摩尔比或2∶3摩尔比反应制备低分子量的化合物,几乎是同时Crank等人也完成了用原甲酯乙酸HC(OC2H5)3与1,2,4-丁三醇、1,2,5-戊三醇、1,3,5-戊三醇等三元醇制备单元环状化合物的反应。在制备过程中,Crank等发现当原料中混有1,2-二元醇时,产物中存在-CH2-CH2-的键结构,在继而的研究工作中,他们改用多官能团链烯来代替二元醇进行反应。不久以后,Delvolfe在“Carboxylic Ortho Acid Derivatives”一书中指出羧原酸酯比其它羧酸酯类更易于酸性水解,这种高的水解活性影响了它们的合成与贮存条件。Delvolfe阐述用二元醇与烷氧基二噁烷合成原酸酯,然后在酸性条件下水解,可制得单酰化二元醇。70年代初,Bailey用螺旋原酸酯分别在常温和升温条件下制备了如[-CH2CH2CH2COOCH2CH2O-]n和[-OCH2OCOOCH2CH2CH2-]n结构的聚酯和聚碳酸酯[5]。
, 百拇医药
自此以后,以Jorge Heller等人为主的研究人员们进行了大量广泛深入的研究,采用不同的方法合成出各种性能的POE,应用于多个领域。作者将POE按主链结构的不同归纳为三类,分别进行评述。
2 二元醇与原酸酯或原碳酸酯经酯交换反应合成的POE[6,7]
这类POE的结构式为:
其中R1是一个多价烃基,R2和R3也是烃基,但其中至少有一个与图中的碳原子通过一个氧原子连接。
这类POE主要有两种,其中一种为二元醇与呋喃类化合物在无水条件下用溶剂法制得,例如1,4-环己二甲醇与2,2-二乙氧基四氢呋喃的聚合,其产物为:
, 百拇医药
其中1,4-环己二甲醇也可以是2-甲基-1,4-环己二乙醇或2-甲基-1,4-环己二丙醇等。2,2-二乙氧基四氢呋喃也可以是2,2,2-乙氧基-5-甲基-3,4-二氢呋喃等。
另外一种为二元醇与二氧戊烷类单体的聚合物。例如1,4-环己二甲醇与2,2-二乙氧基-5-甲基-1,3-二氧戊烷的聚合产物为:
这类POE在常温下多为固态,非结晶性聚合物。其水解反应为:
图2 二元醇与原酸酯或原碳酸酯经酯交换反应合成的POE水解反应
其降解产物中有结构为H-O-C(R2R3)-O-H的有机酸,这种酸性能催化酯键的水解,因此这类POE有能够自催化降解的功能[8]。
, http://www.100md.com
在加工过程中,因为这类POE是固体,所以可通过熔融挤出成形,制成片状,棒状或纤维状,或压制成形,还可以用溶剂挥发法成膜。最初这种产品希望在农业上用作长期释放植物生长剂、化肥、除草剂等的基材,后来发现这类POE在生物体内也能降解,并且降解产物是可被代谢的水溶性小分子,于是就开发了POE基药物缓释体系,用于长效释放苯并噻嗪,二氯吩和胰岛素等药物,提高了药物活性并减少了药物的毒副作用。在其它临床应用中,可将其制成膜状,包载消炎药物和止血药物,贴在创口上,促进创口的愈合;制成小片,植入眼腔内,释放药物治疗眼疾;还可以制成骨钉等短期体内植入物。
3 双烯酮与多元醇反应制备的POE
其反应方程式为:
图3 双烯酮与多元醇制备POE的聚合反应
, 百拇医药
这类POE中双烯酮单体
是不变的,其全称为3,9-双(2-叉-2,4,8,10-四噁螺(5,5))十一烷,简称(DETOSU)。如果多元醇单体为二元醇,则经缩合可形成链状聚合物[9]。常用的二元醇有两种,分别为反式对位环己二甲醇(transcyclohexane-dimethand,t-CDM)和1,6-己二醇(1,6-hexanediol)。t-CDM单位结构中存在六元环,为刚性,而1,6-HD则为柔性。在与双烯酮的聚合反应中,改变t-CDM与1,6-HD的比例可以制得如柔顺性,粘度等物理力学性能不同的高聚物,其Tg范围可在20℃至100℃间调节。对于这种POE基材来说,多采用熔合法制备药物释放体系,因此要求Tg不能过低。应用最多的是t-CDM:1,6-HD=35∶65的聚合物,其Tg约为50℃,可加热压模制成棒状、片状等各种形状的植入物[10]。Heller等人用这种POE制备了包载对硝基乙酰苯胺,5-FU等药物的控释片剂,并进行了体外释放及降解实验,还用5-FU控释片进行了动物实验,结果表明显著提高了癌症小鼠的存活期并且没有毒性反应[11]。作者用超声乳化-溶剂挥发法制备了这种POE的载药微包囊与纳米包囊,用于对癌症器官的靶向治疗。
, http://www.100md.com
与第一类相同,这类POE的主链中也存在对酸敏感的酯键,因此可在基材中加入酸性或碱性“赋形剂”来控制POE的水解速度,进而可以控制药物的释放速度。加入酸性“赋形剂”能加速POE的水解,加入量越多加快程度越大。常用的酸性赋形剂为衣康酸、己二酸、辛二酸等小分子有机酸。加入碱性“赋形剂”则可减缓POE水解,常用的为NaOH。
在图3所示聚合过程中,若混入三元醇,则会形成支链或交联的网状结构,这种交联POE的降解也是发生在酯键处,但由于交联作用,不能马上分解为可溶于水的小分子,融蚀作用不明显,而且由于降解引起了基材结构的缺陷,药物分子可通过这些缺陷溶于水中,这种药物控释机理由原来的以降解控制为主变为以扩散控制为主。
4 由烷基原酸酯与三元醇聚合成的POE
所用原酸酯主要有三甲基原乙酸酯,三乙基原乙酸酯。三元醇单体有直链的1,2,6-己三醇和环状的1,1,4-环己三甲醇等。例如三乙基原酸酯与三元醇聚合反应为:
, http://www.100md.com
图4 三乙基原酸酯与三元醇的聚合反应
反应在无水条件下,以环己烷为溶剂进行溶液聚合,采用柔性的1,2,6-己三醇为单体聚合,可以制得半固态膏状物质。这种POE的优点是固体药物能与和聚合物直接通过机械方法混合均匀,不用加热,也无需溶剂协助,操作简便,还可以用较粗的针式注射器注入体内[12]。Roskos等用这种POE与甲硝唑混合,注入狗的牙包囊内,考察了粘附性与药物控制释放情况[13]。Bematchez等将其注入兔眼观察病理反应[14]。Heller等用其与生物大分子如溶菌酶混合,研究体外释放情况与蛋白质在控释过程中的活性[15]。
在酸性条件下同样能加速这种POE的降解过程,因此常在药物控释体系中混入Mg(OH)2来延长释放时间。
Heller等还用如1,1,4-环己三甲醇等与原酸酯进行聚合反应,产物为固体。反应过程与图4所示相同。当所用原酸酯为三甲基原酸酯时,能够得到结晶性的聚原酸酯,这样的POE不利于药物与基材混合均匀,而采用三乙基原酸酯为单体进行聚合时,则可制得非结晶性的聚合物。
, http://www.100md.com
5 其 它
除了以上所述三类POE外,为获得应用更广泛,性能更优越的药物控释体系,广大研究人员通过共聚,共混等方法对原有的POE进行改进,以便适用于不同的要求。
Edward等合成了如下结构的POE:
其中R可以是脂肪族的,脂环族的或芳香族的有机酸。在这种POE的重复单元中,烃基上至少含有一个羰氧基团和一个对称的有极性侧基的双氧碳,可通过改变上述单体的结构来改变极性,从而制得的聚合物亲水性不同,用这种方法来控制药物的释放。当极性充分大时,甚至能制得水溶性的POE[16]。Heller等将双烯酮与亲水性单体共聚,增强了POE的亲水性[17]。作者与S.Y.Ng等人也正在从事聚乙二醇-聚原酸酯的嵌段共聚物的研制与应用。S.Y.Ng开发了乳酸/双烯酮与二元醇的共聚物,这种聚合物的降解产物更易被生物体代谢。为了提高POE的亲水性,加快POE的降解速度和提高生物相容性,作者采用溶剂法将POE与亲水性的PEG共混,研究了该体系的相行为和体外药物释放情况。
, 百拇医药
6 展 望
目前,人工合成生物可降解高分子材料已应用于癌症治疗,疫苗控释,制造纳米材料,增加血浆半衰期,矫形固定装置和器官修补等尖端技术,但是生物医学的迅速发展对生物材料不断提出更高更新的要求,从而导致这方面的研究工作也得到了相应的发展。对于POE这种较为新型的生物可降解高分子材料来说,为了适应上述要求,越来越多的具有各种不同性能的POE将被合成出来。由于POE降解过程的可预测性,今后的研究方向是如何按照环境要求和机械性能和降解速度来进行高聚物的分子设计,从而推出更多品种的POE应用于医学领域。除此之外,改善POE的生物相容性和减少其降解产物的毒副作用,也是未来的研究重点之一。
作者简介:魏民 男,25岁,硕士研究生,从事聚原酸酯基生物材料的研究.*联系人
7 参考文献
[1]Heller J.Chemically self-regulated drug delivery system.J Control Rel,1998,8:111
, http://www.100md.com
[2]Langer R,Vacanti J P.Tissue engineering.Science,1993,260:920
[3]Nguyen T H,Himmelstein K J,Higuchi T.Some equilibrium and kinetic aspects of water sorption in poly(ortho esters).Int J Pharm,1985,25:1
[4]Gopferich A.Mechanism of polymer degradation and erosion.Biomaterials,1996,17:103
[5]Heller J Poly(ortho esters),Adv.Polym Sci,1993,107:41
[6]Choi N S and Heller J,U.S.Patent 4,138,344(February 6,1979)
, http://www.100md.com
[7]Choi N S and Heller J.U.S.Patent 4,180,646(December 25,1979)
[8]Shih C,Higuchi T,Himmelstein K J.Drug delivery from catalyzed erodible polymeric matrices of poly(ortho esters).Biomaterials,1984,5:237
[9]Heller J,Penhale D W H,Helwing R F.Preparation of poly(ortho esters)by the reaction of diketene acetals and polyols.J Polym Sci:Polym.Lett.,1980,18:6 19
[10]Heller J,Ng SY,Penhale D W H,et al.The use of poly(ortho esters)for the controlled release of 5-fluorouracil and a LHRH analogue.J Control Rel,1987,6:21 7
, 百拇医药
[11]Heller J,Maa Y F,Uthrich P W,et al.Recent devlopments in the synthsis and utilization of poly(ortho esters).J Control Rel,1991,16:3
[12]Heller J,Ng S Y,Fritzinger BK.Synthesis and characterization of a new family of poly(ortho esters).Macromolecules,1992,24:3362
[13]Roskos K V,Fritzinger B K,Rao S S,et al.Development of a drug delivery system for the treatment of periodontal disease based on bioerodible poly(ortho esters).1995,16:313
, 百拇医药
[14]Stephanie F B,Alain M,Minh T L,et al.Biocompatibity of a new semisoid bioe rodible poly(ortho esters)intended for the ocular delivery of 5-fulorouracil.J Biomed Mater Res,1994,28:1037
[15]Wuthrich P,Ng S Y,Roskos KV,et al.Pulsatile and delayed release lysozyme from oinment-like poly(ortho esters).J Control Rel,1992,21:191
[16]Mark C,Court W,Joseph T,et al.WO 95/09613(April 13,1995)
[17]Heller J,Penhale D W,Fritizinger B K, et al.The effect of copolymerized 9,10-dihydroxystearic acid on erosion rates of poly(ortho esters)and use in the delivery of levonorgestrel.J Control Rel,1987,5:173
(1998-06-16收稿), http://www.100md.com
单位:魏 民 常 津 姚康德 天津大学高分子材料科学与工程研究所(天津300072)
关键词:
北京生物医学工程990116聚原酸酯概述
聚原酸酯(poly(orthoesters),POE)是一种人工合成的生物可降解高分子材料,通过多元原酸或多元原酸酯与多元醇类经在无水条件下缩合形成原酸酯键而制得,产物为疏水型聚合物,不溶于水,在水溶液中也不发生溶胀,可溶于环己烷,四氢呋喃等有机溶剂。在生物体内的降解是由原酸酯键处的水解反应引起的,降解最终产物为水溶性的小分子,容易被生物体所代谢[3]。由于其疏水性,如果在制作成基材的过程中密度均一且不存在空隙,那么因表面张力的作用,水分子就不易进入基材内部,降解过程主要发生在材料表面,称为“表面融蚀”(surface erosion)[4],如图1所示。
, 百拇医药
图1 POE表面融蚀过程
表面融蚀的优点是降解过程可以预测,特别是在药物释放中药物释放速率直接相关于聚合物的融蚀速率,例如基材外形为薄膜时,生物降解过程中表面积保持不变,则可以达到药物的匀速释放。
1 发展历史
1965年Methrota等最早报道了用原早酸酯HC(OR)3与1,6-已二醇等摩尔比或2∶3摩尔比反应制备低分子量的化合物,几乎是同时Crank等人也完成了用原甲酯乙酸HC(OC2H5)3与1,2,4-丁三醇、1,2,5-戊三醇、1,3,5-戊三醇等三元醇制备单元环状化合物的反应。在制备过程中,Crank等发现当原料中混有1,2-二元醇时,产物中存在-CH2-CH2-的键结构,在继而的研究工作中,他们改用多官能团链烯来代替二元醇进行反应。不久以后,Delvolfe在“Carboxylic Ortho Acid Derivatives”一书中指出羧原酸酯比其它羧酸酯类更易于酸性水解,这种高的水解活性影响了它们的合成与贮存条件。Delvolfe阐述用二元醇与烷氧基二噁烷合成原酸酯,然后在酸性条件下水解,可制得单酰化二元醇。70年代初,Bailey用螺旋原酸酯分别在常温和升温条件下制备了如[-CH2CH2CH2COOCH2CH2O-]n和[-OCH2OCOOCH2CH2CH2-]n结构的聚酯和聚碳酸酯[5]。
, 百拇医药
自此以后,以Jorge Heller等人为主的研究人员们进行了大量广泛深入的研究,采用不同的方法合成出各种性能的POE,应用于多个领域。作者将POE按主链结构的不同归纳为三类,分别进行评述。
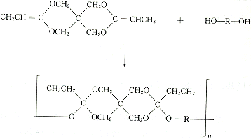
2 二元醇与原酸酯或原碳酸酯经酯交换反应合成的POE[6,7]
这类POE的结构式为:
其中R1是一个多价烃基,R2和R3也是烃基,但其中至少有一个与图中的碳原子通过一个氧原子连接。
这类POE主要有两种,其中一种为二元醇与呋喃类化合物在无水条件下用溶剂法制得,例如1,4-环己二甲醇与2,2-二乙氧基四氢呋喃的聚合,其产物为:
, 百拇医药
其中1,4-环己二甲醇也可以是2-甲基-1,4-环己二乙醇或2-甲基-1,4-环己二丙醇等。2,2-二乙氧基四氢呋喃也可以是2,2,2-乙氧基-5-甲基-3,4-二氢呋喃等。
另外一种为二元醇与二氧戊烷类单体的聚合物。例如1,4-环己二甲醇与2,2-二乙氧基-5-甲基-1,3-二氧戊烷的聚合产物为:
这类POE在常温下多为固态,非结晶性聚合物。其水解反应为:
图2 二元醇与原酸酯或原碳酸酯经酯交换反应合成的POE水解反应
其降解产物中有结构为H-O-C(R2R3)-O-H的有机酸,这种酸性能催化酯键的水解,因此这类POE有能够自催化降解的功能[8]。
, http://www.100md.com
在加工过程中,因为这类POE是固体,所以可通过熔融挤出成形,制成片状,棒状或纤维状,或压制成形,还可以用溶剂挥发法成膜。最初这种产品希望在农业上用作长期释放植物生长剂、化肥、除草剂等的基材,后来发现这类POE在生物体内也能降解,并且降解产物是可被代谢的水溶性小分子,于是就开发了POE基药物缓释体系,用于长效释放苯并噻嗪,二氯吩和胰岛素等药物,提高了药物活性并减少了药物的毒副作用。在其它临床应用中,可将其制成膜状,包载消炎药物和止血药物,贴在创口上,促进创口的愈合;制成小片,植入眼腔内,释放药物治疗眼疾;还可以制成骨钉等短期体内植入物。
3 双烯酮与多元醇反应制备的POE
其反应方程式为:
图3 双烯酮与多元醇制备POE的聚合反应
, 百拇医药
这类POE中双烯酮单体
, http://www.100md.com
与第一类相同,这类POE的主链中也存在对酸敏感的酯键,因此可在基材中加入酸性或碱性“赋形剂”来控制POE的水解速度,进而可以控制药物的释放速度。加入酸性“赋形剂”能加速POE的水解,加入量越多加快程度越大。常用的酸性赋形剂为衣康酸、己二酸、辛二酸等小分子有机酸。加入碱性“赋形剂”则可减缓POE水解,常用的为NaOH。
在图3所示聚合过程中,若混入三元醇,则会形成支链或交联的网状结构,这种交联POE的降解也是发生在酯键处,但由于交联作用,不能马上分解为可溶于水的小分子,融蚀作用不明显,而且由于降解引起了基材结构的缺陷,药物分子可通过这些缺陷溶于水中,这种药物控释机理由原来的以降解控制为主变为以扩散控制为主。
4 由烷基原酸酯与三元醇聚合成的POE
所用原酸酯主要有三甲基原乙酸酯,三乙基原乙酸酯。三元醇单体有直链的1,2,6-己三醇和环状的1,1,4-环己三甲醇等。例如三乙基原酸酯与三元醇聚合反应为:
, http://www.100md.com
图4 三乙基原酸酯与三元醇的聚合反应
反应在无水条件下,以环己烷为溶剂进行溶液聚合,采用柔性的1,2,6-己三醇为单体聚合,可以制得半固态膏状物质。这种POE的优点是固体药物能与和聚合物直接通过机械方法混合均匀,不用加热,也无需溶剂协助,操作简便,还可以用较粗的针式注射器注入体内[12]。Roskos等用这种POE与甲硝唑混合,注入狗的牙包囊内,考察了粘附性与药物控制释放情况[13]。Bematchez等将其注入兔眼观察病理反应[14]。Heller等用其与生物大分子如溶菌酶混合,研究体外释放情况与蛋白质在控释过程中的活性[15]。
在酸性条件下同样能加速这种POE的降解过程,因此常在药物控释体系中混入Mg(OH)2来延长释放时间。
Heller等还用如1,1,4-环己三甲醇等与原酸酯进行聚合反应,产物为固体。反应过程与图4所示相同。当所用原酸酯为三甲基原酸酯时,能够得到结晶性的聚原酸酯,这样的POE不利于药物与基材混合均匀,而采用三乙基原酸酯为单体进行聚合时,则可制得非结晶性的聚合物。
, http://www.100md.com
5 其 它
除了以上所述三类POE外,为获得应用更广泛,性能更优越的药物控释体系,广大研究人员通过共聚,共混等方法对原有的POE进行改进,以便适用于不同的要求。
Edward等合成了如下结构的POE:
其中R可以是脂肪族的,脂环族的或芳香族的有机酸。在这种POE的重复单元中,烃基上至少含有一个羰氧基团和一个对称的有极性侧基的双氧碳,可通过改变上述单体的结构来改变极性,从而制得的聚合物亲水性不同,用这种方法来控制药物的释放。当极性充分大时,甚至能制得水溶性的POE[16]。Heller等将双烯酮与亲水性单体共聚,增强了POE的亲水性[17]。作者与S.Y.Ng等人也正在从事聚乙二醇-聚原酸酯的嵌段共聚物的研制与应用。S.Y.Ng开发了乳酸/双烯酮与二元醇的共聚物,这种聚合物的降解产物更易被生物体代谢。为了提高POE的亲水性,加快POE的降解速度和提高生物相容性,作者采用溶剂法将POE与亲水性的PEG共混,研究了该体系的相行为和体外药物释放情况。
, 百拇医药
6 展 望
目前,人工合成生物可降解高分子材料已应用于癌症治疗,疫苗控释,制造纳米材料,增加血浆半衰期,矫形固定装置和器官修补等尖端技术,但是生物医学的迅速发展对生物材料不断提出更高更新的要求,从而导致这方面的研究工作也得到了相应的发展。对于POE这种较为新型的生物可降解高分子材料来说,为了适应上述要求,越来越多的具有各种不同性能的POE将被合成出来。由于POE降解过程的可预测性,今后的研究方向是如何按照环境要求和机械性能和降解速度来进行高聚物的分子设计,从而推出更多品种的POE应用于医学领域。除此之外,改善POE的生物相容性和减少其降解产物的毒副作用,也是未来的研究重点之一。
作者简介:魏民 男,25岁,硕士研究生,从事聚原酸酯基生物材料的研究.*联系人
7 参考文献
[1]Heller J.Chemically self-regulated drug delivery system.J Control Rel,1998,8:111
, http://www.100md.com
[2]Langer R,Vacanti J P.Tissue engineering.Science,1993,260:920
[3]Nguyen T H,Himmelstein K J,Higuchi T.Some equilibrium and kinetic aspects of water sorption in poly(ortho esters).Int J Pharm,1985,25:1
[4]Gopferich A.Mechanism of polymer degradation and erosion.Biomaterials,1996,17:103
[5]Heller J Poly(ortho esters),Adv.Polym Sci,1993,107:41
[6]Choi N S and Heller J,U.S.Patent 4,138,344(February 6,1979)
, http://www.100md.com
[7]Choi N S and Heller J.U.S.Patent 4,180,646(December 25,1979)
[8]Shih C,Higuchi T,Himmelstein K J.Drug delivery from catalyzed erodible polymeric matrices of poly(ortho esters).Biomaterials,1984,5:237
[9]Heller J,Penhale D W H,Helwing R F.Preparation of poly(ortho esters)by the reaction of diketene acetals and polyols.J Polym Sci:Polym.Lett.,1980,18:6 19
[10]Heller J,Ng SY,Penhale D W H,et al.The use of poly(ortho esters)for the controlled release of 5-fluorouracil and a LHRH analogue.J Control Rel,1987,6:21 7
, 百拇医药
[11]Heller J,Maa Y F,Uthrich P W,et al.Recent devlopments in the synthsis and utilization of poly(ortho esters).J Control Rel,1991,16:3
[12]Heller J,Ng S Y,Fritzinger BK.Synthesis and characterization of a new family of poly(ortho esters).Macromolecules,1992,24:3362
[13]Roskos K V,Fritzinger B K,Rao S S,et al.Development of a drug delivery system for the treatment of periodontal disease based on bioerodible poly(ortho esters).1995,16:313
, 百拇医药
[14]Stephanie F B,Alain M,Minh T L,et al.Biocompatibity of a new semisoid bioe rodible poly(ortho esters)intended for the ocular delivery of 5-fulorouracil.J Biomed Mater Res,1994,28:1037
[15]Wuthrich P,Ng S Y,Roskos KV,et al.Pulsatile and delayed release lysozyme from oinment-like poly(ortho esters).J Control Rel,1992,21:191
[16]Mark C,Court W,Joseph T,et al.WO 95/09613(April 13,1995)
[17]Heller J,Penhale D W,Fritizinger B K, et al.The effect of copolymerized 9,10-dihydroxystearic acid on erosion rates of poly(ortho esters)and use in the delivery of levonorgestrel.J Control Rel,1987,5:173
(1998-06-16收稿), http://www.100md.com