关于《温度对药品质量不良影响的计算》一文的商榷
作者:梁帝泉 尹玲 宁勇 高鸿慈
单位:梁帝泉(湖北药检高等专科学校 武汉430064);尹玲(湖北药检高等专科学校 武汉430064);宁勇(湖北药检高等专科学校 武汉430064);高鸿慈(湖北药检高等专科学校 武汉430064)
关键词:
数理医药学杂志000445 中图分类号: R 912 文献标识码: B
文章编号:1004-4337(2000)04-0354-02
《数理医药学杂志》1999年12卷第2期发表邢孔庚先生的《温度对药品质量不良影响的计算》一文,笔者认为有两点似欠妥当,现提出来和作者、读者共同讨论。
1 葡萄糖注射液热压灭菌时,计算压力单位英制(磅/2)换算为公制。
, 百拇医药
我国国务院于1984年公布了以国际单位制(S1)为基础的《中华人民共和国法定计量单位》,要求在我国强制执行。压力的法定计量单位是帕〔斯卡〕(pascal)符号为“pa”,1帕是作用于1平米面积上的1牛顿力(N/m2)。现在市场上及各医疗单位的热压灭菌器上的压力表均用千帕(kpa)或兆帕(Mpa)表示压力的单位。一个标准大气压原等于101。325kpa,现改为100kpa,葡萄糖注射液热压灭菌温度115℃相当于67.8kpa(0.7kg/cm2)。
2 文中用Vant Hoff的经验规则,计算温度的变化对药品有效期的影响,给出的公式正确,但计算有误。
温度对药物分解反应速率的影响很大,研究温度对反应速率的影响,就是研究对分解速率常数的影响。绝大多数反应速率随温度升高,速率常数增大,这种关系可用VantHoff规则和Arrhenius指数规则表述,前者为一经验规则,即温度每升高10℃,反应速率约增大2~4倍,对于不同的反应,此倍数则不同。如以Kt表示t℃的速率常数,Kt+10表示t+10℃的速率常数,则该规则可用下式表达:
(1)
, 百拇医药
或
(2)
(1)式中γ称反应速率的温度系数(temperature Coefficient)。对一定的反应,如果温度不太高,温度范围不太大,可把γ看作常数,则t+n*10℃与t℃的速率常数之比为:
(3)
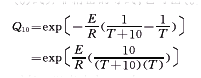
药物制剂有效期预测的Q10法,就是应用Vant Hoff规则,选择某一较高温度t作为加速温度,将药物在该温度下进行加速破坏实验,再推算得到室温贮存的有效期。在这个方法中,将温度系数γ称为Q10,简称Q10法,于是(1)式为:
(4)
, 百拇医药
由(4)式可知,Q10值可以通过两个温度的加速试验求出两个温度下的分解速度常数,进而求得。Q10也可用指数式计算:
(5)
(5)式中,t为摄氏度;T为热力学温度,单位为K;R为摩尔气体常数,其值为8.314J*mol-1*k-1;E为活化能,单位为J*mol-1。
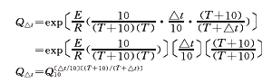
当活化能已知时,可用(5)式计算出Q10值;当活化能未知时,用2、3或4三个数分别代表低、中、高的Q10的估计值。对于温度的任意改变,△t=t2-t1,可用下式表达:
(6)
, 百拇医药
(6)式并非精密的等式,它可由(5)式展开得到:
(7)
对任一温度改变△t,有:
(8)
用
乘以指数项,得:
整理得:
(9)
(9)式是精确的等式。
表1是对于温度由10℃变化到100℃时Q10=Z(E=50.6KJ/mol)的(6)式与(9)式的比较。
, 百拇医药
表1 温度范围△t由10℃~100℃的精密式(9)和
近似式(6)的Q△t值比较 △t
近似
精密
10
2
2
20
4
3.8
30
8
, http://www.100md.com 7.0
40
16
12.5
60
64
35.5
80
256
90.4
100
1024
209.4
, 百拇医药 在不同温度下,不论反应级数怎样,药物分解同一百分数所需要的时间τ与其速率常数K成反比,即:
(10)
设药物分解同为10%,则τ1及τ2就分别是该药物在温度t1及t2时的有效期t0.9。若已知Q10,则由加速温度下的有效期,即可求算药物在室温下的有效期,不必知道反应级数。
例1 测知某药物在60℃下的一级分解反应速率常数K60℃=0.118×10-6S-1,在70℃下的一级分解反应速率常数K70℃=0.32×10-6S-1,试求该药在25℃下分解10%的时间。
, 百拇医药
解: 由(4)式,
由(10)式,
所以,
例2 某生物制品在2~10℃贮藏,其有效期为24个月,若将其置于室温(25℃)10天,再放回冰箱(2~10℃)贮藏,试求其有效期的变化(已知Q=4,t1=5℃,t=25℃,此例为《数理医药学杂志》1999年第2期第183页例2)。
解: 已知Q=4,则Q0.1(t2-t1)10=42=16
, 百拇医药
即冰箱贮存16天相当于室温下贮藏1天,现室温下贮藏10天,相当于冰箱贮藏160天。
160天/30天=5.3(月)
即原来该生物制品有效期为24个月,现在只有24-5.3=18.7(月)。
前面提到用2、3和4分别代表Q10的估计值。如用Q10由高温数据估计低温有效期,Q10值任取2、3或4,其估计结果相差很大,而Q10=2提供了保险数字。反之,如果由低温估计高温有效期,Q10=4提供了保险数字。如本文例2,Q10=2,则24-〔(22×10)/30〕=22.7(月);Q10=4,则为18.7个月。后者为保险数字。
收稿日期:1999-11-08, 百拇医药
单位:梁帝泉(湖北药检高等专科学校 武汉430064);尹玲(湖北药检高等专科学校 武汉430064);宁勇(湖北药检高等专科学校 武汉430064);高鸿慈(湖北药检高等专科学校 武汉430064)
关键词:
数理医药学杂志000445 中图分类号: R 912 文献标识码: B
文章编号:1004-4337(2000)04-0354-02
《数理医药学杂志》1999年12卷第2期发表邢孔庚先生的《温度对药品质量不良影响的计算》一文,笔者认为有两点似欠妥当,现提出来和作者、读者共同讨论。
1 葡萄糖注射液热压灭菌时,计算压力单位英制(磅/2)换算为公制。
, 百拇医药
我国国务院于1984年公布了以国际单位制(S1)为基础的《中华人民共和国法定计量单位》,要求在我国强制执行。压力的法定计量单位是帕〔斯卡〕(pascal)符号为“pa”,1帕是作用于1平米面积上的1牛顿力(N/m2)。现在市场上及各医疗单位的热压灭菌器上的压力表均用千帕(kpa)或兆帕(Mpa)表示压力的单位。一个标准大气压原等于101。325kpa,现改为100kpa,葡萄糖注射液热压灭菌温度115℃相当于67.8kpa(0.7kg/cm2)。
2 文中用Vant Hoff的经验规则,计算温度的变化对药品有效期的影响,给出的公式正确,但计算有误。
温度对药物分解反应速率的影响很大,研究温度对反应速率的影响,就是研究对分解速率常数的影响。绝大多数反应速率随温度升高,速率常数增大,这种关系可用VantHoff规则和Arrhenius指数规则表述,前者为一经验规则,即温度每升高10℃,反应速率约增大2~4倍,对于不同的反应,此倍数则不同。如以Kt表示t℃的速率常数,Kt+10表示t+10℃的速率常数,则该规则可用下式表达:
, 百拇医药
或
(1)式中γ称反应速率的温度系数(temperature Coefficient)。对一定的反应,如果温度不太高,温度范围不太大,可把γ看作常数,则t+n*10℃与t℃的速率常数之比为:
药物制剂有效期预测的Q10法,就是应用Vant Hoff规则,选择某一较高温度t作为加速温度,将药物在该温度下进行加速破坏实验,再推算得到室温贮存的有效期。在这个方法中,将温度系数γ称为Q10,简称Q10法,于是(1)式为:
, 百拇医药
由(4)式可知,Q10值可以通过两个温度的加速试验求出两个温度下的分解速度常数,进而求得。Q10也可用指数式计算:
(5)式中,t为摄氏度;T为热力学温度,单位为K;R为摩尔气体常数,其值为8.314J*mol-1*k-1;E为活化能,单位为J*mol-1。
当活化能已知时,可用(5)式计算出Q10值;当活化能未知时,用2、3或4三个数分别代表低、中、高的Q10的估计值。对于温度的任意改变,△t=t2-t1,可用下式表达:
, 百拇医药
(6)式并非精密的等式,它可由(5)式展开得到:
对任一温度改变△t,有:
用
整理得:
(9)式是精确的等式。
表1是对于温度由10℃变化到100℃时Q10=Z(E=50.6KJ/mol)的(6)式与(9)式的比较。
, 百拇医药
表1 温度范围△t由10℃~100℃的精密式(9)和
近似式(6)的Q△t值比较 △t
近似
精密
10
2
2
20
4
3.8
30
8
, http://www.100md.com 7.0
40
16
12.5
60
64
35.5
80
256
90.4
100
1024
209.4
, 百拇医药 在不同温度下,不论反应级数怎样,药物分解同一百分数所需要的时间τ与其速率常数K成反比,即:
设药物分解同为10%,则τ1及τ2就分别是该药物在温度t1及t2时的有效期t0.9。若已知Q10,则由加速温度下的有效期,即可求算药物在室温下的有效期,不必知道反应级数。
例1 测知某药物在60℃下的一级分解反应速率常数K60℃=0.118×10-6S-1,在70℃下的一级分解反应速率常数K70℃=0.32×10-6S-1,试求该药在25℃下分解10%的时间。
, 百拇医药
解: 由(4)式,
由(10)式,
所以,
例2 某生物制品在2~10℃贮藏,其有效期为24个月,若将其置于室温(25℃)10天,再放回冰箱(2~10℃)贮藏,试求其有效期的变化(已知Q=4,t1=5℃,t=25℃,此例为《数理医药学杂志》1999年第2期第183页例2)。
解: 已知Q=4,则Q0.1(t2-t1)10=42=16
, 百拇医药
即冰箱贮存16天相当于室温下贮藏1天,现室温下贮藏10天,相当于冰箱贮藏160天。
160天/30天=5.3(月)
即原来该生物制品有效期为24个月,现在只有24-5.3=18.7(月)。
前面提到用2、3和4分别代表Q10的估计值。如用Q10由高温数据估计低温有效期,Q10值任取2、3或4,其估计结果相差很大,而Q10=2提供了保险数字。反之,如果由低温估计高温有效期,Q10=4提供了保险数字。如本文例2,Q10=2,则24-〔(22×10)/30〕=22.7(月);Q10=4,则为18.7个月。后者为保险数字。
收稿日期:1999-11-08, 百拇医药