骨骼肌收缩曲线的灰色建模研究
作者:吕安林 周 杰 张 晶 谭学瑞 邓聚龙
单位:吕安林 (第四军医大学西京医院心血管内科(西安710032));周 杰 (山东东营市胜利油田中心医院内科);张 晶 谭学瑞 (北京402医院);邓聚龙 (华中理工大学自动化控制工程系)
关键词:骨骼肌收缩曲线;非单调变化;分段;联合灰模型
中国运动医学杂志980417 提要 在骨骼肌非单调变化曲线的单调增与单调减变化的转折点处分段,分别建立灰模型。残差检验表明该模型的精度优于全数据序列建立的灰模型,并得出结论:单调变化曲线的灰模型能很好地反映骨骼肌收缩曲线上升期和缓慢下降期的发展变化过程,序列的分段、联合是提高非单调变化曲线的灰模型精度的一种有效方法。
A Study on Grey Model of Contraction Curve of Musculi Skeleti
, http://www.100md.com
Cardiovascular dept. Xijing Hospital,No.4 Medical University of PLA,Xi'an 710032
Non-monotone curve of the musculi skeleti is divided into two parts at the turning point between monotone increasing and monotone decreasing.The precision of the grey model built on every part,tested by error,is superior to that built on the all numbers.The conclusion is that the progressing process of increasing period or decreasing period that belongs to the contraction curve of the musculi skeleti can be exactly reflected by grey model of monotone curve,and dividing and combination of the series is an effective method that improves the procision of grey model built on non-monotone curve.
, 百拇医药
Key words:Contraction Curve of Musculi Skeleti,Non-monotone Change,Dividing and Combination Grey Model.
骨骼肌受到单一的阈上兴奋性刺激后产生的收缩力的发生、发展和恢复变化过程,在二维坐标上绘制的曲线即为骨骼肌的收缩曲线(Contraction Curve of Musculi Skeleti,简称CCMS)[1]。CCMS对于研究骨骼肌的力学特性具有重要的生理意义,到目前为止还未见到有关CCMS的数学模型的报道[2],为了加快CCMS的模型化发展,本文研究了CCMS的灰色建模问题。
1 CCMS灰建模分析
前、后负荷和缺氧、酸中毒、钙离子以及某些药物如咖啡因、肾上腺素等都能影响骨骼肌的收缩能力[2],使CCMS发生位移,因此CCMS的灰建模主要是对这些影响因素综合作用的结果——骨骼肌收缩力(Musculi Skeleti Power简称MSP)的建模。由于MSP的变化过程是连续的,但建模信息(实验资料)是离散的,因此MSP从无穷信息空间到有穷信息空间的转移,导致了建模信息灰性的出现,也就可以认为MSP是在一定生理或病理范围内变化的灰色量。当骨骼肌受到单一的阈上刺激时,MSP逐渐增强,达到峰值后又逐渐减弱,最后恢复到兴奋收缩前水平。MSP的这种变化是不均衡的,呈非线性的不确定性灰关系,容易受到上述影响因素的影响,因此这种不确定性的MSP变化过程是在一定生理范围内变化的随机灰过程,当MSP的变化超出了生理范围时,随机灰过程就变成病理性的,从而发生疾病,如肌萎缩。灰色系统(Grey system简称GS)理论认为这种灰色量的动态变化灰过程可以建立兼备微分和差分性质的灰模型[3]。
, http://www.100md.com
2 建模资料[1]
实验方法:实验骨骼肌选择人的拇指内收肌;用等长的方法测量MSP;用细胞内微电极记录肌细胞膜电位,见图1。
实验结果见图2,测量数据见表1。
图1.骨骼肌等长收缩实验示意图
Fig.1Contraction curve musculi skeleti
图2.骨骼肌收缩力变化曲线
Fig.2 Experimental diagrammatic sketch of musculi skeleti equidistance contraction
, 百拇医药
3 CCMS灰模型的建立
由图2知:CCMS可以分为上升期(80毫秒以前)和缓慢下降期(80~260毫秒),所以可以对上升期和缓慢下降期分别建立GM(1,1)模型[3]。
表1 骨骼肌兴奋收缩张力变化
Table 1 Experimental results of musculi contraction power 时间/毫秒
Time/ms
20
40
60
80
, http://www.100md.com
100
120
140
160
180
200
220
240
260
MSP/牛顿
MSP/newton
1.4
4.3
, http://www.100md.com
6.2
7.6
6.9
5.6
3.6
2.6
1.9
1.4
0.7
0.5
0
3.1 上升期灰模型的建立
a、构造建模因子序列X1(0)
, http://www.100md.com
X1(0)=(X1(0)(k)|k=1,2,3,4)
=(1.4,4.3,6.2,7.6)
b、求X1(0)的累加生成(AGO)序列X1(1)
X1(1)=(X1(1)(k)|k=1,2,3,4)
=(1.4,5.7,11.9,19.5)
c、求X1(1)的均值生成(A’GO)序列Z1(1)
, 百拇医药
Z1(1)(k)=0.5X1(1)(k)+0.5X1(1)(k-1)
Z1(1)(k)=(Z1(1)(k)|k=2,3,4)
=(3.55,8.8,15.7)
d、求X1(0)的GM(1,1)模型参数

, http://www.100md.com
e、建立上升期GM(1,1)模型
X1(0)(k)-0.2681Z1(1)(k)=3.5266
求导数:
(1)(k)=14.55e0.2681(k-1)-13.15
(0)(k)=
(1)(k)-
(1)(k-1)
, 百拇医药
模型计算值和误差见表2。
残差检验:模型误差平均2.6%。
表2 上升期灰模型计算值和残差(ε1)
Table 2 Calculating values and its errors of CCMS grey model during elevation stage k
(0)
X1(0)
ε1
1
, http://www.100md.com
1.40
1.40
0.00
2
4.47
4.30
0.17
3
5.85
6.20
0.35
4
7.65
, http://www.100md.com
7.60
0.05
3.2 缓慢下降期灰模型的建立
由表1知:
X2(0)=(X2(0)(k')|k'=1,2,...,9)
=(6.9,5.6,3.6,2.6,1.9,1.4,0.7,0.5,0)
根据3.1的建模步骤得X2(0)的GM(1,1)模型:
(X2(0)(k')+0.385Z2(1)(k')=9.297
, 百拇医药
导数为:
2(1)(k')=24.15-17.25e-0.385(k'-1)
X2(0)(k')=
2(1)(k')-
2(1)(k'-1)
模型计算值和误差见表3。
k'=9时除外,残差检验:模型平均误差6.8%。表3 下降期灰模型的计算值和残差(ε2)
, 百拇医药
Table3 Calculating values and its errors of CCMS grey model during descenting stage k'
2(0)
X2(0)
ε2
1
6.90
6.9
0
2
5.51
, 百拇医药
5.6
0.09
3
3.75
3.6
0.15
4
2.55
2.6
0.05
5
1.74
1.9
, 百拇医药
0.16
6
1.18
1.4
0.22
7
0.80
0.7
0.10
8
0.54
0.5
0.04
, http://www.100md.com
9
0.37
0
0.37
3.3 闸门激活式联合灰模型(SAGM)
SAGM由CCMS的上升期灰模型和缓慢下降期灰模型合并而成:
(0)(k)=σ(5-k)[(14.55e0.2681(k-1)-13.15)-σ(k-1)(14.55e0.2681(k-2)-13.15]
+σ(k-4)[24.15-17.25e-0.385(k-5)-σ(k-5)(24.15-17.25e-0.385(k-6))]
, 百拇医药
k=1,2,3,...,13
σ(5-k)、σ(k-1)、σ(k-4)、σ(k-5)
=1((5-k)、(k-1)、(k-4)、(k-5)≥1)
0((5-k)、(k-1)、(k-4)、(k-5)<1)
σ(5-k)、σ(k-1)、σ(k-4)和σ(k-5)分别相当于SAGM的四个闸门,阈值为1;当(5-k)、(k-1)、(k-4)和(k-5)大于或等于1时,闸门被激活该项算式进入功能运算状态;否则处于失活状态,不参加SAGM运算。这种模型运算机理与细胞膜的生物电产生机制类似[1],是生理学与GS有机结合的产物。
3.4 全数据灰建模
由表1知:
, 百拇医药
X3(0)=(X3(0)(k)|k=1,2,...,13)
(1.4,4.3,6.2,7.6,6.9,5.6,3.6,2.6,1.9,1.4,0.7,0.5,0)
根据3.1的建模步骤得X3(0)的GM(1,1)模型:
X3(0)(k)+0.1512Z3(0)(k)=7.9505
导数为:AX^G3(1)(k)=52.58-51.18e-0.1512(k-1)
, http://www.100md.com
3(0)(k)=
3(1)(k)-
3(1)(k-1)
模型计算值和误差见表4。
表4 全数据灰模型计算值和残差(ε3)
Table 4 Culculating values and its errors of CCMS grey model by all numbers k
3(0)
, 百拇医药
X3(0)
ε3
1
1.40
1.4
0
2
7.18
4.3
2.88
3
6.18
6.2
, 百拇医药
0.02
4
5.30
7.6
2.30
5
4.57
6.9
2.33
6
3.92
5.6
1.68
, 百拇医药
7
3.37
3.6
0.23
8
2.90
2.6
0.30
9
2.49
1.9
0.59
10
, 百拇医药
2.14
1.4
0.74
11
1.85
0.7
1.15
12
1.58
0.5
1.08
13
1.36
, 百拇医药
0
1.36
残差检验:模型平均误差53.61%(k=13除外)。
4 数据灰建模与多数据灰建模的比较
残基检验CCMS的SAGM的精度为94%,最大误差15.7%(k=10);全数据灰模型的精度只有43.39%,最大误差216%(k=12),因此SAGM能比较准确地反映CCMS的动态变化过程。
5 讨论
单调变化(级比均小于或大于1)的灰色量的随机灰过程,单纯建立GM(1,1)模型能很好地反映建模因子的单调变化过程,而非单调变化的灰色量的灰模型却不然。非单调变化的灰色量在发展变化的转折点处分段后建立亚序列GM(1,1)灰模型,通过闸门激活机制合并分段序列的灰模型得到的SAGM,提高了模型的精度,扩大了GM(1,1)模型的应用范围[3]。分段建模之所以能提高模型的精度,主要是因为:(1)分段后的序列数据相对减少;(2)分段后的序列为单调增或单调减变化,因此,“分段—联合”原则是提高非单调变化序列灰模型精度的一种有效方法。
, 百拇医药
CCMS灰建模的目的是用灰数学、灰模型的方法近似地描述骨骼肌受到单一的阈上兴奋性刺激后,MSP的动态变化过程。通过对CCMS模型的分析研究,可以深化人们对骨骼肌收缩特性的认识。骨骼肌收缩能力的改变反映在灰模型上就是模型指数的变化,因此可以通过模型指数的变化反过来判断骨骼肌收缩能力的大小。例如:当骨骼肌的收缩能力增强时,模型值变大、CCMS左移,模型指数a增大;反之,CCMS右移,模型值变小,模型指数(或称发展系数)降低,当超出了生理变化范围时即为病理性的,即表现为疾病状态。
参考文献
1.R F 施密特,J杜德尔,W耶尼格等.神经生理学.北京:科学出版社,1983.
2.周衍椒,张镜如.生理学.北京:人民卫生出版社,1991.
3.邓聚龙.灰色系统理论教程.武汉:华中理工大学出版社,1992.
(1997.06.04收稿), 百拇医药
单位:吕安林 (第四军医大学西京医院心血管内科(西安710032));周 杰 (山东东营市胜利油田中心医院内科);张 晶 谭学瑞 (北京402医院);邓聚龙 (华中理工大学自动化控制工程系)
关键词:骨骼肌收缩曲线;非单调变化;分段;联合灰模型
中国运动医学杂志980417 提要 在骨骼肌非单调变化曲线的单调增与单调减变化的转折点处分段,分别建立灰模型。残差检验表明该模型的精度优于全数据序列建立的灰模型,并得出结论:单调变化曲线的灰模型能很好地反映骨骼肌收缩曲线上升期和缓慢下降期的发展变化过程,序列的分段、联合是提高非单调变化曲线的灰模型精度的一种有效方法。
A Study on Grey Model of Contraction Curve of Musculi Skeleti
, http://www.100md.com
Cardiovascular dept. Xijing Hospital,No.4 Medical University of PLA,Xi'an 710032
Non-monotone curve of the musculi skeleti is divided into two parts at the turning point between monotone increasing and monotone decreasing.The precision of the grey model built on every part,tested by error,is superior to that built on the all numbers.The conclusion is that the progressing process of increasing period or decreasing period that belongs to the contraction curve of the musculi skeleti can be exactly reflected by grey model of monotone curve,and dividing and combination of the series is an effective method that improves the procision of grey model built on non-monotone curve.
, 百拇医药
Key words:Contraction Curve of Musculi Skeleti,Non-monotone Change,Dividing and Combination Grey Model.
骨骼肌受到单一的阈上兴奋性刺激后产生的收缩力的发生、发展和恢复变化过程,在二维坐标上绘制的曲线即为骨骼肌的收缩曲线(Contraction Curve of Musculi Skeleti,简称CCMS)[1]。CCMS对于研究骨骼肌的力学特性具有重要的生理意义,到目前为止还未见到有关CCMS的数学模型的报道[2],为了加快CCMS的模型化发展,本文研究了CCMS的灰色建模问题。
1 CCMS灰建模分析
前、后负荷和缺氧、酸中毒、钙离子以及某些药物如咖啡因、肾上腺素等都能影响骨骼肌的收缩能力[2],使CCMS发生位移,因此CCMS的灰建模主要是对这些影响因素综合作用的结果——骨骼肌收缩力(Musculi Skeleti Power简称MSP)的建模。由于MSP的变化过程是连续的,但建模信息(实验资料)是离散的,因此MSP从无穷信息空间到有穷信息空间的转移,导致了建模信息灰性的出现,也就可以认为MSP是在一定生理或病理范围内变化的灰色量。当骨骼肌受到单一的阈上刺激时,MSP逐渐增强,达到峰值后又逐渐减弱,最后恢复到兴奋收缩前水平。MSP的这种变化是不均衡的,呈非线性的不确定性灰关系,容易受到上述影响因素的影响,因此这种不确定性的MSP变化过程是在一定生理范围内变化的随机灰过程,当MSP的变化超出了生理范围时,随机灰过程就变成病理性的,从而发生疾病,如肌萎缩。灰色系统(Grey system简称GS)理论认为这种灰色量的动态变化灰过程可以建立兼备微分和差分性质的灰模型[3]。
, http://www.100md.com
2 建模资料[1]
实验方法:实验骨骼肌选择人的拇指内收肌;用等长的方法测量MSP;用细胞内微电极记录肌细胞膜电位,见图1。
实验结果见图2,测量数据见表1。
图1.骨骼肌等长收缩实验示意图
Fig.1Contraction curve musculi skeleti
图2.骨骼肌收缩力变化曲线
Fig.2 Experimental diagrammatic sketch of musculi skeleti equidistance contraction
, 百拇医药
3 CCMS灰模型的建立
由图2知:CCMS可以分为上升期(80毫秒以前)和缓慢下降期(80~260毫秒),所以可以对上升期和缓慢下降期分别建立GM(1,1)模型[3]。
表1 骨骼肌兴奋收缩张力变化
Table 1 Experimental results of musculi contraction power 时间/毫秒
Time/ms
20
40
60
80
, http://www.100md.com
100
120
140
160
180
200
220
240
260
MSP/牛顿
MSP/newton
1.4
4.3
, http://www.100md.com
6.2
7.6
6.9
5.6
3.6
2.6
1.9
1.4
0.7
0.5
0
3.1 上升期灰模型的建立
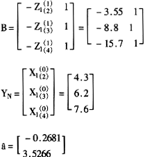
a、构造建模因子序列X1(0)
, http://www.100md.com
X1(0)=(X1(0)(k)|k=1,2,3,4)
=(1.4,4.3,6.2,7.6)
b、求X1(0)的累加生成(AGO)序列X1(1)
X1(1)=(X1(1)(k)|k=1,2,3,4)
=(1.4,5.7,11.9,19.5)
c、求X1(1)的均值生成(A’GO)序列Z1(1)
, 百拇医药
Z1(1)(k)=0.5X1(1)(k)+0.5X1(1)(k-1)
Z1(1)(k)=(Z1(1)(k)|k=2,3,4)
=(3.55,8.8,15.7)
d、求X1(0)的GM(1,1)模型参数
, http://www.100md.com
e、建立上升期GM(1,1)模型
X1(0)(k)-0.2681Z1(1)(k)=3.5266
求导数:
, 百拇医药
模型计算值和误差见表2。
残差检验:模型误差平均2.6%。
表2 上升期灰模型计算值和残差(ε1)
Table 2 Calculating values and its errors of CCMS grey model during elevation stage k
X1(0)
ε1
1
, http://www.100md.com
1.40
1.40
0.00
2
4.47
4.30
0.17
3
5.85
6.20
0.35
4
7.65
, http://www.100md.com
7.60
0.05
3.2 缓慢下降期灰模型的建立
由表1知:
X2(0)=(X2(0)(k')|k'=1,2,...,9)
=(6.9,5.6,3.6,2.6,1.9,1.4,0.7,0.5,0)
根据3.1的建模步骤得X2(0)的GM(1,1)模型:
(X2(0)(k')+0.385Z2(1)(k')=9.297
, 百拇医药
导数为:
X2(0)(k')=
模型计算值和误差见表3。
k'=9时除外,残差检验:模型平均误差6.8%。表3 下降期灰模型的计算值和残差(ε2)
, 百拇医药
Table3 Calculating values and its errors of CCMS grey model during descenting stage k'
X2(0)
ε2
1
6.90
6.9
0
2
5.51
, 百拇医药
5.6
0.09
3
3.75
3.6
0.15
4
2.55
2.6
0.05
5
1.74
1.9
, 百拇医药
0.16
6
1.18
1.4
0.22
7
0.80
0.7
0.10
8
0.54
0.5
0.04
, http://www.100md.com
9
0.37
0
0.37
3.3 闸门激活式联合灰模型(SAGM)
SAGM由CCMS的上升期灰模型和缓慢下降期灰模型合并而成:
+σ(k-4)[24.15-17.25e-0.385(k-5)-σ(k-5)(24.15-17.25e-0.385(k-6))]
, 百拇医药
k=1,2,3,...,13
σ(5-k)、σ(k-1)、σ(k-4)、σ(k-5)
=1((5-k)、(k-1)、(k-4)、(k-5)≥1)
0((5-k)、(k-1)、(k-4)、(k-5)<1)
σ(5-k)、σ(k-1)、σ(k-4)和σ(k-5)分别相当于SAGM的四个闸门,阈值为1;当(5-k)、(k-1)、(k-4)和(k-5)大于或等于1时,闸门被激活该项算式进入功能运算状态;否则处于失活状态,不参加SAGM运算。这种模型运算机理与细胞膜的生物电产生机制类似[1],是生理学与GS有机结合的产物。
3.4 全数据灰建模
由表1知:
, 百拇医药
X3(0)=(X3(0)(k)|k=1,2,...,13)
(1.4,4.3,6.2,7.6,6.9,5.6,3.6,2.6,1.9,1.4,0.7,0.5,0)
根据3.1的建模步骤得X3(0)的GM(1,1)模型:
X3(0)(k)+0.1512Z3(0)(k)=7.9505
导数为:AX^G3(1)(k)=52.58-51.18e-0.1512(k-1)
, http://www.100md.com
模型计算值和误差见表4。
表4 全数据灰模型计算值和残差(ε3)
Table 4 Culculating values and its errors of CCMS grey model by all numbers k
, 百拇医药
X3(0)
ε3
1
1.40
1.4
0
2
7.18
4.3
2.88
3
6.18
6.2
, 百拇医药
0.02
4
5.30
7.6
2.30
5
4.57
6.9
2.33
6
3.92
5.6
1.68
, 百拇医药
7
3.37
3.6
0.23
8
2.90
2.6
0.30
9
2.49
1.9
0.59
10
, 百拇医药
2.14
1.4
0.74
11
1.85
0.7
1.15
12
1.58
0.5
1.08
13
1.36
, 百拇医药
0
1.36
残差检验:模型平均误差53.61%(k=13除外)。
4 数据灰建模与多数据灰建模的比较
残基检验CCMS的SAGM的精度为94%,最大误差15.7%(k=10);全数据灰模型的精度只有43.39%,最大误差216%(k=12),因此SAGM能比较准确地反映CCMS的动态变化过程。
5 讨论
单调变化(级比均小于或大于1)的灰色量的随机灰过程,单纯建立GM(1,1)模型能很好地反映建模因子的单调变化过程,而非单调变化的灰色量的灰模型却不然。非单调变化的灰色量在发展变化的转折点处分段后建立亚序列GM(1,1)灰模型,通过闸门激活机制合并分段序列的灰模型得到的SAGM,提高了模型的精度,扩大了GM(1,1)模型的应用范围[3]。分段建模之所以能提高模型的精度,主要是因为:(1)分段后的序列数据相对减少;(2)分段后的序列为单调增或单调减变化,因此,“分段—联合”原则是提高非单调变化序列灰模型精度的一种有效方法。
, 百拇医药
CCMS灰建模的目的是用灰数学、灰模型的方法近似地描述骨骼肌受到单一的阈上兴奋性刺激后,MSP的动态变化过程。通过对CCMS模型的分析研究,可以深化人们对骨骼肌收缩特性的认识。骨骼肌收缩能力的改变反映在灰模型上就是模型指数的变化,因此可以通过模型指数的变化反过来判断骨骼肌收缩能力的大小。例如:当骨骼肌的收缩能力增强时,模型值变大、CCMS左移,模型指数a增大;反之,CCMS右移,模型值变小,模型指数(或称发展系数)降低,当超出了生理变化范围时即为病理性的,即表现为疾病状态。
参考文献
1.R F 施密特,J杜德尔,W耶尼格等.神经生理学.北京:科学出版社,1983.
2.周衍椒,张镜如.生理学.北京:人民卫生出版社,1991.
3.邓聚龙.灰色系统理论教程.武汉:华中理工大学出版社,1992.
(1997.06.04收稿), 百拇医药