2,6-二取代-1,4-苯醌类化合物的合成及其体外放射增敏作用1
作者:仉文升 冯静峰 吴艳芬
单位:北京医科大学药学院,北京100083
关键词:2,6-二取代-1,4-苯醌类化合物;放射增敏剂;合成
中国药物化学杂志990311 摘 要 马蔺子甲素是一种2,6-二取代苯醌类化合物,具有明显的乏氧细胞放射增敏作用.通过对马蔺子甲素的化学结构进行修饰,合成了12个2,6-二取代苯醌类化合物.初步药理实验结果显示:它们具有较高的放射增敏作用,但是乏氧选择性细胞毒作用较低.
The Synthesis of 2,6-Disubstituted-1,4-Ben zoquinones
and Their Radiosensitization in vitro
, http://www.100md.com Zhang Wensheng,Feng Jingfeng,Wu Yanfen
(School of Pharmaceutical Sciences,Beijing Medical University,Beijing,10 0083)
Abstract Irisquinone,a 2,6-disubstituted-1,4-benzoquinone, has been reported to have some potential hypoxic cell radiosensitization.After t he chemical structure modification of irisquinone,a series of 2,6-disubstituted -1,4-benzoquinones has been synthesized,and the preliminary pharmacological re sults showed they had higher radiosensitivity in vitro,but the radiosensibil ily of the hypoxia-selective cytotoxity was lower.
, 百拇医药
Key words 2,6-disubstituted-1,4-benzoquinones;radiosensiti zer;synthesis
实体肿瘤组织中存在乏氧区,乏氧细胞内氧张力较低,放疗时对射线不敏感而存活下来,是放疗复发率高的原因.20世纪60年代,英国科学家Adams提出辐射增敏与化合物的电子亲和性相关的理论,促进了放射增敏剂的发展.
马蔺子甲素(irisquinone)是我国学者从中草药马蔺子(Irispallsii Fischer)种子中提取分离出的一种苯醌类化合物,在细胞水平、整体水平和临床上都有一定的放射增敏作用〔1〕.Yadav等〔2〕研究了马蔺子甲素和其它一些具有重要生理活性的醌类天然产物的构效关系,发现它们化学结构的2位都被甲氧基取代,主要区别是5位有无羟基取代及6位取代侧链的不同.因此6位侧链对活性的影响是重要的,为此,以马蔺子甲素为先导物,对其6位侧链进行化学结构修饰,观察对增敏活性的影响.由于增敏剂必须能穿过脂质细胞膜进入细胞内,因此需要具有一定的亲脂性,通过改变6位上碳链长度及在链上引入羟基的方法,合成了10个化合物BQ101~BQ110,考察亲脂性对活性的影响.由于pKa值影响药物对细胞的穿透性和药物在细胞内外的分布,碱性药物更易透入相对酸性的肿瘤组织中,又设计合成了2个含氮的碱性侧链化合物BQ201和BQ202(表1).Tab.1 Structure,physical and spectrum data of the title compounds
Compd.
, http://www.100md.com
R
mp/℃
Yield/%
1H-NMR(CDCl3)
BQ101
H
143~144
6.58(m,1H,3-H),5.87(d,1H,5-H),3.74(s,3-H,OCH3)
BQ102
CH3
140~141
, 百拇医药
58
6.54(m,1H,3-H),5.88(d,1H,5-H),3.81(s,3H,OCH3),2.07(s,3H,CH3)
BQ103
(CH2)2CH3
78~79
41
6.55(m,1H,3-H),5.87(d,1H,5-H),3.80(s,3H,OCH3),2.41(t,2H,CH2),1.50(m,2H,CH2C
2),0.90(t,3H,CH3)
, http://www.100md.com
BQ104
(CH2)6CH3
60~61
25
6.55(m,1H,3-H),5.86(d,1H,5-H),3.83(s,3H,OCH3),2.46(t,2H,CH2),1.2~1.6〔m,10H,(CH2)5〕,0.88(t,3H,CH3)
BQ105
CH2OH
148~149
, http://www.100md.com
62
6.74(m,1H,3-H),5.92(d,1H,5-H),4.56(d,2H,CH2),3.83(s,3H,OCH3),1.97(br,1H,OH)
BQ106①
86~88
15
6.68(m,1H,3-H),5.90(d,1H,5-H),4.48〔d,1H,C
(OH)〕,3.82(s,3H,OCH3),1.94~1.99〔br,2H,C
(CH3)2,OH〕,0.97(d,3H,CH3),0.90(t,3H,CH3)
, 百拇医药
BQ107①
90~91
13
6.57(m,1H,3-H),6.06(d,1H,5-H),5.25(br,1H,OH),4.51(d,1H,C
OH),3.77(s,3H,OCH3),1.26~1.31〔m,6H,(C
2)3〕,0.85(t,3H,CH3)
BQ108①
, 百拇医药
49~50
38
6.70(m,1H,3-H),5.91(d,1H,5-H),4.69〔d,1H,C
(OH)〕,3.83(s,3H,OCH3),1.72(br,3H,CH-C
2,OH),1.28〔m,8H,(CH2)4〕,0.88(t,3H,CH3)
BQ109①
86~87
, 百拇医药
49
6.70(m,1H,3-H),5.95(d,1H,5-H),4.70〔d,1H,C
(OH)〕,3.83(s,3H,OCH3),1.52~1.78(br,3H,CH-C
2,OH),1.25〔m,20H,(CH2)10〕,0.88(t,3H,CH3)
BQ110
120~121
38
, 百拇医药
6.74(m,1H,3-H),5.93(d,1H,5-H),4.57〔d,1H,C
(OH)〕,3.84(s,3H,OCH3),2.64(t,3H,CH2),1.61(br,6H,C
2-CH-CH3,OH)
BQ201
CH2NHCH3
65~66
41
6.92(m,1H,3-H),5.54(d,1H,5-H),3.91(s,3H,OCH3),3.55(d,2H,CH2),2.95(m,3H,CH3)
, 百拇医药
BQ202
67~68
35
6.54(m,1H,3-H),6.05(d,1H,5-H),3.77(s,5H,CH2,OCH3),2.33(t,4H,CH2-N-CH2),1.46(m,4H,C
2-CH2-C
2),0.89(t,2H,CH2—C
2—CH2)
, 百拇医药
①Elemental analyses(%)C,H Found(Calc.):BQ 106 C 62.98(62.84),H 6.90(6.71);BQ 107C63.95(64.27),H 7.04(7.19);BQ 108C66.37(66.64),H 7.60(7.99);BQ 109C 71.12(71.39),H 9.21(9.59) 取代的1,4-苯醌类化合物的合成有多条路线〔3~6〕,作者以邻香草醛及愈创木酚为原料,按图1所示路线进行合成,得到目标化合物.





, http://www.100md.com
Fig.1 The route of synthesis
1 实验部分
熔点用X-4型显微熔点仪测定,温度未校正.元素分析用P-E240C自动元素分析仪测定.1H-NMR用VARIANVXR300,JEOLFX90Q型核磁共振仪测定.
1.1 1-(2,3-二甲氧基苯基)脂肪醇(Ⅱ)的制备
参考文献〔10〕制得(Ⅱa)~(Ⅱe),其中(Ⅱb)和(Ⅱe)未见文献报道.(Ⅱa)R=CH2CH3,浅黄色液体,收率:95%;(Ⅱb)R=CH(CH3)2,浅黄色液体,收率:93%;(Ⅱc)R=(CH2)3CH3,浅黄色液体,收率:96%;(Ⅱe)R=(CH2)5CH3,浅黄色液体,收率:91%;(Ⅱe)R=(CH2)11CH3,白色晶体,mp36~37℃,收率:90%.以上产物结构均经1H-NMR确证.
, 百拇医药
1.2 2,3-二甲氧基苯基脂肪酮(Ⅲ)的制备
参考文献〔10〕制得(Ⅲa)~(Ⅲe),其中(Ⅲb)和(Ⅲe)未见文献报道.(Ⅲa)R=CH2CH3,浅黄色液体,收率:92%;(Ⅲb)R=CH(CH3)2,浅黄色液体,收率:90%;(Ⅲc)R=(CH2)3CH3,浅黄色液体,收率:94%;(Ⅲd)R=(CH2)5CH3,浅黄色液体,收率:89%;(Ⅲe)R=(CH2)11CH3,白色晶体,mp46~47℃,收率:89%.以上产物结构均经1H-NMR确证.
1.3 2-羟基-3-甲氧基苯基脂肪酮(Ⅳ)的制备
, 百拇医药
在搅拌下将2.7g(0.02mol)无水三氯化铝分次加入到0.01mol化合物(Ⅲ)的甲苯溶液中,加热回流5min,冷却,加入10mL10%的盐酸和20mL水,分出甲苯层.经碳酸氢钠液洗、水洗后干燥,减压浓缩,残余物经硅胶柱层析分离得(Ⅳa)~(Ⅳe),其中(Ⅳb),(Ⅳc)和(Ⅳe)未见文献报道.(Ⅳa)R=CH2CH3,浅黄色晶体,mp73~74℃,收率:85%;(Ⅳb)R=CH(CH3)2,黄色粘稠液体,收率:67%;(Ⅳc)R=(CH2)3CH3,黄色粘稠液体,收率:79%;(Ⅳd)R=(CH2)5CH3,浅黄色晶体,mp41~42℃,收率:81%;(Ⅳe)R=(CH2)11CH3,白色结晶,mp69~70℃,收率:63%.以上产物结构均经1H-NMR确证.
, 百拇医药
1.4 2-甲氧基-6-脂肪烷基苯酚(Ⅴ)的制备
15g锌汞齐和8mL浓盐酸混合后加热回流,将0.01mol化合物(Ⅳ)〔R=H,CH2CH3,(CH2)5CH3〕溶于5mL乙醇中,加入15mL浓盐酸,将此溶液于8h内滴至上述反应液中,滴完再回流30min,分出油层,水层及汞齐用苯洗,合并油层与苯层,用碳酸氢钠液洗、水洗后干燥,减压蒸出苯,残余物用硅胶柱层析分离,得产物.(Ⅴa)R=H,白色结晶,mp101~102℃,收率:81%;(Ⅴb)R=CH2CH3,浅黄色液体,收率:72%;(Ⅴd)R=(CH2)5CH3,浅黄色液体,收率:65%.以上产物结构均经1H-NMR确证.
1.5 1-(2-羟基-3-甲氧基苯基)脂肪醇(Ⅶ)的制备
, http://www.100md.com
冰浴冷却下,将0.37g(0.01mol)硼氢化钠乙醇液滴加到0.02mol(Ⅳ)〔R=H,CH(CH3)2,(CH2)3CH3,(CH2)5CH3,(CH2)11CH3〕的乙醇液中,反应30min,用20%盐酸酸化至pH4~6,减压蒸除乙醇,残余物用乙醚提取,醚层用碳酸氢钠液洗、水洗后干燥,蒸去乙醚,残余物经硅胶柱层析分离,得产物.(Ⅶa)R=H,白色结晶,mp62~63℃,收率:93%;(Ⅶb)R=CH(CH3)2,无色粘稠液体,收率:90%;(Ⅶc)R=(CH2)3CH3,无色粘稠液体,收率:84%;(Ⅶd)R=(CH2)5CH3,无色粘稠液体,收率:81%;(Ⅶe)R=(CH2)11CH3,无色粘稠液体,收率:74%.以上产物结构均经1H-NMR确证.化合物(Ⅶb)~(Ⅶe)未见文献报道.
, 百拇医药
1.6 2,6-二取代-1,4-苯醌类化合物(Ⅵ)和(Ⅷ)的合成
0.01mol2,6-二取代酚类化合物(Ⅴ)和(Ⅶ),20mLDMF(6位侧链有羟基或氨基的化合物改用氯仿)及0.2g(0.005mol)吡啶-〔双(邻羟苯亚甲基)-1,2-亚乙基二亚胺钴(Ⅱ)〕Pyr-Salcomine〔9〕在搅拌下通氧24h,将反应液倾入100mL冰水中,用乙醚或二氯甲烷提取,有机层用水洗,干燥后,减压蒸除溶剂,残留物经硅胶柱层析得目标化合物(Ⅵ,BQ102~BQ104)和(Ⅷ,BQ105~BQ109)均为浅黄色结晶,其熔点、收率、1H-NMR和元素分析数据见表1.
1.7 2-甲氧基-6-(3-羟基丁基)-1,4-苯醌(Ⅺ,BQ110)的合成
6.0g(0.04mol)邻香草醛溶于25mL丙酮与20mL10%氢氧化钠混合溶液,室温搅拌3d,用10%盐酸酸化,蒸去丙酮,用乙醚提取,醚层水洗、干燥后减压蒸除醚,得粗品,经硅胶柱层析分离得化合物(Ⅸ),黄色结晶,收率:92%.将3.8g(0.02mol)化合物(Ⅸ).溶于50mL乙醇中,移至氢化釜中,加入0.5gRaney镍,0.2mL(10mol/L)氢氧化钠,釜排空后通氢至压力为303.975kPa,60℃搅拌12h,开釜后滤除催化剂,减压蒸去乙醇得化合物(Ⅹ),浅黄色晶体,收率:80%.将化合物(Ⅹ)按“1.6”中所述的苯醌类化合物制备法制得目标化合物(Ⅺ,BQ110),黄色结晶,熔点、收率、1H-NMR等数据见表1.
, 百拇医药
1.8 2-甲氧基-6-(甲氨基甲基)-1,4-苯醌(ⅩⅣ,BQ201)的合成
6.0g(0.04mol)邻香草醛溶于10mL乙醇中,搅拌下滴加甲胺的乙醇溶液,立即有黄色沉淀析出,抽滤得化合物(Ⅻ),收率:83%.将3.3g(0.02mol)化合物(Ⅻ)溶于50mL乙醇中,移至氢化釜中,加入0.3g钯炭,排尽空气后通氢至压力为303.975kPa,60℃下搅拌8h,开釜后滤除催化剂,减压蒸去乙醇,得化合物(
),收率:88%.将(
)按照“1.6”中所述的苯醌类化合物的制备方法制得目标化合物(ⅩⅣ,BQ201),暗红色晶体,熔点、收率、1H-NMR等数据见表1.
1.9 2-甲氧基-6-(1-哌啶甲基)-1,4-苯醌(Ⅹ Ⅵ,BQ202)的合成
, 百拇医药
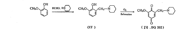
6.0g(0.04mol)愈创木酚溶于20mL乙醇,加入4.0g(0.05mol)六氢吡啶和4mL40%甲醛水溶液中,室温下搅拌24h,减压蒸除乙醇,加水10mL,用乙醚提取,醚层干燥后蒸除乙醚,残余物经硅胶柱层析分离得化合物(ⅩⅤ),白色结晶,收率:50%.将(ⅩⅤ)按“1.6”中所述苯醌类化合物的制备法制得目标化合物(ⅩⅥ,BQ202),暗红色晶体,收率、熔点、1H-NMR等数据见表1.
2 讨论
a.由2,6-二取代苯酚制备目的物2,6-二取代苯醌类化合物,通常应用Teuber反应〔8〕,所用〔Fremy′sradical,.ON(SO3K)2〕试剂易分解并具有易爆性.Salcomine〔双-(邻羟苯亚甲基)-1,2-亚乙基二亚胺钴(Ⅱ)〕〔9〕作为催化酚类氧化的催化剂,氧化酚为醌时,侧链上的羟基不受影响.此类催化剂有Salcomine(Salco),Pyr-Salco(Pyridine-Salcomine),O2-(Salco)2和O2-(Salco-Pyr)2.实验中采用Pyr-Salco为红色结晶,在空气中稳定,文献中多用DMF为溶剂,但当制备侧链带有羟基或氨基的化合物时,由于产物水溶性较大,后处理损失大,改用氯仿为溶剂,收率明显提高.
, http://www.100md.com
b.用克隆形成法,以HeLa-S3细胞为材料,按文献〔11〕方法测定了BQ104,BQ106,BQ107的
(有氧细胞毒性),
(乏氧细胞毒性),
(乏氧细胞毒比率,HCR)及SER(增敏比),并应用极谱法测定了半波还原电位(E1/2),所得数据列于表2.
Tab.2 Biological properties of BQ 104,BQ 106,BQ 10 7 in vitro Compd.

, http://www.100md.com
HCR
SER
E1/2/mV
BQ104
0.012
0.01
0.83
2.32(10μmol)
-338
BQ106
0.002
0.003
, 百拇医药
1.5
2.26(20μmol)
-338
BQ107
0.20
0.34
1.7
1.82(20μmol)
-369
初步实验结果表明:BQ104,BQ106和BQ107均具有较高的放射增敏作用,这与测定的E1/2结果相一致,但它们的乏氧选择性差,对有氧细胞毒性大,其中BQ107对有氧细胞毒性相对较小,从化学结构上分析,随着6位侧链的增长,毒性将可能逐渐降低,并能保持较高的增敏比.DT-diaphrase是体内催化醌类化合物还原活化的重要还原酶,通常在肿瘤组织中要比在正常组织中水平高,因此以DT-diaphrase为靶酶设计醌类化合物,将有可能发现高乏氧选择性的增敏剂. 致谢:化合物的细胞毒性及放射增敏作用,由中国科学院生物物理研究所汤丽霞、李新愿测定.
, http://www.100md.com
1国家自然科学基金资助项目No.39270235
仉文升;通讯联系人
参考文献
1 李德华,王士贤,匡朴,等.马蔺子成分Iq7611的放射增敏研究.肿瘤,1987,7(3):97~99
2 Yadav JS,Upender V,Rama Rao AV.A practical preparation of functonal ized alky lbenzoquinones:Synthesis of maesania and irisquinone.J Org Chem,1992,57(11):3242 ~3245
3 Wong SM,Pezzuto LM,Fong HHS,et al.Isolation,structural elucidati on,and ch emical synthesis of 2-hydroxy-3-octadecyl-5-methoxy-1,4-benzoquinone(iris oquin),a cytotoxic constituent of Iris missouriensis.J Pharm Sci,1985,74(10) :1114~1116
, 百拇医药
4 Michalak RS,Myers DR,Parsons JL,et al.The synthesis of Irisquino ne.Tetrahedron Lett,1989,30(36):4783~4786
5 Bieber LW,Chiappeta ADA,Souza MADM.Simple synthesis of primin and it s analogu es via lithiation of protected quaiacol.Journal of Natural Products,1990,53( 3):706~709
6 张宏跃,潘百川,陶遵崴,等.马蔺子甲素的全合成.化学学报,1989,47(9):896~900
7 Schildknecht H,Schmidt H.Protective compounds in plants.Ⅴ.Synthesis and prope rties of primin and its isomers.Z Naturforsch,b 1967,22(3):287~294(CA 67:6398 7f)
, 百拇医药
8 Zimmer H,Lankin DC,Horgan SW.Oxidation with potassium nitrosodisulfo nate(Fremy′s radical).The Teuber reaction.Chem Rev,1971,71(2):229~246
9 Vogt LH,JR Wirth JG,Finkbeiner HL.Selective autoxidation of some ph enol usi ng bis(salicylaldehyde)ethylenediiminecobalt catalysts.J Org Chem,1969,34(2):273 ~277
10 王德心,梁晓天.白花丹酸的合成.化学学报,1986,44(7):692~694
11 汤丽霞,李新愿,沈恂,等.硝基三唑类衍生物及喹喔琳双-N-氧化物的辐射增敏作用.辐射研究与辐射工艺学报,1997,15(1):18~24
收稿日期:1999-04-26, 百拇医药
单位:北京医科大学药学院,北京100083
关键词:2,6-二取代-1,4-苯醌类化合物;放射增敏剂;合成
中国药物化学杂志990311 摘 要 马蔺子甲素是一种2,6-二取代苯醌类化合物,具有明显的乏氧细胞放射增敏作用.通过对马蔺子甲素的化学结构进行修饰,合成了12个2,6-二取代苯醌类化合物.初步药理实验结果显示:它们具有较高的放射增敏作用,但是乏氧选择性细胞毒作用较低.
The Synthesis of 2,6-Disubstituted-1,4-Ben zoquinones
and Their Radiosensitization in vitro
, http://www.100md.com Zhang Wensheng,Feng Jingfeng,Wu Yanfen
(School of Pharmaceutical Sciences,Beijing Medical University,Beijing,10 0083)
Abstract Irisquinone,a 2,6-disubstituted-1,4-benzoquinone, has been reported to have some potential hypoxic cell radiosensitization.After t he chemical structure modification of irisquinone,a series of 2,6-disubstituted -1,4-benzoquinones has been synthesized,and the preliminary pharmacological re sults showed they had higher radiosensitivity in vitro,but the radiosensibil ily of the hypoxia-selective cytotoxity was lower.
, 百拇医药
Key words 2,6-disubstituted-1,4-benzoquinones;radiosensiti zer;synthesis
实体肿瘤组织中存在乏氧区,乏氧细胞内氧张力较低,放疗时对射线不敏感而存活下来,是放疗复发率高的原因.20世纪60年代,英国科学家Adams提出辐射增敏与化合物的电子亲和性相关的理论,促进了放射增敏剂的发展.
马蔺子甲素(irisquinone)是我国学者从中草药马蔺子(Irispallsii Fischer)种子中提取分离出的一种苯醌类化合物,在细胞水平、整体水平和临床上都有一定的放射增敏作用〔1〕.Yadav等〔2〕研究了马蔺子甲素和其它一些具有重要生理活性的醌类天然产物的构效关系,发现它们化学结构的2位都被甲氧基取代,主要区别是5位有无羟基取代及6位取代侧链的不同.因此6位侧链对活性的影响是重要的,为此,以马蔺子甲素为先导物,对其6位侧链进行化学结构修饰,观察对增敏活性的影响.由于增敏剂必须能穿过脂质细胞膜进入细胞内,因此需要具有一定的亲脂性,通过改变6位上碳链长度及在链上引入羟基的方法,合成了10个化合物BQ101~BQ110,考察亲脂性对活性的影响.由于pKa值影响药物对细胞的穿透性和药物在细胞内外的分布,碱性药物更易透入相对酸性的肿瘤组织中,又设计合成了2个含氮的碱性侧链化合物BQ201和BQ202(表1).Tab.1 Structure,physical and spectrum data of the title compounds
, http://www.100md.com
R
mp/℃
Yield/%
1H-NMR(CDCl3)
BQ101
H
143~144
6.58(m,1H,3-H),5.87(d,1H,5-H),3.74(s,3-H,OCH3)
BQ102
CH3
140~141
, 百拇医药
58
6.54(m,1H,3-H),5.88(d,1H,5-H),3.81(s,3H,OCH3),2.07(s,3H,CH3)
BQ103
(CH2)2CH3
78~79
41
6.55(m,1H,3-H),5.87(d,1H,5-H),3.80(s,3H,OCH3),2.41(t,2H,CH2),1.50(m,2H,CH2C
, http://www.100md.com
BQ104
(CH2)6CH3
60~61
25
6.55(m,1H,3-H),5.86(d,1H,5-H),3.83(s,3H,OCH3),2.46(t,2H,CH2),1.2~1.6〔m,10H,(CH2)5〕,0.88(t,3H,CH3)
BQ105
CH2OH
148~149
, http://www.100md.com
62
6.74(m,1H,3-H),5.92(d,1H,5-H),4.56(d,2H,CH2),3.83(s,3H,OCH3),1.97(br,1H,OH)
BQ106①
86~88
15
6.68(m,1H,3-H),5.90(d,1H,5-H),4.48〔d,1H,C
, 百拇医药
BQ107①
90~91
13
6.57(m,1H,3-H),6.06(d,1H,5-H),5.25(br,1H,OH),4.51(d,1H,C
BQ108①
, 百拇医药
49~50
38
6.70(m,1H,3-H),5.91(d,1H,5-H),4.69〔d,1H,C
BQ109①
86~87
, 百拇医药
49
6.70(m,1H,3-H),5.95(d,1H,5-H),4.70〔d,1H,C
BQ110
120~121
38
, 百拇医药
6.74(m,1H,3-H),5.93(d,1H,5-H),4.57〔d,1H,C
BQ201
CH2NHCH3
65~66
41
6.92(m,1H,3-H),5.54(d,1H,5-H),3.91(s,3H,OCH3),3.55(d,2H,CH2),2.95(m,3H,CH3)
, 百拇医药
BQ202
67~68
35
6.54(m,1H,3-H),6.05(d,1H,5-H),3.77(s,5H,CH2,OCH3),2.33(t,4H,CH2-N-CH2),1.46(m,4H,C
, 百拇医药
①Elemental analyses(%)C,H Found(Calc.):BQ 106 C 62.98(62.84),H 6.90(6.71);BQ 107C63.95(64.27),H 7.04(7.19);BQ 108C66.37(66.64),H 7.60(7.99);BQ 109C 71.12(71.39),H 9.21(9.59) 取代的1,4-苯醌类化合物的合成有多条路线〔3~6〕,作者以邻香草醛及愈创木酚为原料,按图1所示路线进行合成,得到目标化合物.
, http://www.100md.com
Fig.1 The route of synthesis
1 实验部分
熔点用X-4型显微熔点仪测定,温度未校正.元素分析用P-E240C自动元素分析仪测定.1H-NMR用VARIANVXR300,JEOLFX90Q型核磁共振仪测定.
1.1 1-(2,3-二甲氧基苯基)脂肪醇(Ⅱ)的制备
参考文献〔10〕制得(Ⅱa)~(Ⅱe),其中(Ⅱb)和(Ⅱe)未见文献报道.(Ⅱa)R=CH2CH3,浅黄色液体,收率:95%;(Ⅱb)R=CH(CH3)2,浅黄色液体,收率:93%;(Ⅱc)R=(CH2)3CH3,浅黄色液体,收率:96%;(Ⅱe)R=(CH2)5CH3,浅黄色液体,收率:91%;(Ⅱe)R=(CH2)11CH3,白色晶体,mp36~37℃,收率:90%.以上产物结构均经1H-NMR确证.
, 百拇医药
1.2 2,3-二甲氧基苯基脂肪酮(Ⅲ)的制备
参考文献〔10〕制得(Ⅲa)~(Ⅲe),其中(Ⅲb)和(Ⅲe)未见文献报道.(Ⅲa)R=CH2CH3,浅黄色液体,收率:92%;(Ⅲb)R=CH(CH3)2,浅黄色液体,收率:90%;(Ⅲc)R=(CH2)3CH3,浅黄色液体,收率:94%;(Ⅲd)R=(CH2)5CH3,浅黄色液体,收率:89%;(Ⅲe)R=(CH2)11CH3,白色晶体,mp46~47℃,收率:89%.以上产物结构均经1H-NMR确证.
1.3 2-羟基-3-甲氧基苯基脂肪酮(Ⅳ)的制备
, 百拇医药
在搅拌下将2.7g(0.02mol)无水三氯化铝分次加入到0.01mol化合物(Ⅲ)的甲苯溶液中,加热回流5min,冷却,加入10mL10%的盐酸和20mL水,分出甲苯层.经碳酸氢钠液洗、水洗后干燥,减压浓缩,残余物经硅胶柱层析分离得(Ⅳa)~(Ⅳe),其中(Ⅳb),(Ⅳc)和(Ⅳe)未见文献报道.(Ⅳa)R=CH2CH3,浅黄色晶体,mp73~74℃,收率:85%;(Ⅳb)R=CH(CH3)2,黄色粘稠液体,收率:67%;(Ⅳc)R=(CH2)3CH3,黄色粘稠液体,收率:79%;(Ⅳd)R=(CH2)5CH3,浅黄色晶体,mp41~42℃,收率:81%;(Ⅳe)R=(CH2)11CH3,白色结晶,mp69~70℃,收率:63%.以上产物结构均经1H-NMR确证.
, 百拇医药
1.4 2-甲氧基-6-脂肪烷基苯酚(Ⅴ)的制备
15g锌汞齐和8mL浓盐酸混合后加热回流,将0.01mol化合物(Ⅳ)〔R=H,CH2CH3,(CH2)5CH3〕溶于5mL乙醇中,加入15mL浓盐酸,将此溶液于8h内滴至上述反应液中,滴完再回流30min,分出油层,水层及汞齐用苯洗,合并油层与苯层,用碳酸氢钠液洗、水洗后干燥,减压蒸出苯,残余物用硅胶柱层析分离,得产物.(Ⅴa)R=H,白色结晶,mp101~102℃,收率:81%;(Ⅴb)R=CH2CH3,浅黄色液体,收率:72%;(Ⅴd)R=(CH2)5CH3,浅黄色液体,收率:65%.以上产物结构均经1H-NMR确证.
1.5 1-(2-羟基-3-甲氧基苯基)脂肪醇(Ⅶ)的制备
, http://www.100md.com
冰浴冷却下,将0.37g(0.01mol)硼氢化钠乙醇液滴加到0.02mol(Ⅳ)〔R=H,CH(CH3)2,(CH2)3CH3,(CH2)5CH3,(CH2)11CH3〕的乙醇液中,反应30min,用20%盐酸酸化至pH4~6,减压蒸除乙醇,残余物用乙醚提取,醚层用碳酸氢钠液洗、水洗后干燥,蒸去乙醚,残余物经硅胶柱层析分离,得产物.(Ⅶa)R=H,白色结晶,mp62~63℃,收率:93%;(Ⅶb)R=CH(CH3)2,无色粘稠液体,收率:90%;(Ⅶc)R=(CH2)3CH3,无色粘稠液体,收率:84%;(Ⅶd)R=(CH2)5CH3,无色粘稠液体,收率:81%;(Ⅶe)R=(CH2)11CH3,无色粘稠液体,收率:74%.以上产物结构均经1H-NMR确证.化合物(Ⅶb)~(Ⅶe)未见文献报道.
, 百拇医药
1.6 2,6-二取代-1,4-苯醌类化合物(Ⅵ)和(Ⅷ)的合成
0.01mol2,6-二取代酚类化合物(Ⅴ)和(Ⅶ),20mLDMF(6位侧链有羟基或氨基的化合物改用氯仿)及0.2g(0.005mol)吡啶-〔双(邻羟苯亚甲基)-1,2-亚乙基二亚胺钴(Ⅱ)〕Pyr-Salcomine〔9〕在搅拌下通氧24h,将反应液倾入100mL冰水中,用乙醚或二氯甲烷提取,有机层用水洗,干燥后,减压蒸除溶剂,残留物经硅胶柱层析得目标化合物(Ⅵ,BQ102~BQ104)和(Ⅷ,BQ105~BQ109)均为浅黄色结晶,其熔点、收率、1H-NMR和元素分析数据见表1.
1.7 2-甲氧基-6-(3-羟基丁基)-1,4-苯醌(Ⅺ,BQ110)的合成
6.0g(0.04mol)邻香草醛溶于25mL丙酮与20mL10%氢氧化钠混合溶液,室温搅拌3d,用10%盐酸酸化,蒸去丙酮,用乙醚提取,醚层水洗、干燥后减压蒸除醚,得粗品,经硅胶柱层析分离得化合物(Ⅸ),黄色结晶,收率:92%.将3.8g(0.02mol)化合物(Ⅸ).溶于50mL乙醇中,移至氢化釜中,加入0.5gRaney镍,0.2mL(10mol/L)氢氧化钠,釜排空后通氢至压力为303.975kPa,60℃搅拌12h,开釜后滤除催化剂,减压蒸去乙醇得化合物(Ⅹ),浅黄色晶体,收率:80%.将化合物(Ⅹ)按“1.6”中所述的苯醌类化合物制备法制得目标化合物(Ⅺ,BQ110),黄色结晶,熔点、收率、1H-NMR等数据见表1.
, 百拇医药
1.8 2-甲氧基-6-(甲氨基甲基)-1,4-苯醌(ⅩⅣ,BQ201)的合成
6.0g(0.04mol)邻香草醛溶于10mL乙醇中,搅拌下滴加甲胺的乙醇溶液,立即有黄色沉淀析出,抽滤得化合物(Ⅻ),收率:83%.将3.3g(0.02mol)化合物(Ⅻ)溶于50mL乙醇中,移至氢化釜中,加入0.3g钯炭,排尽空气后通氢至压力为303.975kPa,60℃下搅拌8h,开釜后滤除催化剂,减压蒸去乙醇,得化合物(
1.9 2-甲氧基-6-(1-哌啶甲基)-1,4-苯醌(Ⅹ Ⅵ,BQ202)的合成
, 百拇医药
6.0g(0.04mol)愈创木酚溶于20mL乙醇,加入4.0g(0.05mol)六氢吡啶和4mL40%甲醛水溶液中,室温下搅拌24h,减压蒸除乙醇,加水10mL,用乙醚提取,醚层干燥后蒸除乙醚,残余物经硅胶柱层析分离得化合物(ⅩⅤ),白色结晶,收率:50%.将(ⅩⅤ)按“1.6”中所述苯醌类化合物的制备法制得目标化合物(ⅩⅥ,BQ202),暗红色晶体,收率、熔点、1H-NMR等数据见表1.
2 讨论
a.由2,6-二取代苯酚制备目的物2,6-二取代苯醌类化合物,通常应用Teuber反应〔8〕,所用〔Fremy′sradical,.ON(SO3K)2〕试剂易分解并具有易爆性.Salcomine〔双-(邻羟苯亚甲基)-1,2-亚乙基二亚胺钴(Ⅱ)〕〔9〕作为催化酚类氧化的催化剂,氧化酚为醌时,侧链上的羟基不受影响.此类催化剂有Salcomine(Salco),Pyr-Salco(Pyridine-Salcomine),O2-(Salco)2和O2-(Salco-Pyr)2.实验中采用Pyr-Salco为红色结晶,在空气中稳定,文献中多用DMF为溶剂,但当制备侧链带有羟基或氨基的化合物时,由于产物水溶性较大,后处理损失大,改用氯仿为溶剂,收率明显提高.
, http://www.100md.com
b.用克隆形成法,以HeLa-S3细胞为材料,按文献〔11〕方法测定了BQ104,BQ106,BQ107的
Tab.2 Biological properties of BQ 104,BQ 106,BQ 10 7 in vitro Compd.
, http://www.100md.com
HCR
SER
E1/2/mV
BQ104
0.012
0.01
0.83
2.32(10μmol)
-338
BQ106
0.002
0.003
, 百拇医药
1.5
2.26(20μmol)
-338
BQ107
0.20
0.34
1.7
1.82(20μmol)
-369
初步实验结果表明:BQ104,BQ106和BQ107均具有较高的放射增敏作用,这与测定的E1/2结果相一致,但它们的乏氧选择性差,对有氧细胞毒性大,其中BQ107对有氧细胞毒性相对较小,从化学结构上分析,随着6位侧链的增长,毒性将可能逐渐降低,并能保持较高的增敏比.DT-diaphrase是体内催化醌类化合物还原活化的重要还原酶,通常在肿瘤组织中要比在正常组织中水平高,因此以DT-diaphrase为靶酶设计醌类化合物,将有可能发现高乏氧选择性的增敏剂. 致谢:化合物的细胞毒性及放射增敏作用,由中国科学院生物物理研究所汤丽霞、李新愿测定.
, http://www.100md.com
1国家自然科学基金资助项目No.39270235
仉文升;通讯联系人
参考文献
1 李德华,王士贤,匡朴,等.马蔺子成分Iq7611的放射增敏研究.肿瘤,1987,7(3):97~99
2 Yadav JS,Upender V,Rama Rao AV.A practical preparation of functonal ized alky lbenzoquinones:Synthesis of maesania and irisquinone.J Org Chem,1992,57(11):3242 ~3245
3 Wong SM,Pezzuto LM,Fong HHS,et al.Isolation,structural elucidati on,and ch emical synthesis of 2-hydroxy-3-octadecyl-5-methoxy-1,4-benzoquinone(iris oquin),a cytotoxic constituent of Iris missouriensis.J Pharm Sci,1985,74(10) :1114~1116
, 百拇医药
4 Michalak RS,Myers DR,Parsons JL,et al.The synthesis of Irisquino ne.Tetrahedron Lett,1989,30(36):4783~4786
5 Bieber LW,Chiappeta ADA,Souza MADM.Simple synthesis of primin and it s analogu es via lithiation of protected quaiacol.Journal of Natural Products,1990,53( 3):706~709
6 张宏跃,潘百川,陶遵崴,等.马蔺子甲素的全合成.化学学报,1989,47(9):896~900
7 Schildknecht H,Schmidt H.Protective compounds in plants.Ⅴ.Synthesis and prope rties of primin and its isomers.Z Naturforsch,b 1967,22(3):287~294(CA 67:6398 7f)
, 百拇医药
8 Zimmer H,Lankin DC,Horgan SW.Oxidation with potassium nitrosodisulfo nate(Fremy′s radical).The Teuber reaction.Chem Rev,1971,71(2):229~246
9 Vogt LH,JR Wirth JG,Finkbeiner HL.Selective autoxidation of some ph enol usi ng bis(salicylaldehyde)ethylenediiminecobalt catalysts.J Org Chem,1969,34(2):273 ~277
10 王德心,梁晓天.白花丹酸的合成.化学学报,1986,44(7):692~694
11 汤丽霞,李新愿,沈恂,等.硝基三唑类衍生物及喹喔琳双-N-氧化物的辐射增敏作用.辐射研究与辐射工艺学报,1997,15(1):18~24
收稿日期:1999-04-26, 百拇医药