动脉中的脉搏波理论
作者:乔爱科 伍时桂
单位:乔爱科(北京工业大学,北京 100022)伍时桂(北京工业大学,北京 100022)
关键词:动脉;脉搏波;非线性;数学模型
生物医学工程学杂志000126 摘 要:介绍研究脉搏波传播的意义,回顾了动脉中的脉搏波传播理论的发展过程,重点描述了非线性脉搏波理论的主要研究成果,并指出脉搏波研究的发展方向。
Theories of Pulse Wave in Arteries
Qiao Aike Wu Shigui
(Beijing Polytechnic University,Beijing 100022)
, http://www.100md.com
Abstract:This paper introduces the importance of studying pulse wave propagation and neviews the development process of the theories of pulse wave propagation. The main research achievements of nonlinear theories of pulse wave propagation are described,and the developing directions of studying pulse wave propagation are briefly stated.
Key words:Artery Pulse wave Nonlinear Mathematical model▲
1 脉搏波研究的意义
, 百拇医药
随着心脏的间歇性收缩和舒张,血液压力、血流速度和血流量的脉动以及血管壁的变形和振动在血管系统中的传播,统称为脉搏波或脉搏波在血管中的传统[13,14]。
脉搏波的传播特性等是与心血管系统中的力学参数变化密切相关的。大量实验和计算结果证明,在动脉血管弯曲、分叉和狭窄部位最容易引起动脉粥样硬化等心血管疾病。心血管疾病是当今发达国家死亡率占第一位的重要疾病,在我国也是死亡率最高的一类疾病,世界卫生组织已将其列为21世纪危害人类健康的头号杀手。因此,如何防治这类疾病,已成为世界各国迫切需要解决的一项重大课题。对心血管血流动力学参数进行科学合理的检测、诊断、分析,这对临床医学的发展是极有意义的。另外,中医脉象和心血管系统血液运动、血管壁运动及脉搏波的传播规律有密切的关系。因此,对脉搏波传播规律进行研究,并将其与传统中医的脉象诊断相结合,以求利用无创检测方法对人体心血管疾病进行早期的诊断治疗,这对临床医学的发展是很有价值的。
对心血管疾病的诊断治疗问题,迄今为止,国内外已开发和生产出多种仪器来帮助医生进行检测和诊断。其中脉搏波法与心血管血流动力学原理联系紧密,利用它进行多参数检测分析,很受国内外医学工程专家和科学家重视。从理论上讲,只要脉搏波和心血管血液流动规律的关系得到了很好的了解和解决,利用脉搏波方法来检测诊断人体心血管血流动力学参数是最恰当不过或者说是最好的途径,这就为研制新的医学医疗仪器提供了必要的依据和基础。因此根据脉搏波原理,建立一个科学、准确的心血管血流动力学参数无创检测新原理和新方法,并开发研制一种更先进的检测分析人体心血管系统血流动力学的多功能专家诊断系统,为广大临床医生对心血管疾病的检测、诊断、监护及确定治疗措施提供一个简捷方便和准确可靠的重要诊断手段,无疑对生物医学工程的发展具有深远的意义。
, 百拇医药
脉搏波传播问题是医学和力学的交叉学科问题,涉及到医学、生物力学、流体力学、计算流体力学和数学等多种学科知识。脉搏波传播的研究,必然会推动相关学科的进一步发展,因此具有深远的科学意义。
总而言之,研究脉搏波传播机理对以下几方面是重要的[12]:(1)从纯粹生理学的角度看,需要搞清楚正常健康人体的心血管系统中的血液流动规律;(2)从病理上而言,弄清病理过程的起源及影响,例如动脉粥样硬化的成因问题;(3)发展心血管疾病的诊断技术。设计定量的测量方法,解释测量参数,例如心音、血压、血液粘度等;(4)治疗方法、假体器官装置(如心瓣膜)的生物医学工程研究以及外科技术(例如透析机、心脏体外反搏技术、冠状动脉旁路外科手术);(5)为其他生理和病理流动的深入研究提供借鉴;(6)推动其他相关的基础学科和应用学科的发展。
动脉中的脉搏波传播的介质主要是血液和血管。血液是具有粘弹性的悬浮介质。但是,对于大动脉(直径d≥1mm)中的血液,可以近似看成为连续的、不可压缩的、均质的牛顿流体。同时,血液流动可认为是非定常的、周期性的层流运动。大动脉由内、中、外三层构成,影响血管力学行为的组元是中层的弹性蛋白、胶原和平滑肌。大量实验证明,大动脉血管具有如下一些主要的性质:可膨胀性、不可压缩性、正交性、各向异性、几何形状复杂性、非均质性、承受大变形(有限变形)、厚壁筒、非线性本构关系、应力松弛、蠕变、滞后回线(非线性粘弹性)、应力—应变关系对应变率的影响不敏感、存在残余应力和残余应变等。在脉搏波传播的研究中,要综合考虑这些因素。
, 百拇医药
2 动脉中脉搏波传播理论的发展概况
2.1 脉搏波传播速度的研究
人类认识血液流动已经有几千年的历史,然而,有关血液流动的定量分析是从18世纪开始、由于流体力学的高速发展而建立起来的。1775年,Leonard Eular首先给出了描绘不可压缩理想流体在弹性管中流动的控制方程。其中假设了血管横截面积与血管内血液压力之间的非线性关系,即所谓的Eular面积率。1809年,Thomas Young忽略了血液粘性,推导出血液流动中脉搏波的传播速度,即Young's波速。1850年,Ernst Heinrich Weber指出具有弹性的动脉的作用和与泵相连接的风箱(Windkessel)相似,这就是后来弹性腔理论的发端。1878年,Moens根据实验结果,对Young's波速作了修正。同年,Korteweg也导出了脉搏波的传播速度计算公式,该式在特殊情况下与Young's波速一致,因此Young's波速公式也就众所周知地被称为Moens-Korteweg公式。1898年,Lamb也忽略掉血液粘性、而考虑了血管壁运动,建立了血管壁运动方程,并导出了波速平方的二次特征方程式。1914年,Witzig在Lamb等人的血管壁运动方程的基础上,首先建立了包含血液粘性和血管可膨胀性在内的较完整的脉搏波传播的分析。可惜,他的成果被埋没了40年。1947年,King将血管壁与血液一起考虑、在允许壁厚可变的情况下,得出了相应的波速计算公式。
, 百拇医药
2.2 线性化脉搏波传播理论
1954年,Morgan和Kiely给出了线性流动方程及血管壁运动方程的解析解,同时引进当量厚度来考虑外周组织对血管壁运动的影响。1955~1957年,Womersley在生理上有意义的参数范围内,从线性血液流动方程、线性血管壁运动方程以及线性边界条件出发,假设动脉血管壁为薄壁,血管为均质无限长直管,血管壁材料为各向同性的线性弹性体;血管内的血液流动为充分发展的轴对称流动;特别是假设压力、流速、血管壁位移等均是一系列谐波分量组成的,这些分量均满足线性叠加原理。在此基础上,Womersley理论给出了线性化血流控制方程,并由此得出血液压力、流速、流量等的解析解。Womersley的线性化理论被推广应用于分析刚性直管、弹性直管、异径直管、局部狭窄、分叉管等情形, 并仿照电传输线理论来模拟异径管、分叉管等的脉动流。因此,Womersley的理论奠定了线性化脉搏波传播理论的基础。
其它重要的理论有:Taylor MG的电传输理论,Morgan-Kiely考虑外周组织质量的组合管模型,Jager的各向同性厚壁管模型,Mirsky各向异性厚壁管模型,Atabek各向异性薄壁管粘弹性理论,Rubinow-Keller色散理论,Cox的粘弹性壁理论,Kline的极性流体模型Hoston(1989)的拟一维线性化粘性模型等等。
, 百拇医药
在线性化脉搏波理论中,血管壁材料的线性弹性体基本力学模型有两种常用模型:各向同性虎克体、正交各向异性虎克体;血管壁材料的线性粘弹性体基本力学模型有三种常用模型:Maxwell模型、Voigt模型、Kelvin模型。线性弹性或线性粘弹性模型对血管小变形可以作较好的近似,而对于血管大变形(有限变形),则必须采用非线性模型。
现有的线性化模型不下几十种,它们大都忽略了血液控制方程中的非线性项一一对流加速度项,以及血管壁运动方程中的非线性项,而且认为血管壁经受小变形。尽管它们对小动脉中的血液流动的某些特性的描述可以很好地满足,但是对于血液流场、特别是大动脉中的流场却不能给出足够的描绘,与实际情况还存在很多的误差。这主要受到线性化理论做的假设条件所限制。因此,必须发展非线性理论来研究大动脉中的脉搏波传播问题。
2.3 非线性脉搏波传播理论
动脉中脉搏波传播的非线性效应,主要来源于五个方面:(1)血管系统几何形状及力学性质非均匀性;(2)血管材料力学性质非线性;(3)血液非牛顿性;(4)血管壁运动的非线性;(5)血液流动的非线性。
, http://www.100md.com
早期的非线性理论大致分两类:一类基于一维简化模型,另一类用扰动法解轴对称流动。Lambert、Streeter、Anliker、管原、Schraf、Rumberger、Shapiro、Gerrard和Kivity等人对此作了分析和计算。这些分析均基于一维流动方程,无法看出非线性项对速度剖面的影响。
Lighthill和Pedley[3]认为,尽管血管的力学和几何特性沿整个动脉是非均匀、非线性的,但就局部而言,线性化电传输线理论仍然可以采用,从而发展了拟线性化电传输线理论。在此基础上,建立了一维理想流体流动的非线性控制方程,并得到压力解的渐近级数表达。
1972年,Ling & Atabek[4]提出了在大动脉中要考虑血管壁的变形,并强调了血液对流加速度的重要性,特别是在估计平均流速时。Ling & Atabek的模型中包含了血管壁的非线性弹性特性及血管壁的大变形,而且特别地包含了血流运动方程中对流加速度项,它是一组高度非线性化的偏微分方程。该模型假定流动为轴对称流动,可以由局部测定的压力值、压力梯度及压力-半径关系来确定局部的速度分布和壁面剪应力。亦即局部速度分布仅由当地的压力来确定,而不受上游远端的运动过程的影响,它也不会对下游远端的流动产生影响。这就是Atabek的非线性局部流动理论。
, http://www.100md.com
Cavalcanti(1992,1995)等人[5,11]仿照Atabek的方法,也研究了非线性脉搏波在动脉中的传播。Cavalcanti等人将血管壁视为经典的Kelvin-Voigt体,其弹性特性由中间面的单一平滑肌纤维来决定,由此给出了血管壁本构方程的经验公式;并将流体轴向速度假设为级数形式,从而可以求解速度场和压力场。Cavalcanti等人利用Gear的预估-修正法,通过求解差分方程,对轴对称动脉中的脉搏波传播问题作了数值模拟,结果与线性化理论相比较,表明在运动方程中保留非线性项是非常重要的。同时,对速度分布、剪应力及随时间的变化进行了分析。另外,对轴对称动脉狭窄、锥削情况下,脉搏波的反射效应、流量、纵向阻抗等都作了分析,得到较好的结果。
在这里,特别值得一提的是,80年代初,伍时桂[15,16]、李兆治和马新胜等人对轴对称动脉中的脉搏波传播进行了深入的研究,特别地给出了动脉壁的非线性本构关系及非线性运动方程,并将血管壁运动和血液流动互相耦合,提出了一个全新的非线性脉搏波传播理论,将非线性脉搏波传播的研究推向了一个新的高度。该理论第一次将血液流动的非线性、血管壁运动的非线性、以及联系二者的非线性边界条件结合起来,能更合理地描绘动脉中脉搏波的传播特性。伍时桂等人所建立的这个非线性脉搏波传播理论包含了更多的生理和力学因素,因此,利用它不仅可以综合地研究动脉血管内压力波、血流速度波、血流量以及血管的波动和变形等等的非线性脉搏波传播问题,而且可以研究血流、血管和外周组织之间相互作用的关系。另外,根据这个非线性脉搏波理论模型,也可以借助某种适当的简化手续推导出以往许多作者所提出的各种线性化脉搏波理论模型。所以,这个理论是一个更一般的脉搏波理论模型。
, 百拇医药
伍时桂等人所发展的非线性脉搏波传播理论的基本假设如下:(1)血管壁为局部正交、各向异性、弹性、不可压缩材料;(2)血管壁厚度相对于截面尺寸为薄壁,而且血管壁是能经受大变形的轴对称旋转体;(3)血液和外周组织作用于血管壁的力只影响管壁中应力、应变的大小而不影响其正交性;(4)主动脉及其外周组织被模拟为薄壁弹性介质,而对嵌入其他组织的动脉,其外周组织则模拟为有限或无限厚度的弹性介质。应力波在此种介质内的传播随径向距离的增加而衰减;(5)重力忽略不计;(6)血液流动为充分发展的轴对称层流;(7)血液为不可压缩牛顿流体。由此建立理论模型如下:
(1)血流控制方程
(1)
其中:νz、νr分别为血流轴向和径向速度;p为压力,v为粘度。
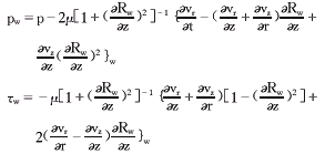
(2)血管壁运动方程(薄壁管)
(2)
, http://www.100md.com
其中:uz、ur分别为血管壁的轴向和径向位移;Rw为血管横截面半径;h为血管的壁厚;Pw、τw为血液作用于血管内壁上的法向压应力及切向剪应力;Pt、τt为外周组织作用于血管壁的力;Sξ和Sθ为血管壁纵向应力的和周向应力。
(3)
此处,脚注w表示变量在血管内壁上的值。
想要求解血管壁运动方程,需要确定pt和τt。对于无外周组织的动脉,pt和τt容易确定。而有外周组织的动脉,伍时桂等人将血管壁和上周组织视为组合薄壁管处理,推导了包括外周组织的运动方程。这里不再赘述。
, 百拇医药
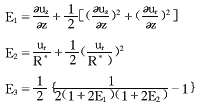
Sξ和Sθ利用血管壁本构方程来确定
(3)血管壁非线性本构方程
根据Green-Adkins理论,伍时桂推出血管壁本构方程为:
(4)
其中:S1≡Sξ,S2≡Sθ,S3≡Sη,Ej为物理应变,p′为静水压力。而且
(5)
这里R*为未变形时的血管半径。
上面系数
是由血管壁的Lame弹性常数组成的。
, 百拇医药
(4)边界条件
(6)
伍时桂等人的理论应用于均匀轴对称直动脉及锥削动脉进行数值模拟,都得到了较好的结果。
在非ZK)线性脉搏波传播理论中,常见的血管壁非线性力学模型有:
(1)Patel的增量化理论。
(2)Patel-Vaishnav的Green-St.Venant应变多项式非线性弹性理论模型。
(3)伍时桂一李兆治的应变不变量非线性弹性理论模型[17]。
(4)Fung的e指数应变能拟弹性理论。
, 百拇医药
(5)非线性粘弹性理论,如伍时桂—李兆治等人的研究[19]。
(6)包含残余应力、残余应变的非线性弹性理论。如Fung、Hayashi、李晓阳等人[20]的研究。在这些非线性理论中,非线性粘弹性理论及包含残余应力和残余应变的非线性弹性理论仅有一些初步的研究,还没有十分成熟的理论,有待进一步发展。可以说,血管壁非线性力学模型的建立,为非线性脉搏波传播的研究开拓了更广阔的前景,也提出了更高的要求。
3 动脉中非线性脉搏波传播一般理论的研究
3.1 非线性脉搏波在弯曲动脉中传播的数学模型
大量研究表明,动脉粥样硬化容易在血管的弯曲部分发生。在近端主动脉和脑循环中这个问题尤为突出。因此弯管内的血液流动是生物流体力学的一个重要问题。弯管流体力学包括管端进口流动、二次流动问题和在高雷诺数下流动分离、涡旋区形成及产生湍流的机制等。
, 百拇医药
对弯曲管内的流动问题的研究,最早可追溯到Thompson(1876)和Eustice(1910,1911)对二次流和涡旋的定性观察和实验。而Dean(1927)首先从理论上对弯管中的定常流动作了研究。此后,许多研究人员分别对弯曲刚性管流动和弹性管流动、定常流动和非定常流动、进口流动和充分发展的流动作了研究。Yao & Berger(1964)、Singh(1974)、Talbot & Gong(1982)、Soh & Berger(1984)分别对弯曲管中的进口流动作了研究。七十年代以来,弯管中的非定常流动吸引了很多人的兴趣,并以Lyne(1970)的工作为开端。Lyne在1970年分析了弯管中充分发展的振荡流,并给出极限情况——频率高、粘度小、管径大时的渐近解,发现振荡流与定常流中二次流的情况很不一样。其他重要的研究人员有:Smith(1975)、Talbot & Gong(1983)、Yearwood & Chandran(1984)、[7]Chang & Tarbell(1985,1988)、Berger(1988)、[2]Rindt(1991)、Clement、Yam & Dwyer(1993)、[6]Yutaka Komai & Kazuo Tanishita(1997)[9]等。总的来看,以上这些研究工作,大都以弯曲刚性管内的振荡流、脉动流为基础,较少考虑管本身的变形,或者认为主动脉弓的变形较小而将其忽略不计。也就是说,还没有有人真正对弯曲动脉壁的非线性本构关系在理论上给出明确、严密的表达。下面是在圆环坐标系下(图1),Yutaka Komai & Kazuo Tanishita的数学模型,其中血管壁视为刚性管,血液视为不可压缩牛顿流体,血液流动为充分发展的流动,血流控制方程为:
(7)
, 百拇医药
图1 弯曲动脉圆环坐标系
Fig 1 Toroidal coordinate system of curved arteries
其中:(u,v,w)为速变分量;α为Womersley数;Re为雷诺数,δ=a/R。
边界条件:包括壁面无滑流条件、对称面条件等。
伍时桂等人的理论应用于均匀轴对称动脉,得到了较好的结果。然而,将这样的二维的、非线性的脉搏波传播理论直接推广到三维的、弯曲动脉中的非线性脉搏波传播,还存在较大的难度。在弯曲动脉的脉搏波研究中,必须综合考虑血壁的非线性几何弯曲、血管壁的非线性力学性能、血管壁的非线性运动和血液的非线性流动等问题,而这项工作到目前为止还没有人进行过研究。我们将在以后的工作中,对弯曲动脉中的非线性脉搏波传播进行深入的研究,以期得到更大的成果。这项工作将是开创性的、具有国际领先水平的。
, http://www.100md.com
3.2 非线性脉搏波在狭窄动脉中传播的数学模型
狭窄动脉中的血液流动与动脉粥样硬化有关。动脉狭窄流动问题的研究所要解决的主要问题是弄清动脉血管组织增长的力学机制、血检形成的原因及狭窄后部扩张流动特性等。
对轴对称狭窄动脉中的脉搏波传播的研究始于60年代。主要研究者有:May(1963)、Young(1968,1973,1974)、Fung(1970)、Caro(1973)、Fry(1973)、Misra(1980~1984)[21]、Tandon(1992,1993,1995)[1]、Rappitsch & Perktold(1996)[23]等。下面是Rappitsch & Perktold(1996)的理论模型。该模型假设血管为刚性管,血液为不可压缩牛顿流体。在圆柱坐标系下(图2),血流动量方程及连续方程为:
, 百拇医药
图2 动脉动部狭窄圆柱坐标系
Fig 2 Cylindrical cordinate system of arterial stenosis
(8)
边界条件:包括进口速度条件、壁面无滑流条件、轴对称条件、出口零牵引力条件。
3.3 非线性脉搏波在分叉动脉中传播的数学模型
动脉粥样硬化与动脉分叉处的流体力学特性也有密切的关系。分叉处的壁面剪应力和压力分布、边界层分离等因素,它们当中的一个或全部都可能在动脉的硬化和退化中起重要的作用。基于这种认识,从60年代以后就有不少研究者对动脉分叉处的局部流场进行深入的研究。主要研究者有:Hung、Pedley[12]、Ku、Rindt、Perktold[2][8]等。下面是Xiaoyi He & David N.Ku(1996)[22]对左冠状动脉建立的理论模型。该模型假设血管为刚性管,血液为不可压缩牛顿流体。流体控制方程为:
(9)
, 百拇医药
其中:u和p分别为速度矢量和压力。
3.4 脉搏波传播的数值模拟方法
对刚性边界中的脉动流的数值模拟,可以采用涡量—流函数方程和原始变量方程进行计算。而对于弹性边界中脉搏波传播的数值模拟,多采用原始变量方程。为便于数值计算需将方程离散化,转化为差分格式。Xu & Collins(1995)[10]认为,对壁边界采用有限单无法(FE)、对流场计算采用有限体积法(FV),可以提高收敛速度和计算效率。也有人采用ADI方法、预估—修正法、超松弛(SOR)方法等等。实际上,采用较多的方法仍然是SIMPLE方法或者其变形形式,并且证明是行之有效的计算方法。
4 结束语
由于大动脉中的脉搏波传播问题与心血管疾病有着密切的联系,所以在今后,有关这方面的研究将一如既主地受到重视。如果某些根本问题(如生物力学实验及活体测量技术就是其中的重要内容)能得到较好的解决,那么脉搏波传播理论将得到迅速的发展。
, http://www.100md.com
由上面的分析我们可以看到,在以前的研究工作基础上,以后将主要在以下几个方面进行重点的研究:
(1)由于血管壁的本构关系是脉搏波传播理论中的关键问题,所以,抛开以前经验性和半经验性的血管壁本构方程、建立依赖于血管壁物性参数的血管壁本构方程、进而建立血管壁的动态本构方程,将是十分重要的。
(2)发展更一般化的三维非线性脉搏波传播理论,并将其用于解决具有狭窄、弯曲、分叉的动脉的脉搏波传播问题,探讨流场分布、流动分离、湍流涡旋的产生、壁面剪应力分布、流场及剪应力的变化等对动脉粥样硬化的影响机理。
(3)建立非线性脉搏波在动脉系统内传播的数学模型,用于研究脉搏波在任何动脉子系统(如主动脉—桡动脉;主动脉—颈动脉等等)内的传播特性,及研究体外反搏引起的反搏波在动脉子系统内传播的问题,解决心脏体内外反搏治疗机理,为发展更先进的治疗心脑血管疾病的体外反搏装置打下基础。
, 百拇医药
(4)研究冠状动脉循环和脑动脉循环中的脉搏波传播特性。探讨相应部位血管疾病对血管壁力学性能和脉搏波传播的影响。
(5)利用已有的脉搏波传播理论及血流动力学研究成果,结合传统中医脉象理论,建立更科学准确的心血管系统血流动力学参数无创检测和治疗方法,开发研制更先进的心脏——血管系统的血流动力学无创检测、诊断和监测系统及多功能专家诊断系统,为广大临床医生对心血管疾病的检测和治疗方法,开发研制先进的心脏-血管系统的血流动力学无创检测、诊断、监护及确定治疗措施提供简捷方便且准确有效的手段。
(6)在脉搏波传播的数值模拟方面,除探讨新的计算方法之外,还应向科学计算可视化方向发展。■
基金项目:国家自然科学基金资助项目(19872009)
参考文献:
[1]Tandn PN,Rana UVS. A new model for blood flow through an artery with axisymmetric stenosis,Int J Bio-Medical Computing,1995;38∶257
, 百拇医药
[2]Perktold K, Resch M, Peter PO.Three-dimensional numerical analysis of pulsatile flow and wall shear stress in the carotid artery bifurcation.J Biomech,1991;24∶409
[3]Hamakiotes CC, Berger SA.Fully developed pulsatile flow in a curved pipe.J Fluid Mech,1988;195∶23
[4]Ling SC, Atabek HB. A nonlinear analysis of pulsatile flow in arteries.J Fluid Mech,1972;55∶493
[5]Belardinelli E, Cavalcanti S.Theoretical analysis of pressure pulse propagation in arterial vessels.J Bimech,1992;25∶1137
, 百拇医药
[6]Yam CG, Dwyer HA.Unsteady flow in a curve pipe.Contemporary Mathematics,1993;141∶543
[7]Yearwood TL,Chandran KB. Physiological pulsatile flow experiments in a model of the human aorta arch.J Biomech,1984;5∶683
[8]Perktold K, Hibert D.Numerical simulation of pulsatile flow in a carotid bifurcation model.J Biomech Eng,1986;8∶193
[9]Yutak Komei,Kazuo Tanishita.Fully developed intermittent flow in a curved tube.J Fluid Mech,1997;347∶263
, 百拇医药
[10]Power H.Bio-Fluid Mechanics,1995∶55-93
[11]Power H.Bio-Fluid Mechanics,1995∶95-128
[12]Jaffrin MY.Caro CG.Biological Flow,1995∶31-49
[13]陶祖莱编著.生物流体力学.北京:科学出版社,1984
[14]柳兆荣编著.心血管流体力学.上海:复旦大学出版社,1986
[15]WU SG,Lee GC. Theoretical and Computational Investigations of Nonlinear Wave Propogations in Arteries(Ⅰ)——A Theoretical Model of Nonlinear Pulse Wave Propgations.Science in China,Series B,1989;32∶711
, 百拇医药
[16]Wu SC, Lee GC. Theoretical model of nonlinear wave propogations in arteries with circumferential tissues.Journal of Beijing Polytechnic Universisty,1986;12∶1
[17]Wu SG, Lee GC,Tseng NT.Nonlinear elastic analysis of blood vessels.J Biomech Engng,1984;106∶376
[18]Li XY, Wu SG et al.Theoretical and experimental study of nonlinear elasticity of arterial wall.Journal of China Biomedical Engineering,1991;10∶245
, 百拇医药
[19]Wu SG,Lee GC.On nonlinear viscoelastic properties of arterial tissue.ASME,J Biomech Engng,1984;106∶42
[20]Li X,Hayashi K.Alternate method for the analysis of residual strain in the arterial wall.Biorheology,1996;33∶439
[21]Misra JC,Chakravarty S. Flow in arteries in the presence of stenosis.J Biomech,1986;19∶907
[22]He Xiaoyi, Ku DN.Pulsatile flow in the human left coronary artery bifurcation:Average conditions.J Biomech Engng,1996;118∶74
[23]Rappitsch G,Perktold K.Pulsatile albumin transport in large arteries:a numerical simulation study.ASME,J Biomech Engng,1996,118∶511
收稿日期:1998-06-17
修改日期:1998-12-29, http://www.100md.com
单位:乔爱科(北京工业大学,北京 100022)伍时桂(北京工业大学,北京 100022)
关键词:动脉;脉搏波;非线性;数学模型
生物医学工程学杂志000126 摘 要:介绍研究脉搏波传播的意义,回顾了动脉中的脉搏波传播理论的发展过程,重点描述了非线性脉搏波理论的主要研究成果,并指出脉搏波研究的发展方向。
Theories of Pulse Wave in Arteries
Qiao Aike Wu Shigui
(Beijing Polytechnic University,Beijing 100022)
, http://www.100md.com
Abstract:This paper introduces the importance of studying pulse wave propagation and neviews the development process of the theories of pulse wave propagation. The main research achievements of nonlinear theories of pulse wave propagation are described,and the developing directions of studying pulse wave propagation are briefly stated.
Key words:Artery Pulse wave Nonlinear Mathematical model▲
1 脉搏波研究的意义
, 百拇医药
随着心脏的间歇性收缩和舒张,血液压力、血流速度和血流量的脉动以及血管壁的变形和振动在血管系统中的传播,统称为脉搏波或脉搏波在血管中的传统[13,14]。
脉搏波的传播特性等是与心血管系统中的力学参数变化密切相关的。大量实验和计算结果证明,在动脉血管弯曲、分叉和狭窄部位最容易引起动脉粥样硬化等心血管疾病。心血管疾病是当今发达国家死亡率占第一位的重要疾病,在我国也是死亡率最高的一类疾病,世界卫生组织已将其列为21世纪危害人类健康的头号杀手。因此,如何防治这类疾病,已成为世界各国迫切需要解决的一项重大课题。对心血管血流动力学参数进行科学合理的检测、诊断、分析,这对临床医学的发展是极有意义的。另外,中医脉象和心血管系统血液运动、血管壁运动及脉搏波的传播规律有密切的关系。因此,对脉搏波传播规律进行研究,并将其与传统中医的脉象诊断相结合,以求利用无创检测方法对人体心血管疾病进行早期的诊断治疗,这对临床医学的发展是很有价值的。
对心血管疾病的诊断治疗问题,迄今为止,国内外已开发和生产出多种仪器来帮助医生进行检测和诊断。其中脉搏波法与心血管血流动力学原理联系紧密,利用它进行多参数检测分析,很受国内外医学工程专家和科学家重视。从理论上讲,只要脉搏波和心血管血液流动规律的关系得到了很好的了解和解决,利用脉搏波方法来检测诊断人体心血管血流动力学参数是最恰当不过或者说是最好的途径,这就为研制新的医学医疗仪器提供了必要的依据和基础。因此根据脉搏波原理,建立一个科学、准确的心血管血流动力学参数无创检测新原理和新方法,并开发研制一种更先进的检测分析人体心血管系统血流动力学的多功能专家诊断系统,为广大临床医生对心血管疾病的检测、诊断、监护及确定治疗措施提供一个简捷方便和准确可靠的重要诊断手段,无疑对生物医学工程的发展具有深远的意义。
, 百拇医药
脉搏波传播问题是医学和力学的交叉学科问题,涉及到医学、生物力学、流体力学、计算流体力学和数学等多种学科知识。脉搏波传播的研究,必然会推动相关学科的进一步发展,因此具有深远的科学意义。
总而言之,研究脉搏波传播机理对以下几方面是重要的[12]:(1)从纯粹生理学的角度看,需要搞清楚正常健康人体的心血管系统中的血液流动规律;(2)从病理上而言,弄清病理过程的起源及影响,例如动脉粥样硬化的成因问题;(3)发展心血管疾病的诊断技术。设计定量的测量方法,解释测量参数,例如心音、血压、血液粘度等;(4)治疗方法、假体器官装置(如心瓣膜)的生物医学工程研究以及外科技术(例如透析机、心脏体外反搏技术、冠状动脉旁路外科手术);(5)为其他生理和病理流动的深入研究提供借鉴;(6)推动其他相关的基础学科和应用学科的发展。
动脉中的脉搏波传播的介质主要是血液和血管。血液是具有粘弹性的悬浮介质。但是,对于大动脉(直径d≥1mm)中的血液,可以近似看成为连续的、不可压缩的、均质的牛顿流体。同时,血液流动可认为是非定常的、周期性的层流运动。大动脉由内、中、外三层构成,影响血管力学行为的组元是中层的弹性蛋白、胶原和平滑肌。大量实验证明,大动脉血管具有如下一些主要的性质:可膨胀性、不可压缩性、正交性、各向异性、几何形状复杂性、非均质性、承受大变形(有限变形)、厚壁筒、非线性本构关系、应力松弛、蠕变、滞后回线(非线性粘弹性)、应力—应变关系对应变率的影响不敏感、存在残余应力和残余应变等。在脉搏波传播的研究中,要综合考虑这些因素。
, 百拇医药
2 动脉中脉搏波传播理论的发展概况
2.1 脉搏波传播速度的研究
人类认识血液流动已经有几千年的历史,然而,有关血液流动的定量分析是从18世纪开始、由于流体力学的高速发展而建立起来的。1775年,Leonard Eular首先给出了描绘不可压缩理想流体在弹性管中流动的控制方程。其中假设了血管横截面积与血管内血液压力之间的非线性关系,即所谓的Eular面积率。1809年,Thomas Young忽略了血液粘性,推导出血液流动中脉搏波的传播速度,即Young's波速。1850年,Ernst Heinrich Weber指出具有弹性的动脉的作用和与泵相连接的风箱(Windkessel)相似,这就是后来弹性腔理论的发端。1878年,Moens根据实验结果,对Young's波速作了修正。同年,Korteweg也导出了脉搏波的传播速度计算公式,该式在特殊情况下与Young's波速一致,因此Young's波速公式也就众所周知地被称为Moens-Korteweg公式。1898年,Lamb也忽略掉血液粘性、而考虑了血管壁运动,建立了血管壁运动方程,并导出了波速平方的二次特征方程式。1914年,Witzig在Lamb等人的血管壁运动方程的基础上,首先建立了包含血液粘性和血管可膨胀性在内的较完整的脉搏波传播的分析。可惜,他的成果被埋没了40年。1947年,King将血管壁与血液一起考虑、在允许壁厚可变的情况下,得出了相应的波速计算公式。
, 百拇医药
2.2 线性化脉搏波传播理论
1954年,Morgan和Kiely给出了线性流动方程及血管壁运动方程的解析解,同时引进当量厚度来考虑外周组织对血管壁运动的影响。1955~1957年,Womersley在生理上有意义的参数范围内,从线性血液流动方程、线性血管壁运动方程以及线性边界条件出发,假设动脉血管壁为薄壁,血管为均质无限长直管,血管壁材料为各向同性的线性弹性体;血管内的血液流动为充分发展的轴对称流动;特别是假设压力、流速、血管壁位移等均是一系列谐波分量组成的,这些分量均满足线性叠加原理。在此基础上,Womersley理论给出了线性化血流控制方程,并由此得出血液压力、流速、流量等的解析解。Womersley的线性化理论被推广应用于分析刚性直管、弹性直管、异径直管、局部狭窄、分叉管等情形, 并仿照电传输线理论来模拟异径管、分叉管等的脉动流。因此,Womersley的理论奠定了线性化脉搏波传播理论的基础。
其它重要的理论有:Taylor MG的电传输理论,Morgan-Kiely考虑外周组织质量的组合管模型,Jager的各向同性厚壁管模型,Mirsky各向异性厚壁管模型,Atabek各向异性薄壁管粘弹性理论,Rubinow-Keller色散理论,Cox的粘弹性壁理论,Kline的极性流体模型Hoston(1989)的拟一维线性化粘性模型等等。
, 百拇医药
在线性化脉搏波理论中,血管壁材料的线性弹性体基本力学模型有两种常用模型:各向同性虎克体、正交各向异性虎克体;血管壁材料的线性粘弹性体基本力学模型有三种常用模型:Maxwell模型、Voigt模型、Kelvin模型。线性弹性或线性粘弹性模型对血管小变形可以作较好的近似,而对于血管大变形(有限变形),则必须采用非线性模型。
现有的线性化模型不下几十种,它们大都忽略了血液控制方程中的非线性项一一对流加速度项,以及血管壁运动方程中的非线性项,而且认为血管壁经受小变形。尽管它们对小动脉中的血液流动的某些特性的描述可以很好地满足,但是对于血液流场、特别是大动脉中的流场却不能给出足够的描绘,与实际情况还存在很多的误差。这主要受到线性化理论做的假设条件所限制。因此,必须发展非线性理论来研究大动脉中的脉搏波传播问题。
2.3 非线性脉搏波传播理论
动脉中脉搏波传播的非线性效应,主要来源于五个方面:(1)血管系统几何形状及力学性质非均匀性;(2)血管材料力学性质非线性;(3)血液非牛顿性;(4)血管壁运动的非线性;(5)血液流动的非线性。
, http://www.100md.com
早期的非线性理论大致分两类:一类基于一维简化模型,另一类用扰动法解轴对称流动。Lambert、Streeter、Anliker、管原、Schraf、Rumberger、Shapiro、Gerrard和Kivity等人对此作了分析和计算。这些分析均基于一维流动方程,无法看出非线性项对速度剖面的影响。
Lighthill和Pedley[3]认为,尽管血管的力学和几何特性沿整个动脉是非均匀、非线性的,但就局部而言,线性化电传输线理论仍然可以采用,从而发展了拟线性化电传输线理论。在此基础上,建立了一维理想流体流动的非线性控制方程,并得到压力解的渐近级数表达。
1972年,Ling & Atabek[4]提出了在大动脉中要考虑血管壁的变形,并强调了血液对流加速度的重要性,特别是在估计平均流速时。Ling & Atabek的模型中包含了血管壁的非线性弹性特性及血管壁的大变形,而且特别地包含了血流运动方程中对流加速度项,它是一组高度非线性化的偏微分方程。该模型假定流动为轴对称流动,可以由局部测定的压力值、压力梯度及压力-半径关系来确定局部的速度分布和壁面剪应力。亦即局部速度分布仅由当地的压力来确定,而不受上游远端的运动过程的影响,它也不会对下游远端的流动产生影响。这就是Atabek的非线性局部流动理论。
, http://www.100md.com
Cavalcanti(1992,1995)等人[5,11]仿照Atabek的方法,也研究了非线性脉搏波在动脉中的传播。Cavalcanti等人将血管壁视为经典的Kelvin-Voigt体,其弹性特性由中间面的单一平滑肌纤维来决定,由此给出了血管壁本构方程的经验公式;并将流体轴向速度假设为级数形式,从而可以求解速度场和压力场。Cavalcanti等人利用Gear的预估-修正法,通过求解差分方程,对轴对称动脉中的脉搏波传播问题作了数值模拟,结果与线性化理论相比较,表明在运动方程中保留非线性项是非常重要的。同时,对速度分布、剪应力及随时间的变化进行了分析。另外,对轴对称动脉狭窄、锥削情况下,脉搏波的反射效应、流量、纵向阻抗等都作了分析,得到较好的结果。
在这里,特别值得一提的是,80年代初,伍时桂[15,16]、李兆治和马新胜等人对轴对称动脉中的脉搏波传播进行了深入的研究,特别地给出了动脉壁的非线性本构关系及非线性运动方程,并将血管壁运动和血液流动互相耦合,提出了一个全新的非线性脉搏波传播理论,将非线性脉搏波传播的研究推向了一个新的高度。该理论第一次将血液流动的非线性、血管壁运动的非线性、以及联系二者的非线性边界条件结合起来,能更合理地描绘动脉中脉搏波的传播特性。伍时桂等人所建立的这个非线性脉搏波传播理论包含了更多的生理和力学因素,因此,利用它不仅可以综合地研究动脉血管内压力波、血流速度波、血流量以及血管的波动和变形等等的非线性脉搏波传播问题,而且可以研究血流、血管和外周组织之间相互作用的关系。另外,根据这个非线性脉搏波理论模型,也可以借助某种适当的简化手续推导出以往许多作者所提出的各种线性化脉搏波理论模型。所以,这个理论是一个更一般的脉搏波理论模型。
, 百拇医药
伍时桂等人所发展的非线性脉搏波传播理论的基本假设如下:(1)血管壁为局部正交、各向异性、弹性、不可压缩材料;(2)血管壁厚度相对于截面尺寸为薄壁,而且血管壁是能经受大变形的轴对称旋转体;(3)血液和外周组织作用于血管壁的力只影响管壁中应力、应变的大小而不影响其正交性;(4)主动脉及其外周组织被模拟为薄壁弹性介质,而对嵌入其他组织的动脉,其外周组织则模拟为有限或无限厚度的弹性介质。应力波在此种介质内的传播随径向距离的增加而衰减;(5)重力忽略不计;(6)血液流动为充分发展的轴对称层流;(7)血液为不可压缩牛顿流体。由此建立理论模型如下:
(1)血流控制方程
其中:νz、νr分别为血流轴向和径向速度;p为压力,v为粘度。
(2)血管壁运动方程(薄壁管)
, http://www.100md.com
其中:uz、ur分别为血管壁的轴向和径向位移;Rw为血管横截面半径;h为血管的壁厚;Pw、τw为血液作用于血管内壁上的法向压应力及切向剪应力;Pt、τt为外周组织作用于血管壁的力;Sξ和Sθ为血管壁纵向应力的和周向应力。
此处,脚注w表示变量在血管内壁上的值。
想要求解血管壁运动方程,需要确定pt和τt。对于无外周组织的动脉,pt和τt容易确定。而有外周组织的动脉,伍时桂等人将血管壁和上周组织视为组合薄壁管处理,推导了包括外周组织的运动方程。这里不再赘述。
, 百拇医药
Sξ和Sθ利用血管壁本构方程来确定
(3)血管壁非线性本构方程
根据Green-Adkins理论,伍时桂推出血管壁本构方程为:
其中:S1≡Sξ,S2≡Sθ,S3≡Sη,Ej为物理应变,p′为静水压力。而且
这里R*为未变形时的血管半径。
上面系数
, 百拇医药
(4)边界条件
伍时桂等人的理论应用于均匀轴对称直动脉及锥削动脉进行数值模拟,都得到了较好的结果。
在非ZK)线性脉搏波传播理论中,常见的血管壁非线性力学模型有:
(1)Patel的增量化理论。
(2)Patel-Vaishnav的Green-St.Venant应变多项式非线性弹性理论模型。
(3)伍时桂一李兆治的应变不变量非线性弹性理论模型[17]。
(4)Fung的e指数应变能拟弹性理论。
, 百拇医药
(5)非线性粘弹性理论,如伍时桂—李兆治等人的研究[19]。
(6)包含残余应力、残余应变的非线性弹性理论。如Fung、Hayashi、李晓阳等人[20]的研究。在这些非线性理论中,非线性粘弹性理论及包含残余应力和残余应变的非线性弹性理论仅有一些初步的研究,还没有十分成熟的理论,有待进一步发展。可以说,血管壁非线性力学模型的建立,为非线性脉搏波传播的研究开拓了更广阔的前景,也提出了更高的要求。
3 动脉中非线性脉搏波传播一般理论的研究
3.1 非线性脉搏波在弯曲动脉中传播的数学模型
大量研究表明,动脉粥样硬化容易在血管的弯曲部分发生。在近端主动脉和脑循环中这个问题尤为突出。因此弯管内的血液流动是生物流体力学的一个重要问题。弯管流体力学包括管端进口流动、二次流动问题和在高雷诺数下流动分离、涡旋区形成及产生湍流的机制等。
, 百拇医药
对弯曲管内的流动问题的研究,最早可追溯到Thompson(1876)和Eustice(1910,1911)对二次流和涡旋的定性观察和实验。而Dean(1927)首先从理论上对弯管中的定常流动作了研究。此后,许多研究人员分别对弯曲刚性管流动和弹性管流动、定常流动和非定常流动、进口流动和充分发展的流动作了研究。Yao & Berger(1964)、Singh(1974)、Talbot & Gong(1982)、Soh & Berger(1984)分别对弯曲管中的进口流动作了研究。七十年代以来,弯管中的非定常流动吸引了很多人的兴趣,并以Lyne(1970)的工作为开端。Lyne在1970年分析了弯管中充分发展的振荡流,并给出极限情况——频率高、粘度小、管径大时的渐近解,发现振荡流与定常流中二次流的情况很不一样。其他重要的研究人员有:Smith(1975)、Talbot & Gong(1983)、Yearwood & Chandran(1984)、[7]Chang & Tarbell(1985,1988)、Berger(1988)、[2]Rindt(1991)、Clement、Yam & Dwyer(1993)、[6]Yutaka Komai & Kazuo Tanishita(1997)[9]等。总的来看,以上这些研究工作,大都以弯曲刚性管内的振荡流、脉动流为基础,较少考虑管本身的变形,或者认为主动脉弓的变形较小而将其忽略不计。也就是说,还没有有人真正对弯曲动脉壁的非线性本构关系在理论上给出明确、严密的表达。下面是在圆环坐标系下(图1),Yutaka Komai & Kazuo Tanishita的数学模型,其中血管壁视为刚性管,血液视为不可压缩牛顿流体,血液流动为充分发展的流动,血流控制方程为:
, 百拇医药
图1 弯曲动脉圆环坐标系
Fig 1 Toroidal coordinate system of curved arteries
其中:(u,v,w)为速变分量;α为Womersley数;Re为雷诺数,δ=a/R。
边界条件:包括壁面无滑流条件、对称面条件等。
伍时桂等人的理论应用于均匀轴对称动脉,得到了较好的结果。然而,将这样的二维的、非线性的脉搏波传播理论直接推广到三维的、弯曲动脉中的非线性脉搏波传播,还存在较大的难度。在弯曲动脉的脉搏波研究中,必须综合考虑血壁的非线性几何弯曲、血管壁的非线性力学性能、血管壁的非线性运动和血液的非线性流动等问题,而这项工作到目前为止还没有人进行过研究。我们将在以后的工作中,对弯曲动脉中的非线性脉搏波传播进行深入的研究,以期得到更大的成果。这项工作将是开创性的、具有国际领先水平的。
, http://www.100md.com
3.2 非线性脉搏波在狭窄动脉中传播的数学模型
狭窄动脉中的血液流动与动脉粥样硬化有关。动脉狭窄流动问题的研究所要解决的主要问题是弄清动脉血管组织增长的力学机制、血检形成的原因及狭窄后部扩张流动特性等。
对轴对称狭窄动脉中的脉搏波传播的研究始于60年代。主要研究者有:May(1963)、Young(1968,1973,1974)、Fung(1970)、Caro(1973)、Fry(1973)、Misra(1980~1984)[21]、Tandon(1992,1993,1995)[1]、Rappitsch & Perktold(1996)[23]等。下面是Rappitsch & Perktold(1996)的理论模型。该模型假设血管为刚性管,血液为不可压缩牛顿流体。在圆柱坐标系下(图2),血流动量方程及连续方程为:
, 百拇医药
图2 动脉动部狭窄圆柱坐标系
Fig 2 Cylindrical cordinate system of arterial stenosis
边界条件:包括进口速度条件、壁面无滑流条件、轴对称条件、出口零牵引力条件。
3.3 非线性脉搏波在分叉动脉中传播的数学模型
动脉粥样硬化与动脉分叉处的流体力学特性也有密切的关系。分叉处的壁面剪应力和压力分布、边界层分离等因素,它们当中的一个或全部都可能在动脉的硬化和退化中起重要的作用。基于这种认识,从60年代以后就有不少研究者对动脉分叉处的局部流场进行深入的研究。主要研究者有:Hung、Pedley[12]、Ku、Rindt、Perktold[2][8]等。下面是Xiaoyi He & David N.Ku(1996)[22]对左冠状动脉建立的理论模型。该模型假设血管为刚性管,血液为不可压缩牛顿流体。流体控制方程为:
, 百拇医药
其中:u和p分别为速度矢量和压力。
3.4 脉搏波传播的数值模拟方法
对刚性边界中的脉动流的数值模拟,可以采用涡量—流函数方程和原始变量方程进行计算。而对于弹性边界中脉搏波传播的数值模拟,多采用原始变量方程。为便于数值计算需将方程离散化,转化为差分格式。Xu & Collins(1995)[10]认为,对壁边界采用有限单无法(FE)、对流场计算采用有限体积法(FV),可以提高收敛速度和计算效率。也有人采用ADI方法、预估—修正法、超松弛(SOR)方法等等。实际上,采用较多的方法仍然是SIMPLE方法或者其变形形式,并且证明是行之有效的计算方法。
4 结束语
由于大动脉中的脉搏波传播问题与心血管疾病有着密切的联系,所以在今后,有关这方面的研究将一如既主地受到重视。如果某些根本问题(如生物力学实验及活体测量技术就是其中的重要内容)能得到较好的解决,那么脉搏波传播理论将得到迅速的发展。
, http://www.100md.com
由上面的分析我们可以看到,在以前的研究工作基础上,以后将主要在以下几个方面进行重点的研究:
(1)由于血管壁的本构关系是脉搏波传播理论中的关键问题,所以,抛开以前经验性和半经验性的血管壁本构方程、建立依赖于血管壁物性参数的血管壁本构方程、进而建立血管壁的动态本构方程,将是十分重要的。
(2)发展更一般化的三维非线性脉搏波传播理论,并将其用于解决具有狭窄、弯曲、分叉的动脉的脉搏波传播问题,探讨流场分布、流动分离、湍流涡旋的产生、壁面剪应力分布、流场及剪应力的变化等对动脉粥样硬化的影响机理。
(3)建立非线性脉搏波在动脉系统内传播的数学模型,用于研究脉搏波在任何动脉子系统(如主动脉—桡动脉;主动脉—颈动脉等等)内的传播特性,及研究体外反搏引起的反搏波在动脉子系统内传播的问题,解决心脏体内外反搏治疗机理,为发展更先进的治疗心脑血管疾病的体外反搏装置打下基础。
, 百拇医药
(4)研究冠状动脉循环和脑动脉循环中的脉搏波传播特性。探讨相应部位血管疾病对血管壁力学性能和脉搏波传播的影响。
(5)利用已有的脉搏波传播理论及血流动力学研究成果,结合传统中医脉象理论,建立更科学准确的心血管系统血流动力学参数无创检测和治疗方法,开发研制更先进的心脏——血管系统的血流动力学无创检测、诊断和监测系统及多功能专家诊断系统,为广大临床医生对心血管疾病的检测和治疗方法,开发研制先进的心脏-血管系统的血流动力学无创检测、诊断、监护及确定治疗措施提供简捷方便且准确有效的手段。
(6)在脉搏波传播的数值模拟方面,除探讨新的计算方法之外,还应向科学计算可视化方向发展。■
基金项目:国家自然科学基金资助项目(19872009)
参考文献:
[1]Tandn PN,Rana UVS. A new model for blood flow through an artery with axisymmetric stenosis,Int J Bio-Medical Computing,1995;38∶257
, 百拇医药
[2]Perktold K, Resch M, Peter PO.Three-dimensional numerical analysis of pulsatile flow and wall shear stress in the carotid artery bifurcation.J Biomech,1991;24∶409
[3]Hamakiotes CC, Berger SA.Fully developed pulsatile flow in a curved pipe.J Fluid Mech,1988;195∶23
[4]Ling SC, Atabek HB. A nonlinear analysis of pulsatile flow in arteries.J Fluid Mech,1972;55∶493
[5]Belardinelli E, Cavalcanti S.Theoretical analysis of pressure pulse propagation in arterial vessels.J Bimech,1992;25∶1137
, 百拇医药
[6]Yam CG, Dwyer HA.Unsteady flow in a curve pipe.Contemporary Mathematics,1993;141∶543
[7]Yearwood TL,Chandran KB. Physiological pulsatile flow experiments in a model of the human aorta arch.J Biomech,1984;5∶683
[8]Perktold K, Hibert D.Numerical simulation of pulsatile flow in a carotid bifurcation model.J Biomech Eng,1986;8∶193
[9]Yutak Komei,Kazuo Tanishita.Fully developed intermittent flow in a curved tube.J Fluid Mech,1997;347∶263
, 百拇医药
[10]Power H.Bio-Fluid Mechanics,1995∶55-93
[11]Power H.Bio-Fluid Mechanics,1995∶95-128
[12]Jaffrin MY.Caro CG.Biological Flow,1995∶31-49
[13]陶祖莱编著.生物流体力学.北京:科学出版社,1984
[14]柳兆荣编著.心血管流体力学.上海:复旦大学出版社,1986
[15]WU SG,Lee GC. Theoretical and Computational Investigations of Nonlinear Wave Propogations in Arteries(Ⅰ)——A Theoretical Model of Nonlinear Pulse Wave Propgations.Science in China,Series B,1989;32∶711
, 百拇医药
[16]Wu SC, Lee GC. Theoretical model of nonlinear wave propogations in arteries with circumferential tissues.Journal of Beijing Polytechnic Universisty,1986;12∶1
[17]Wu SG, Lee GC,Tseng NT.Nonlinear elastic analysis of blood vessels.J Biomech Engng,1984;106∶376
[18]Li XY, Wu SG et al.Theoretical and experimental study of nonlinear elasticity of arterial wall.Journal of China Biomedical Engineering,1991;10∶245
, 百拇医药
[19]Wu SG,Lee GC.On nonlinear viscoelastic properties of arterial tissue.ASME,J Biomech Engng,1984;106∶42
[20]Li X,Hayashi K.Alternate method for the analysis of residual strain in the arterial wall.Biorheology,1996;33∶439
[21]Misra JC,Chakravarty S. Flow in arteries in the presence of stenosis.J Biomech,1986;19∶907
[22]He Xiaoyi, Ku DN.Pulsatile flow in the human left coronary artery bifurcation:Average conditions.J Biomech Engng,1996;118∶74
[23]Rappitsch G,Perktold K.Pulsatile albumin transport in large arteries:a numerical simulation study.ASME,J Biomech Engng,1996,118∶511
收稿日期:1998-06-17
修改日期:1998-12-29, http://www.100md.com