模糊聚类分析99Tcm-MIBI心肌断层显像预测心肌缺血程度
作者:张祥松 唐安戊 张斌
单位:张祥松(广州,广东省人民医院核医学科 510080);唐安戊(广州,广东省人民医院核医学科 510080);张斌(广东省心血管病研究所)
关键词:
中华核医学杂志000413 核素心肌断层显像负荷试验的定性及定量分析,均将其结果分为正常或心肌缺血,并不能反映冠心病心肌缺血的严重程度。本研究采用模糊聚类分析方法,分析核素心肌断层显像运动试验阳性对预测心肌缺血程度的价值,现报道如下。
资料与方法
1. 病例资料。回顾性分析1994~1997年行运动-静息99Tcm-甲氧基异丁基异腈(MIBI)心肌断层显像拟诊为冠心病的患者66例,男39例,女27例,平均年龄(56.5±10.8)岁。入选条件:①99Tcm-MIBI心肌断层显像异常;②相隔1个月内行冠状动脉(简称冠脉)造影。
, 百拇医药
2. 检查方法。99Tcm-MIBI心肌断层显像:先作运动心肌显像,采用次极量踏车运动试验,按Bruce方案,运动至预期最大心率的85%或达到其他运动终止标准时,由静脉注入99Tcm-MIBI 740 MBq,继续运动1 min,1.5 h后行断层显像,仪器为GE Starcam 4000 SPECT仪,平行孔通用型准直器,探头旋转180°(从右前斜45°~左后斜45°),1帧/5.6°,共32帧。间隔1~2 d行静息心肌显像,方法同前。
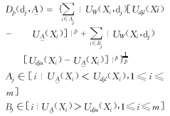
3. 模糊聚类分析。设99Tcm-MIBI心肌断层显像因素变量集X={X1,X2,X3,X4,X5},X1为运动高峰时达到次极量预计心率的百分比,X2为运动高峰时与静息时收缩压之差,X3为心肌缺血严重程度积分,即运动显像靶心图缺血区各像素低于正常值的总标准差值数/缺血区总像素数,X4为心肌显像缺损分数,即运动显像靶心图缺血区面积与左心室心肌总面积百分比,X5为缺血再分布率,即静息显像时放射性填充像素数/运动显像缺血区总像素数。
, http://www.100md.com
设冠心病心肌缺血的模糊集合
为各因素变量Xi模糊集合的A~隶属度,UA~(Xi)∈[0,1],根据文献资料和临床经验,建立核素心肌断层显像运动试验各因素变量Xi对模糊集合的隶属关系。将99Tcm-MIBI心肌断层显像异常结果分为轻度(d1)、中度(d2)、重度(d3)心肌缺血,根据文献资料和临床经验,建立各因素变量对轻度(d1)、中度(d2)、重度(d3)心肌缺血隶属度范围的原型。
采用U型权重分析方法[1],分别请10位心血管和核医学专家填写因素评判表,确定各因素变量对冠心病心肌缺血严重程度(dj)的权重。
按欧氏距离(参数p=2)公式[2]计算患者核素心肌显像运动试验各因素变量的模糊集合A~与心肌缺血严重程度原型(dj)间的贴近度,根据择近原则,确定核素心肌显像运动试验心肌缺血异常程度的诊断。
, http://www.100md.com
其中,UW(Xi,dj)为各因素变量(Xi)对冠心病心肌缺血严重程度(dj)的权重,Udjl(Xi)为各因素变量(Xi)对冠心病心肌缺血严重程度(dj)诊断原型的隶属度范围下限,Udju(Xi)为其上限,m为因素变量数。
4. 冠脉造影结果分析。冠脉造影管腔狭窄≥50%为病变血管,根据病变血管情况分为左主干、单支、双支、3支病变;采用Gensini积分系统[3],对每支血管病变程度进行定量评定。
结果与讨论
66例冠心病患者异常99Tcm-MIBI心肌断层显像模糊聚类分析及冠脉造影结果见表1,经方差分析q检验,模糊聚类分析预测的心肌缺血程度轻度与中度、轻度与重度及中度与重度组间冠脉病变Gensini积分差异均有显著性(q值分别为4.02、27.19、13.14,P<0.01)。
, 百拇医药
表1 心肌断层显像模糊聚类分析及冠脉造影结果对比 心肌缺血程度
轻度(25例)
中度(19例)
重度(22例)
冠脉病变积分
10.25±8.64
46.38±20.41
88.57±46.17
冠脉病变情况
单支
19(76%)
, http://www.100md.com 10(53%)
3(14%)
多支
0
9(46%)
18(82%)
左主干
0
0
1(4%)
最大狭窄程度
≥90%
0
, 百拇医药
8(42%)
21(95.5%)
50%~90%
19(76%)
11(58%)
1(4.5%)
<50%
6(24%)
0
0
模糊数学是将二值逻辑{0,1}推广至可取[0,1]闭区间任意值的无穷多个值的连续逻辑,更适于分析研究具有不确定性及分级倾向的诊断试验结果[4]。心肌影像本身和定量分析各变量均具有轻度~重度异常的分级倾向,冠心病严重程度也是由轻到重的连续变化过程,而且,受空间分辨率等因素的影响,心肌影像带有一定的模糊性。
, 百拇医药
采用模糊聚类分析方法可将核素心肌断层显像异常结果分为轻、中、重度,通过与冠脉造影结果对照分析,表明本方法能很好地反映冠脉病变程度。其最大优点是结合多个变量进行分析,而且将运动试验血流动力学变化也作为考察指标,通过隶属度的梯度变化反映各变量异常的严重程度。因此,基于二值逻辑的分析方法往往忽略的正常或轻度异常的变量也能对模糊聚类分析的最后结果提供有用的信息;且通过数学定量的方法,可避免核医学医师阅片时根据经验对每个变量综合判断的主观片面性。
冠脉造影是诊断冠心病的金标准,但为有创性检查方法。采用模糊聚类法分析心肌显像对临床诊疗计划的制订具有指导作用。本研究中6例核素心肌断层显像假阳性者,模糊聚类分析结果均为轻度异常,可能为由组织衰减、移动伪影等导致假阳性的因素一般不会同时影响所有的参考变量。本研究结果提示,采用模糊聚类分析方法可减少核素心肌显像假阳性结果。 参 考 文 献
1,魏曼莎, 梅素强, 邵玮艳. 卫生模糊评判的U型权重分析. 数理医药学杂志, 1996, 9:373-375.
2,汪培庄, 主编. 模糊集合论及其应用. 上海: 上海科学技术出版社, 1983. 92.
3,Gensini CG. A more meaningful scoring system for determining the severity of coronary heart disease. Am J Cardiol, 1983, 51:606-607.
4,粟载福, 谢正祥, 郭必贵, 等. 模糊数学与医学. 重庆: 科学技术文献出版社重庆分社, 1989. 21.
(收稿日期:1999-08-15), 百拇医药
单位:张祥松(广州,广东省人民医院核医学科 510080);唐安戊(广州,广东省人民医院核医学科 510080);张斌(广东省心血管病研究所)
关键词:
中华核医学杂志000413 核素心肌断层显像负荷试验的定性及定量分析,均将其结果分为正常或心肌缺血,并不能反映冠心病心肌缺血的严重程度。本研究采用模糊聚类分析方法,分析核素心肌断层显像运动试验阳性对预测心肌缺血程度的价值,现报道如下。
资料与方法
1. 病例资料。回顾性分析1994~1997年行运动-静息99Tcm-甲氧基异丁基异腈(MIBI)心肌断层显像拟诊为冠心病的患者66例,男39例,女27例,平均年龄(56.5±10.8)岁。入选条件:①99Tcm-MIBI心肌断层显像异常;②相隔1个月内行冠状动脉(简称冠脉)造影。
, 百拇医药
2. 检查方法。99Tcm-MIBI心肌断层显像:先作运动心肌显像,采用次极量踏车运动试验,按Bruce方案,运动至预期最大心率的85%或达到其他运动终止标准时,由静脉注入99Tcm-MIBI 740 MBq,继续运动1 min,1.5 h后行断层显像,仪器为GE Starcam 4000 SPECT仪,平行孔通用型准直器,探头旋转180°(从右前斜45°~左后斜45°),1帧/5.6°,共32帧。间隔1~2 d行静息心肌显像,方法同前。
3. 模糊聚类分析。设99Tcm-MIBI心肌断层显像因素变量集X={X1,X2,X3,X4,X5},X1为运动高峰时达到次极量预计心率的百分比,X2为运动高峰时与静息时收缩压之差,X3为心肌缺血严重程度积分,即运动显像靶心图缺血区各像素低于正常值的总标准差值数/缺血区总像素数,X4为心肌显像缺损分数,即运动显像靶心图缺血区面积与左心室心肌总面积百分比,X5为缺血再分布率,即静息显像时放射性填充像素数/运动显像缺血区总像素数。
, http://www.100md.com
设冠心病心肌缺血的模糊集合
, http://www.100md.com
其中,UW(Xi,dj)为各因素变量(Xi)对冠心病心肌缺血严重程度(dj)的权重,Udjl(Xi)为各因素变量(Xi)对冠心病心肌缺血严重程度(dj)诊断原型的隶属度范围下限,Udju(Xi)为其上限,m为因素变量数。
4. 冠脉造影结果分析。冠脉造影管腔狭窄≥50%为病变血管,根据病变血管情况分为左主干、单支、双支、3支病变;采用Gensini积分系统[3],对每支血管病变程度进行定量评定。
结果与讨论
66例冠心病患者异常99Tcm-MIBI心肌断层显像模糊聚类分析及冠脉造影结果见表1,经方差分析q检验,模糊聚类分析预测的心肌缺血程度轻度与中度、轻度与重度及中度与重度组间冠脉病变Gensini积分差异均有显著性(q值分别为4.02、27.19、13.14,P<0.01)。
, 百拇医药
表1 心肌断层显像模糊聚类分析及冠脉造影结果对比 心肌缺血程度
轻度(25例)
中度(19例)
重度(22例)
冠脉病变积分
10.25±8.64
46.38±20.41
88.57±46.17
冠脉病变情况
单支
19(76%)
, http://www.100md.com 10(53%)
3(14%)
多支
0
9(46%)
18(82%)
左主干
0
0
1(4%)
最大狭窄程度
≥90%
0
, 百拇医药
8(42%)
21(95.5%)
50%~90%
19(76%)
11(58%)
1(4.5%)
<50%
6(24%)
0
0
模糊数学是将二值逻辑{0,1}推广至可取[0,1]闭区间任意值的无穷多个值的连续逻辑,更适于分析研究具有不确定性及分级倾向的诊断试验结果[4]。心肌影像本身和定量分析各变量均具有轻度~重度异常的分级倾向,冠心病严重程度也是由轻到重的连续变化过程,而且,受空间分辨率等因素的影响,心肌影像带有一定的模糊性。
, 百拇医药
采用模糊聚类分析方法可将核素心肌断层显像异常结果分为轻、中、重度,通过与冠脉造影结果对照分析,表明本方法能很好地反映冠脉病变程度。其最大优点是结合多个变量进行分析,而且将运动试验血流动力学变化也作为考察指标,通过隶属度的梯度变化反映各变量异常的严重程度。因此,基于二值逻辑的分析方法往往忽略的正常或轻度异常的变量也能对模糊聚类分析的最后结果提供有用的信息;且通过数学定量的方法,可避免核医学医师阅片时根据经验对每个变量综合判断的主观片面性。
冠脉造影是诊断冠心病的金标准,但为有创性检查方法。采用模糊聚类法分析心肌显像对临床诊疗计划的制订具有指导作用。本研究中6例核素心肌断层显像假阳性者,模糊聚类分析结果均为轻度异常,可能为由组织衰减、移动伪影等导致假阳性的因素一般不会同时影响所有的参考变量。本研究结果提示,采用模糊聚类分析方法可减少核素心肌显像假阳性结果。 参 考 文 献
1,魏曼莎, 梅素强, 邵玮艳. 卫生模糊评判的U型权重分析. 数理医药学杂志, 1996, 9:373-375.
2,汪培庄, 主编. 模糊集合论及其应用. 上海: 上海科学技术出版社, 1983. 92.
3,Gensini CG. A more meaningful scoring system for determining the severity of coronary heart disease. Am J Cardiol, 1983, 51:606-607.
4,粟载福, 谢正祥, 郭必贵, 等. 模糊数学与医学. 重庆: 科学技术文献出版社重庆分社, 1989. 21.
(收稿日期:1999-08-15), 百拇医药