单克隆抗体HIM82对人中性粒细胞钙离子和蛋白激酶及酪氨酸激酶信息途径的降调节作用
作者:法祥光 姜新 卢士红 杨琳
单位:300020 天津,中国医学科学院中国协和医科大学血液学研究所
关键词:呼吸爆发;蛋白激酶C;蛋白质酪氨酸激酶
中华医学杂志990821 【摘要】 目的 研究单克隆抗体(单抗)HIM82对中性粒细胞(Np)呼吸爆发产生的活性氧物质(ROS)的调控作用,并探索HIM82对该调控作用相关联的信息传递途径的影响。方法 比较对照组与实验组(单抗结合组)在趋化物激活后,ROS水平、对G蛋白抑制的影响、胞内[Ca2+]水平、蛋白激酶C(PKC)、酪氨酸激酶(PTK)活性的差异而判别该单抗对ROS及有关信息途径的影响。结果 HIM82与Np结合的阳性率达95%以上(对照组为0),以30μg/ml HIM82作用Np再以佛波酯激活则对产生的O2-、H2O2分别下调55% (P<0.01)和32%(P<0.01),对趋化三肽(FMLP)、P物质激活Np产生的H2O2分别下调16% (P<0.01)和37%( P<0.01)。HIM82的同系单抗HIM70对上述活化Np产生的O2-、H2O2也有相似的降调节作用。用参比法观察HIM82对G蛋白活性影响的实验中,发现G蛋白抑制剂百日咳毒素(PT)对FMLP激发生成的H2O2抑制率为42%,HIM82对H2O2的抑制率为60%。PT与HIM82两者同时作用时则对H2O2的抑制率为85%,表明HIM82对PT抑制G蛋白有叠加作用。HIM82对胞内[Ca2+]水平有明显降调节作用,对FMLP激活的Np的[Ca2+]水平可下降85%,对PMA激活的Np的[Ca2+]则几乎完全抑制。PMA激活Np时,HIM82对PKC、PTK活性可分别下调23%(P<0.05)和35%(P<0.05)。结论 HIM82对Np呼吸爆发产生的ROS有明显的降调节作用,并阐明了降调节的主要机理与HIM82抑制了从G蛋白始动的、NADPH氧化酶上游的Ca2+,PKC,PTK等趋化信息途径有关。
, 百拇医药
Down - regulation effect of McAb HIM82 on Ca2+,protein kinasec,protein tyrosine kinase signal pathway of neutrophils
FA Xiangguang JIANG Xin,LU Shihong et al.
(Institute of Hematology,CAMS and PUMC,Tianjin 300020)
【Abstract】 Objectives To study the control effects of HIM82 and HIM70 on reactive oxygen species (ROS) released from respiratory burst of neutrophils (Np),and the action of HIM82 on relevant signal transduction pathway.Methods The experimental group (combining with McAb) was compared with the control group with regard to the ROS level,activity of G protein,intracellular [Ca2+] level,the activities of PKC and PTK in activated Np to interpret the mechanism by which the McAb down-regulated the respiratory burst.Results The positive rate of Np combined with HIM82 was shown over 95% using indirect immunofluorescence assay (control group was 0).The generation of superoxide anion and hydrogen peroxide from PMA-treated Np were decreased by 55%(P<0.01) and 32%(P<0.01)with 30 μg/ml HIM82.The amount of H2O2 produced in FMLP or SP-stimulated Np were decreased by 16%(P<0.01) and 37%(P<0.01) respectively.A similar effect of HIM70 on Np was observed.Further more,the inhibition of H2O2 in FMLP-activated Np affected by PT,a specific inhibitor for G-protein,and in HIM82 was 42% and 60% separately,and that with both PT and HIM82 was 85%.It was suggested that HIM82 could enhance the inhibition effect of PT on G-protein.The intracellular [Ca2+] level of Np stimulated with FMLP was decreased by 85%,and that of Np activated with PMA by 100% nearly in the present of HIM82.The activities of PKC and PTK in PMA-stimulated Np were decreased by 23%(P<0.05) and 35%(P<0.05) separately when treated with HIM82.Conclusion The McAb HIM82 could down- regulate the ROS produced from activated Np.The mechanism of decreasing ROS may be involved in down- regulating Ca2+-PKC and PTK signal transduction pathway activities that are upstream control systems for NADPH oxidase activation.
, http://www.100md.com
【Key words】 Respiratory burst Protein kinases C Protein-tyrosin kinase
呼吸爆发(respiratory burst)作用是中性粒细胞(Np)等吞噬细胞产生活性氧物质(reactive oxygen species,ROS)、杀死细菌等病原体的关键环节[1]。ROS包括O2-、H2O2、OCl-、OH-等多种活性氧物质。由Np激活后通过呼吸爆发作用产生O2-后进一步衍生而成,其总水平常以产生的O2-、H2O2表示。ROS虽是氧化杀菌的主要武器,但过量分泌到细胞外也可造成周围细胞及组织损伤,成为大部分炎症和缺血再灌注损伤性疾病的主因[2],因而是利害并重的一把“双刃剑”[3]。因此,如何调节Np活化程度使产生的ROS处在一合理水平上,使之既保持杀菌功能又使氧化损伤减至最低限度是当前吞噬生化和自由基生物学领域中亟待解决的重要问题。最近,我们发现了我所免疫室研制的单克隆抗体(单抗)HIM82可明显降调节由佛波酯激活Np所产生的ROS[4],并进一步发现了同系单抗HIM70也有此功能,而且对多种因子激活的Np产生的ROS均有降调节功能。在此基础上对此降调节作用的机理及对有关信息传递途径的影响作了探索。
, http://www.100md.com
材料与方法
1.试剂:PMA、氮蓝四唑(NBT)、辣根过氧化物酶(POD)、趋化三肽(FMLP)皆为美国Sigma产品。P物质为杭州商学院产品。高香草酸(HVA)为德国MERCK产品。百日咳毒素(pertussis toxin,PT)、蛋白激酶C测定试剂盒及酪氨酸蛋白激酶测定试剂盒皆为美国GIBCOBRL公司产品。Fluo-3 AM,为瑞士Fluka产品。淋巴细胞分离液,上海试剂二厂产品,右旋糖苷(MW>20万)本所产品。单体HIM82、HIM70为本所免疫室(缩写为HIM)用KGLA和脐血单个核细胞为免疫原新制备的髓系单抗,HIM70已为第五届国际人类白细胞分化抗原大会确认为抗CD15单抗[5]。
2.Np分离:按文献[4]进行,可得活度和纯度均在98%以上的Np,产率为2×106细胞/ml全血。
, 百拇医药
3.单抗结合反应及Np激活:单抗HIM82(30μg/ml)与8×106/ml Np于37℃共温10分钟,即结合于Np。有无单抗结合的Np与PMA(200 μg/ml),在37℃共温30分钟或与FMLP(10-6 mol/L)共温20分钟或与P物质(10-5 mol/L)共温10分钟,激发其呼吸爆发,使之产生O2-及H2O2。
4.O2-、H2O2测定: O2-测定将采用NBT法[6],H2O2测定采用高香草酸(HVA)荧光分光光度法测定[7]。
5.HIM82对G蛋白的抑制试验:以G蛋白专一性抑制剂百日咳毒素(PT)抑制Np产生ROS(H2O2)为参照试验,观察Np结合HIM82后对PT抑制G蛋白效应的正、负影响,进而判别HIM82对G蛋白活化的拮抗作用或是协同作用(PMA不通过趋化性受体-G蛋白偶联途径而直接与胞内受体PKC结合),与HIM82结合或不结合的Np与200 ng/ml PT在37℃反应30分钟,接着与FMLP共温20分钟以激活Np,然后测定H2O2生成量。并设单纯HIM82、单纯PT作用的Np为对照组,并分别与HIM82-FMLP、PT-FMLP组比较而判别结果。
, http://www.100md.com
6.胞内[Ca2+]浓度测定:以Fluo-3 AM特异性探剂[8],测定胞内[Ca2+]浓度瞬间变化,Ca2+]相对浓度以[Ca2+]与Fluo-3 AM结合后测得的荧光强度表示。Np用HEPES缓冲液(145 mmol/L NaCl,5 mmol/L KCl,1 mmol/L MgCl2,10 mmol/L HEPES pH7.4,10 mmol/L葡萄糖)配成2×107/ml Np细胞悬液,然后与4 μmol/ml Fluo-3 AM在37℃共温30分钟,使Fluo-3 AM进入胞内与[Ca2+]结合,离心(1000 r/min)5分钟、洗去残留的Fluo-3 AM。实验设对照组和单抗组。对照组:Fluo-3 AM标记的Np只以PMA或FMLP激活。单抗组:Fluo-3 AM标记的Np先与单抗HIM82结合,然后用PMA或FMLP刺激细胞。分别在λex=506 nm,λem=526 nm处测定两组在60秒内的荧光强度,并用荧光强度变化曲线表示胞内[Ca2+]浓度的变化,然后根据有无单抗结合的细胞在PMA、FMLP激活时引起[Ca2+]浓度瞬间变化的差异从而判别HIM82对胞内[Ca2+]变化的影响。
, 百拇医药
7.PKC活性测定:以Ac-MBP(4-14)(含丝氨酸的多肽)为PKC特异性底物[9]。假阳性底物抑制剂为PKC(19-36)。PKC活性通过测定32P标记的ATP转移到Ac-MBP(4-14)后引起的放射强度增加而判别。PKC活性测定程序如下:有、无单抗作用的Np经PMA激活后配成2×107/ml细胞悬液,超声法破碎细胞,离心去除未破碎细胞,得到含PKC的胞溶物。反应体系中含30 μl胞溶物、7.4×103[γ-32P]-ATP、50 μmol/ml AC-MBP、20 μmol/ml ATP、1 mmol/L CaCl2、20 mmol/L MgCl2、20 mmol/L Tris,pH 7.5,于30℃反应10分钟,取25 μl反应混合液加于磷酸纤维膜上,使反应物与之结合并漂洗掉残余的[γ-32P]-ATP。液闪法测定转移到底物Ac-MBP(4-14)上[γ-32 P]-ATP的放射性强度。PKC活性以测得放射强度表示。根据测得有无HIM82结合、经PMA激活的Np的PKC活性的差异判别HIM82对PKC活性的影响。
, 百拇医药
8.PTK活性的测定: 以RR-SRC(含酪氨酸的多肽)为PTK特异性底物,PTK活性以测得[γ-32P]-ATP转移到RR-SRC上的放射强度而获得。胞溶物制备同PKC测定之相应操作。反应体系包括:测定液中含有30μl胞溶物、3.7×104 Bq [γ-32P]-ATP、0.25 mmol/L RR-SRC、60μmol/L ATP、10 mmol/L MgCl2、0.1 mmol/L DTT、3 mmol/L HEPES (pH 7.4)、20 μmol/L EDTA、体积分数为0.15%的 Nonidet P-40(乙基苯基聚乙二醇)、70 μmol/L原钒酸钠。于30℃反应30分钟,三氯乙酸终止反应,离心沉淀蛋白,取20μl上清液滴于醋酸纤维素纸上,经漂洗后液闪法计数,PTK活性以相对放射强度(RI)表示。
9.统计学处理: 本结果以对照组所测值作100%,用对照组的相对百分值表示。差异显著性检验采用t检验,所有数据均以均值±标准差表示。
, 百拇医药
结果
一、 单抗HIM82、HIM70对趋化物激活Np呼吸爆发的影响
Np经PMA激活后O2-可达(198±34)%,经单抗作用后则为(144±28)%,下调55%(P<0.01)(图1)。Np经PMA、FMLP、P物质激活后的H2O2见图2。若Np先与单抗HIM82结合后再与此三种激活剂反应则相应H2O2水平均明显下调,分别为(446±213)%(下降32%,P<0.01),(116±67)%(下降16%,P<0.01)和(78±3)%(下降37%,P<0.01),充分表明HIM82对PMA、FMLP和P物质激活Np呼吸爆发作用产生的ROS有明显的降调节作用。HIM82的同系单抗HIM70是否也有相似作用,同时观察了该单抗对Np被PMA、FMLP激活后产生O2-和H2O2的影响,若以未激活时Np的O2-水平为100计,则经PMA、FMLP激活分别增至(190±28)%(1.9倍)和(228±22)%(2.3倍)。经单抗作用后则可降至(136±30)%(下降28%,P<0.01)、(157±28)%(下降31%,P<0.01)。
, http://www.100md.com
图1 单抗HIM82对Np O2-的降调节作用
图2 单抗HIM82对Np H2O2的降调节作用
单抗HIM70对H2O2的影响也有相似下调的作用。分别可使PMA、FMLP激活时的(297±96)%和(126±25)%下调至(212±76)%(下降28%,P<0.01)和(120±24)%(下降6%,P<0.01)。
二、 HIM82对G蛋白活性的影响
单纯HIM82和PT对FMLP激活G蛋白后激发Np产生H2O2皆有抑制作用(图3),使H2O2水平(荧光强度I表示)从激活时的(138±85)%被分别下调为(116±56)%(P<0.01)和(74±46)%(P<0.01)。但当HIM82和PT同时与Np作用后则可使H2O2下调为(19±3)%(P<0.01)。
, http://www.100md.com
图3 单抗HIM82对G蛋白的抑制作用
三、 HIM82对Np胞内 Ca2+浓度的影响
对照组中经FMLP刺激后[Ca2+]浓度在10秒内增高73个荧光单位,然后在10秒内恢复至基线附近,具有典型的第二信使特有的触发脉冲(图4上)。实验组显示单抗与Np结合后经FMLP刺激,在10秒内增高约10个荧光单位。仅为对照组的1/7,表明该单抗对FMLP激活的Np的胞内[Ca2+]浓度有明显的降调节作用。对照组经PMA刺激后[Ca2+]浓度在18秒内增高13个荧光单位,而Np与单抗结合的实验组则仅轻微增高,为对照组的15%(图4下)。
图4 单抗HIM82对胞内[Ca2+]浓度的影响
, 百拇医药
四、单抗HIM82对Np PKC活性的影响
被PMA激活时的PKC活性为(63±38)%经HIM82作用后再以PMA激活的Np的PKC活性则为(50±34)%。与单纯PMA激活时相比,单抗作用的Np其PKC活性下降了22.10%(P<0.05)。这表明HIM82对活化Np的PKC活性有明显的降调节作用(图5)。
图5 单抗HIM82对Np PKC活性的影响
五、单抗HIM82对Np的PTK活性的影响
经PMA激活后Np的PTK活性为(143±35)%,比空白细胞(活性为100)增高了44%(图6),而经HIM82作用后再激活,则PTK活性下降为(90±42)%,比单纯PMA激活下降了36%(P<0.05),表明HIM82对PMA激活的PTK水平也有明显的降调节作用。
, 百拇医药
图6 单抗HIM82对Np PTK活性的影响
讨论
结果表明,髓系单抗HIM82、HIM70对PMA、FMLP、P物质等多种炎性因子激活Np呼吸爆发产生的ROS皆有明显的降调节作用。现已证实趋化性受体(Ctx.R)-G蛋白偶联引发的趋化信息传递至少包括Ca2+-PKC、非受体型PTK、SerK家族系统、Ras-MAPK系统和PI-3K系统四条途径[10],引起Np产生一系列活化反应,包括细胞骨架调整、膜皱折、NADPH氧化酶激活、吞噬作用及胞饮作用等。其中[Ca2+]-PKC、PTK是NADPH氧化酶激活的上游信息系统是调节NADPH氧化酶组装的主要系统[10]。已有充分证据证明[Ca2+]是激发和调节呼吸爆发的关键信号[11]。Forman等[12]证明Ca2+既参与过氧化物的生成又参与其生成终止的调节。PKC的激活依赖于胞内Ca2+浓度的增高。众所周知,NADPH氧化酶是Np等吞噬细胞产生ROS的“心脏”。NADPH氧化酶活化是通过Np激活时NADPH的胞浆组份(P47,P67和Rac)和质膜组份(P22,gP91和Rap)互相结合、组装成完整的NADPH氧化酶分子实现的[13]。结果证实HIM82对G蛋白活性、Ca2+]瞬间浓度、PKC、PTK活性均有抑制作用,表明HIM82对Np呼吸爆发的降调节作用可能与其降调节由G蛋白始动的Ca2+-PKC途径及PTK信息途径有关,从而降调节了受激Np的NADPH氧化酶的活化水平,进而降调节了ROS水平。这可能是HIM82降调节作用机理的重要方面。PI3K系统也是近年来新发现的对NADPH氧化酶活化调节的重要分子,推测HIM82可能对其也有影响,值得进一步研究。
, 百拇医药
鉴于HIM82有明显降调节Np产生的ROS但不全部抑制生成ROS,因而符合既使Np保持杀菌的防御功能又减少ROS组织损伤、达到存其利杜其害的目的,有可能成为调控炎症进程的有效手段,使从免疫学的角度控制炎症成为可能。
本课题为国家自然科学基金资助项目(39470273)
参考文献
1 Boxer GJ,Curnutt JT,Boxer LA.Polymorphonuclear leukocyte function.Hosp Pract,1985,15:69.
2 Joseph CF,Peter AW.Polymorphonuclear leukocyte-mediated cell and tissue injury: oxygen metabolites and their relations to human disease.Hum Pathol,1985,16:973.
, 百拇医药
3 John AS.Neutrophils,host defense,and inflammation: a double-edged sword.J Leu Biol,1994,56:672.
4 姜新,法祥光,卢士红.单克隆抗体HIM82/70对中性粒细胞呼吸爆发的降调节作用.中国医学科学院学报,1997,19:247-251.
5 Ball ED.M5 CD15 cluster workshop report.In: Schlossman SF.Leukocyte Typing Ⅴ.Volume one Oxford: Oxford University Press,1995.790-794.
6 Sangeetha P,Das UN,Roratkar R,et al.Increase in free radical generation and lipid peroxidation following chemotherapy in patients with cancer.Free Radic Biol Med,1990,8:15-24.
, http://www.100md.com
7 卢士红,姜新,法祥光.荧光分光光度法测定中性粒细胞H2O2水平及意义.中华血液学杂志,1996,17: 265.
8 Kao JPY.Detection of photochemically generated calcium pulses.J Biol Chem,1989,264:8179.
9 Yasuda I,Kishimoto A,Tanaka S,et al.A synthetic peptide substrate for selective assay of protein kinasec.Biochem Biophys Res Commun,1990.166: 1220-1227.
10 Gay MB.Chemoattractant signaling and leukocyte activation.Blood,1995,86: 1649-1660.
, http://www.100md.com
11 Holian A,Daniele RP.The role of calcium in the initiation of superoxide release from alveolar macrophages.J Cell Physiol,1982,113: 87-93.
12 Forman HJ,Nelson J.Effect of extracellular calcium on superoxide released by the alveolar macrophages.J Appl Physiol,1983,54:1249-1253.
13 Mark T,Quin N.Low-molecular-weight GTP-binding proteins and leukocyte signal transduction.J Biol,1995,58:263-276.
14 汪策,周宝宏.蛋白激酶C的分子异质性.化学与生物物理进展,1990,17: 184-188.
(收稿:1998-09-16 修回:1999-04-26), http://www.100md.com
单位:300020 天津,中国医学科学院中国协和医科大学血液学研究所
关键词:呼吸爆发;蛋白激酶C;蛋白质酪氨酸激酶
中华医学杂志990821 【摘要】 目的 研究单克隆抗体(单抗)HIM82对中性粒细胞(Np)呼吸爆发产生的活性氧物质(ROS)的调控作用,并探索HIM82对该调控作用相关联的信息传递途径的影响。方法 比较对照组与实验组(单抗结合组)在趋化物激活后,ROS水平、对G蛋白抑制的影响、胞内[Ca2+]水平、蛋白激酶C(PKC)、酪氨酸激酶(PTK)活性的差异而判别该单抗对ROS及有关信息途径的影响。结果 HIM82与Np结合的阳性率达95%以上(对照组为0),以30μg/ml HIM82作用Np再以佛波酯激活则对产生的O2-、H2O2分别下调55% (P<0.01)和32%(P<0.01),对趋化三肽(FMLP)、P物质激活Np产生的H2O2分别下调16% (P<0.01)和37%( P<0.01)。HIM82的同系单抗HIM70对上述活化Np产生的O2-、H2O2也有相似的降调节作用。用参比法观察HIM82对G蛋白活性影响的实验中,发现G蛋白抑制剂百日咳毒素(PT)对FMLP激发生成的H2O2抑制率为42%,HIM82对H2O2的抑制率为60%。PT与HIM82两者同时作用时则对H2O2的抑制率为85%,表明HIM82对PT抑制G蛋白有叠加作用。HIM82对胞内[Ca2+]水平有明显降调节作用,对FMLP激活的Np的[Ca2+]水平可下降85%,对PMA激活的Np的[Ca2+]则几乎完全抑制。PMA激活Np时,HIM82对PKC、PTK活性可分别下调23%(P<0.05)和35%(P<0.05)。结论 HIM82对Np呼吸爆发产生的ROS有明显的降调节作用,并阐明了降调节的主要机理与HIM82抑制了从G蛋白始动的、NADPH氧化酶上游的Ca2+,PKC,PTK等趋化信息途径有关。
, 百拇医药
Down - regulation effect of McAb HIM82 on Ca2+,protein kinasec,protein tyrosine kinase signal pathway of neutrophils
FA Xiangguang JIANG Xin,LU Shihong et al.
(Institute of Hematology,CAMS and PUMC,Tianjin 300020)
【Abstract】 Objectives To study the control effects of HIM82 and HIM70 on reactive oxygen species (ROS) released from respiratory burst of neutrophils (Np),and the action of HIM82 on relevant signal transduction pathway.Methods The experimental group (combining with McAb) was compared with the control group with regard to the ROS level,activity of G protein,intracellular [Ca2+] level,the activities of PKC and PTK in activated Np to interpret the mechanism by which the McAb down-regulated the respiratory burst.Results The positive rate of Np combined with HIM82 was shown over 95% using indirect immunofluorescence assay (control group was 0).The generation of superoxide anion and hydrogen peroxide from PMA-treated Np were decreased by 55%(P<0.01) and 32%(P<0.01)with 30 μg/ml HIM82.The amount of H2O2 produced in FMLP or SP-stimulated Np were decreased by 16%(P<0.01) and 37%(P<0.01) respectively.A similar effect of HIM70 on Np was observed.Further more,the inhibition of H2O2 in FMLP-activated Np affected by PT,a specific inhibitor for G-protein,and in HIM82 was 42% and 60% separately,and that with both PT and HIM82 was 85%.It was suggested that HIM82 could enhance the inhibition effect of PT on G-protein.The intracellular [Ca2+] level of Np stimulated with FMLP was decreased by 85%,and that of Np activated with PMA by 100% nearly in the present of HIM82.The activities of PKC and PTK in PMA-stimulated Np were decreased by 23%(P<0.05) and 35%(P<0.05) separately when treated with HIM82.Conclusion The McAb HIM82 could down- regulate the ROS produced from activated Np.The mechanism of decreasing ROS may be involved in down- regulating Ca2+-PKC and PTK signal transduction pathway activities that are upstream control systems for NADPH oxidase activation.
, http://www.100md.com
【Key words】 Respiratory burst Protein kinases C Protein-tyrosin kinase
呼吸爆发(respiratory burst)作用是中性粒细胞(Np)等吞噬细胞产生活性氧物质(reactive oxygen species,ROS)、杀死细菌等病原体的关键环节[1]。ROS包括O2-、H2O2、OCl-、OH-等多种活性氧物质。由Np激活后通过呼吸爆发作用产生O2-后进一步衍生而成,其总水平常以产生的O2-、H2O2表示。ROS虽是氧化杀菌的主要武器,但过量分泌到细胞外也可造成周围细胞及组织损伤,成为大部分炎症和缺血再灌注损伤性疾病的主因[2],因而是利害并重的一把“双刃剑”[3]。因此,如何调节Np活化程度使产生的ROS处在一合理水平上,使之既保持杀菌功能又使氧化损伤减至最低限度是当前吞噬生化和自由基生物学领域中亟待解决的重要问题。最近,我们发现了我所免疫室研制的单克隆抗体(单抗)HIM82可明显降调节由佛波酯激活Np所产生的ROS[4],并进一步发现了同系单抗HIM70也有此功能,而且对多种因子激活的Np产生的ROS均有降调节功能。在此基础上对此降调节作用的机理及对有关信息传递途径的影响作了探索。
, http://www.100md.com
材料与方法
1.试剂:PMA、氮蓝四唑(NBT)、辣根过氧化物酶(POD)、趋化三肽(FMLP)皆为美国Sigma产品。P物质为杭州商学院产品。高香草酸(HVA)为德国MERCK产品。百日咳毒素(pertussis toxin,PT)、蛋白激酶C测定试剂盒及酪氨酸蛋白激酶测定试剂盒皆为美国GIBCOBRL公司产品。Fluo-3 AM,为瑞士Fluka产品。淋巴细胞分离液,上海试剂二厂产品,右旋糖苷(MW>20万)本所产品。单体HIM82、HIM70为本所免疫室(缩写为HIM)用KGLA和脐血单个核细胞为免疫原新制备的髓系单抗,HIM70已为第五届国际人类白细胞分化抗原大会确认为抗CD15单抗[5]。
2.Np分离:按文献[4]进行,可得活度和纯度均在98%以上的Np,产率为2×106细胞/ml全血。
, 百拇医药
3.单抗结合反应及Np激活:单抗HIM82(30μg/ml)与8×106/ml Np于37℃共温10分钟,即结合于Np。有无单抗结合的Np与PMA(200 μg/ml),在37℃共温30分钟或与FMLP(10-6 mol/L)共温20分钟或与P物质(10-5 mol/L)共温10分钟,激发其呼吸爆发,使之产生O2-及H2O2。
4.O2-、H2O2测定: O2-测定将采用NBT法[6],H2O2测定采用高香草酸(HVA)荧光分光光度法测定[7]。
5.HIM82对G蛋白的抑制试验:以G蛋白专一性抑制剂百日咳毒素(PT)抑制Np产生ROS(H2O2)为参照试验,观察Np结合HIM82后对PT抑制G蛋白效应的正、负影响,进而判别HIM82对G蛋白活化的拮抗作用或是协同作用(PMA不通过趋化性受体-G蛋白偶联途径而直接与胞内受体PKC结合),与HIM82结合或不结合的Np与200 ng/ml PT在37℃反应30分钟,接着与FMLP共温20分钟以激活Np,然后测定H2O2生成量。并设单纯HIM82、单纯PT作用的Np为对照组,并分别与HIM82-FMLP、PT-FMLP组比较而判别结果。
, http://www.100md.com
6.胞内[Ca2+]浓度测定:以Fluo-3 AM特异性探剂[8],测定胞内[Ca2+]浓度瞬间变化,Ca2+]相对浓度以[Ca2+]与Fluo-3 AM结合后测得的荧光强度表示。Np用HEPES缓冲液(145 mmol/L NaCl,5 mmol/L KCl,1 mmol/L MgCl2,10 mmol/L HEPES pH7.4,10 mmol/L葡萄糖)配成2×107/ml Np细胞悬液,然后与4 μmol/ml Fluo-3 AM在37℃共温30分钟,使Fluo-3 AM进入胞内与[Ca2+]结合,离心(1000 r/min)5分钟、洗去残留的Fluo-3 AM。实验设对照组和单抗组。对照组:Fluo-3 AM标记的Np只以PMA或FMLP激活。单抗组:Fluo-3 AM标记的Np先与单抗HIM82结合,然后用PMA或FMLP刺激细胞。分别在λex=506 nm,λem=526 nm处测定两组在60秒内的荧光强度,并用荧光强度变化曲线表示胞内[Ca2+]浓度的变化,然后根据有无单抗结合的细胞在PMA、FMLP激活时引起[Ca2+]浓度瞬间变化的差异从而判别HIM82对胞内[Ca2+]变化的影响。
, 百拇医药
7.PKC活性测定:以Ac-MBP(4-14)(含丝氨酸的多肽)为PKC特异性底物[9]。假阳性底物抑制剂为PKC(19-36)。PKC活性通过测定32P标记的ATP转移到Ac-MBP(4-14)后引起的放射强度增加而判别。PKC活性测定程序如下:有、无单抗作用的Np经PMA激活后配成2×107/ml细胞悬液,超声法破碎细胞,离心去除未破碎细胞,得到含PKC的胞溶物。反应体系中含30 μl胞溶物、7.4×103[γ-32P]-ATP、50 μmol/ml AC-MBP、20 μmol/ml ATP、1 mmol/L CaCl2、20 mmol/L MgCl2、20 mmol/L Tris,pH 7.5,于30℃反应10分钟,取25 μl反应混合液加于磷酸纤维膜上,使反应物与之结合并漂洗掉残余的[γ-32P]-ATP。液闪法测定转移到底物Ac-MBP(4-14)上[γ-32 P]-ATP的放射性强度。PKC活性以测得放射强度表示。根据测得有无HIM82结合、经PMA激活的Np的PKC活性的差异判别HIM82对PKC活性的影响。
, 百拇医药
8.PTK活性的测定: 以RR-SRC(含酪氨酸的多肽)为PTK特异性底物,PTK活性以测得[γ-32P]-ATP转移到RR-SRC上的放射强度而获得。胞溶物制备同PKC测定之相应操作。反应体系包括:测定液中含有30μl胞溶物、3.7×104 Bq [γ-32P]-ATP、0.25 mmol/L RR-SRC、60μmol/L ATP、10 mmol/L MgCl2、0.1 mmol/L DTT、3 mmol/L HEPES (pH 7.4)、20 μmol/L EDTA、体积分数为0.15%的 Nonidet P-40(乙基苯基聚乙二醇)、70 μmol/L原钒酸钠。于30℃反应30分钟,三氯乙酸终止反应,离心沉淀蛋白,取20μl上清液滴于醋酸纤维素纸上,经漂洗后液闪法计数,PTK活性以相对放射强度(RI)表示。
9.统计学处理: 本结果以对照组所测值作100%,用对照组的相对百分值表示。差异显著性检验采用t检验,所有数据均以均值±标准差表示。
, 百拇医药
结果
一、 单抗HIM82、HIM70对趋化物激活Np呼吸爆发的影响
Np经PMA激活后O2-可达(198±34)%,经单抗作用后则为(144±28)%,下调55%(P<0.01)(图1)。Np经PMA、FMLP、P物质激活后的H2O2见图2。若Np先与单抗HIM82结合后再与此三种激活剂反应则相应H2O2水平均明显下调,分别为(446±213)%(下降32%,P<0.01),(116±67)%(下降16%,P<0.01)和(78±3)%(下降37%,P<0.01),充分表明HIM82对PMA、FMLP和P物质激活Np呼吸爆发作用产生的ROS有明显的降调节作用。HIM82的同系单抗HIM70是否也有相似作用,同时观察了该单抗对Np被PMA、FMLP激活后产生O2-和H2O2的影响,若以未激活时Np的O2-水平为100计,则经PMA、FMLP激活分别增至(190±28)%(1.9倍)和(228±22)%(2.3倍)。经单抗作用后则可降至(136±30)%(下降28%,P<0.01)、(157±28)%(下降31%,P<0.01)。
, http://www.100md.com
图1 单抗HIM82对Np O2-的降调节作用
图2 单抗HIM82对Np H2O2的降调节作用
单抗HIM70对H2O2的影响也有相似下调的作用。分别可使PMA、FMLP激活时的(297±96)%和(126±25)%下调至(212±76)%(下降28%,P<0.01)和(120±24)%(下降6%,P<0.01)。
二、 HIM82对G蛋白活性的影响
单纯HIM82和PT对FMLP激活G蛋白后激发Np产生H2O2皆有抑制作用(图3),使H2O2水平(荧光强度I表示)从激活时的(138±85)%被分别下调为(116±56)%(P<0.01)和(74±46)%(P<0.01)。但当HIM82和PT同时与Np作用后则可使H2O2下调为(19±3)%(P<0.01)。
, http://www.100md.com
图3 单抗HIM82对G蛋白的抑制作用
三、 HIM82对Np胞内 Ca2+浓度的影响
对照组中经FMLP刺激后[Ca2+]浓度在10秒内增高73个荧光单位,然后在10秒内恢复至基线附近,具有典型的第二信使特有的触发脉冲(图4上)。实验组显示单抗与Np结合后经FMLP刺激,在10秒内增高约10个荧光单位。仅为对照组的1/7,表明该单抗对FMLP激活的Np的胞内[Ca2+]浓度有明显的降调节作用。对照组经PMA刺激后[Ca2+]浓度在18秒内增高13个荧光单位,而Np与单抗结合的实验组则仅轻微增高,为对照组的15%(图4下)。
图4 单抗HIM82对胞内[Ca2+]浓度的影响
, 百拇医药
四、单抗HIM82对Np PKC活性的影响
被PMA激活时的PKC活性为(63±38)%经HIM82作用后再以PMA激活的Np的PKC活性则为(50±34)%。与单纯PMA激活时相比,单抗作用的Np其PKC活性下降了22.10%(P<0.05)。这表明HIM82对活化Np的PKC活性有明显的降调节作用(图5)。
图5 单抗HIM82对Np PKC活性的影响
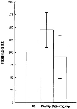
五、单抗HIM82对Np的PTK活性的影响
经PMA激活后Np的PTK活性为(143±35)%,比空白细胞(活性为100)增高了44%(图6),而经HIM82作用后再激活,则PTK活性下降为(90±42)%,比单纯PMA激活下降了36%(P<0.05),表明HIM82对PMA激活的PTK水平也有明显的降调节作用。
, 百拇医药
图6 单抗HIM82对Np PTK活性的影响
讨论
结果表明,髓系单抗HIM82、HIM70对PMA、FMLP、P物质等多种炎性因子激活Np呼吸爆发产生的ROS皆有明显的降调节作用。现已证实趋化性受体(Ctx.R)-G蛋白偶联引发的趋化信息传递至少包括Ca2+-PKC、非受体型PTK、SerK家族系统、Ras-MAPK系统和PI-3K系统四条途径[10],引起Np产生一系列活化反应,包括细胞骨架调整、膜皱折、NADPH氧化酶激活、吞噬作用及胞饮作用等。其中[Ca2+]-PKC、PTK是NADPH氧化酶激活的上游信息系统是调节NADPH氧化酶组装的主要系统[10]。已有充分证据证明[Ca2+]是激发和调节呼吸爆发的关键信号[11]。Forman等[12]证明Ca2+既参与过氧化物的生成又参与其生成终止的调节。PKC的激活依赖于胞内Ca2+浓度的增高。众所周知,NADPH氧化酶是Np等吞噬细胞产生ROS的“心脏”。NADPH氧化酶活化是通过Np激活时NADPH的胞浆组份(P47,P67和Rac)和质膜组份(P22,gP91和Rap)互相结合、组装成完整的NADPH氧化酶分子实现的[13]。结果证实HIM82对G蛋白活性、Ca2+]瞬间浓度、PKC、PTK活性均有抑制作用,表明HIM82对Np呼吸爆发的降调节作用可能与其降调节由G蛋白始动的Ca2+-PKC途径及PTK信息途径有关,从而降调节了受激Np的NADPH氧化酶的活化水平,进而降调节了ROS水平。这可能是HIM82降调节作用机理的重要方面。PI3K系统也是近年来新发现的对NADPH氧化酶活化调节的重要分子,推测HIM82可能对其也有影响,值得进一步研究。
, 百拇医药
鉴于HIM82有明显降调节Np产生的ROS但不全部抑制生成ROS,因而符合既使Np保持杀菌的防御功能又减少ROS组织损伤、达到存其利杜其害的目的,有可能成为调控炎症进程的有效手段,使从免疫学的角度控制炎症成为可能。
本课题为国家自然科学基金资助项目(39470273)
参考文献
1 Boxer GJ,Curnutt JT,Boxer LA.Polymorphonuclear leukocyte function.Hosp Pract,1985,15:69.
2 Joseph CF,Peter AW.Polymorphonuclear leukocyte-mediated cell and tissue injury: oxygen metabolites and their relations to human disease.Hum Pathol,1985,16:973.
, 百拇医药
3 John AS.Neutrophils,host defense,and inflammation: a double-edged sword.J Leu Biol,1994,56:672.
4 姜新,法祥光,卢士红.单克隆抗体HIM82/70对中性粒细胞呼吸爆发的降调节作用.中国医学科学院学报,1997,19:247-251.
5 Ball ED.M5 CD15 cluster workshop report.In: Schlossman SF.Leukocyte Typing Ⅴ.Volume one Oxford: Oxford University Press,1995.790-794.
6 Sangeetha P,Das UN,Roratkar R,et al.Increase in free radical generation and lipid peroxidation following chemotherapy in patients with cancer.Free Radic Biol Med,1990,8:15-24.
, http://www.100md.com
7 卢士红,姜新,法祥光.荧光分光光度法测定中性粒细胞H2O2水平及意义.中华血液学杂志,1996,17: 265.
8 Kao JPY.Detection of photochemically generated calcium pulses.J Biol Chem,1989,264:8179.
9 Yasuda I,Kishimoto A,Tanaka S,et al.A synthetic peptide substrate for selective assay of protein kinasec.Biochem Biophys Res Commun,1990.166: 1220-1227.
10 Gay MB.Chemoattractant signaling and leukocyte activation.Blood,1995,86: 1649-1660.
, http://www.100md.com
11 Holian A,Daniele RP.The role of calcium in the initiation of superoxide release from alveolar macrophages.J Cell Physiol,1982,113: 87-93.
12 Forman HJ,Nelson J.Effect of extracellular calcium on superoxide released by the alveolar macrophages.J Appl Physiol,1983,54:1249-1253.
13 Mark T,Quin N.Low-molecular-weight GTP-binding proteins and leukocyte signal transduction.J Biol,1995,58:263-276.
14 汪策,周宝宏.蛋白激酶C的分子异质性.化学与生物物理进展,1990,17: 184-188.
(收稿:1998-09-16 修回:1999-04-26), http://www.100md.com