吡咯里嗪化合物的药用研究概况
作者:颜文革 张守芳
单位:颜文革(现址:中国医学科学院中国协和医科大学药物研究所合成室,北京 100050);张守芳(沈阳药科大学基础部,沈阳 110015)
关键词:吡咯里嗪;生物碱;1H-2,3-二氢-1-吡咯里嗪酮;抗炎;镇痛
中国药物化学杂志000122 摘 要:初步阐明了吡咯里西啶生物碱的药理作用,对吡咯里嗪及其衍生物以及1H-2,3-二氢-1-吡咯里嗪酮及其衍生物的药用研究进行了综述.指出了以2,3-二氢-1-吡咯里嗪或2,3-二氢-1-吡咯里嗪酮作为先导物进行结构修饰与优化、寻找新药的可能性.
1 吡咯里西啶生物碱及其构效关系
吡咯里嗪(pyrrolizine,1)为双吡咯分子的稠杂环化合物,该类骨架结构最早发现于吡咯里西啶生物碱分子中,为其全氢或部分氢化的吡咯里西啶(pyrrolizidine,2)类结构.
, 百拇医药
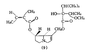
吡咯里西啶类生物碱主要是指吡咯里西啶醇的羧酸酯类化合物〔1〕,目前已发现200多种,主要分布在紫草科、菊科的千里光属和豆科的野百合属等植物中.从化学结构上看,吡咯里西啶醇酯有两种,一种为开链酯,如大叶千里光碱(3),另一种为吡咯里西啶二醇和二元酸形成的环酯,如野百合碱(4).这类生物碱多数具有较强的生理活性,包括抗肿瘤、抗炎、解热、镇痛及作用于平滑肌等.如阔叶千里光碱(5)具有平滑肌解痉作用,前苏联在临床上用于肠绞痛、支气管哮喘、痉挛性结肠炎等〔2〕;瓜叶菊碱A(6)及瓜叶菊碱B(7)有阿托品样作用〔3〕;大多数千里光碱(8)有兴奋子宫作用〔4〕;毛果天芥菜碱(9)有抗癌作用〔5〕.尽管吡咯里西啶类生物碱具有这些有益的生理活性,但是许多此类生物碱具有抑制细胞有丝分裂、引起致突和癌变、造成肝肾损伤等强烈的毒性,所以人们更多的是把此类生物碱看成毒品.因此,要想通过此类生物碱及其母体结构吡咯里西啶的衍生物来开展药用研究,关键是减少它的毒副作用.
, 百拇医药
1962年Culvenor〔6〕通过比较此类生物碱的结构发现,在有毒的生物碱的吡咯里西啶环上都有一个双键,形成一个烯丙醇酯结构,如化合物(4),(9)和(10),无此烯丙醇酯结构的化合物则低毒或无毒,如化合物(11)~(14).
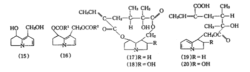
1968年Mattocks〔7〕指出,具有此烯丙醇酯结构的吡咯里西啶生物碱,能够在体内代谢成具有反应活性的烃化剂,和细胞中的亲核部位发生反应引起细胞毒性.随后,Mattocks〔8〕和Culvenor〔9〕等对大鼠的肝和尿中的吡咯里西啶生物碱的代谢物进行了研究,结果发现这些代谢产物都具有二氢吡咯里嗪环结构,有毒的生物碱在体内代谢物的结构多为(15),(16),它们是具有高度反应活性的烃化剂;而低毒或无毒的生物碱如(17),(18)不能作为烃化剂,则在体内代谢为无毒产物(19),(20).



, http://www.100md.com
代谢物(16)是一个比较活泼的酯、具有烯丙醇酯结构,容易发生烃氧断裂,从而能够与体内的亲核基团X-和Y-结合,发生烃化反应,产生毒性〔7〕.
化合物(19)和(20)由于没有烯丙醇酯结构,不易发生烃氧断裂,所以不能作为烃化剂而产生毒性.吡咯里西啶类生物碱具有多种生理活性,大部分在体内代谢为含有二氢吡咯里嗪结构的化合物,自20世纪70年代中期以来,对二氢吡咯里嗪类化合物的药用开发研究逐渐活跃起来.
2 吡咯里嗪类化合物的药用研究概况
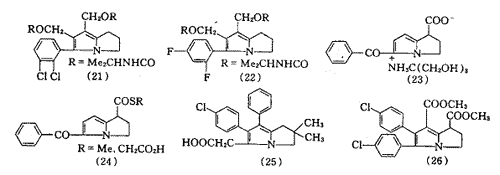
早在1964年,Schweizer〔10〕首先以2-甲酰基吡咯和溴化乙烯基三苯基磷为原料合成1H-吡咯里嗪.随后的三十多年中人们又采用其他方法合成了多种该类化合物的衍生物.1976年,Gupta等〔11〕合成了一系列具有局部麻醉作用的六氢吡咯里嗪衍生物.1977年,Anderson等〔12,13〕合成了一系列具有抗癌作用的二氢吡咯里嗪衍生物.化合物(21)具有抗热血动物坚硬的乳腺癌或结肠癌活性,对结肠癌38或26有特效.化合物(22)在16倍最小活性剂量时,对抗P388型淋巴细胞白血病有显著的生物活性.尤其值得提及的是Muckowski等〔14〕合成了一系列具有较强抗炎镇痛作用的二氢吡咯里嗪-1-羧酸类衍生物,发现5-苯甲酰基-1H-2,3-二氢-1-吡咯里嗪甲酸(酮咯酸)为一非麻醉性兼有抗炎作用的强镇痛剂,1989年已在美国上市.酮咯酸氨丁三醇(23)是一种能阻止前列腺素生物合成的镇痛剂,在人或动物体内有很高的生物利用度,10 mg剂量的该化合物与10 mg吗啡对手术疼痛的止痛效果无显著性差异〔15〕.化合物(24)是抗炎镇痛的前药,能减轻胃肠道刺激.Dannhardt等〔16,17〕合成了一系列具有抗炎作用的6,7-双芳基-1H-2,3-二氢吡咯里嗪-5-乙酸衍生物及6,7-双芳基-1H-2,3-二氢-1-吡咯里嗪酮.Laufer等〔18,19〕对6,7-双芳基-1H-2,3-二氢吡咯里嗪-5-乙酸衍生物进行了药理筛选,发现2,2-二甲基-6-(4-氯苯基)-苯基-1H-2,3-二氢吡咯里嗪-5-乙酸(ML3000,25)具有显著的镇痛、抗炎、解热作用,IC50值为0.21 μmol/L(CO),0.18 μmol/L(5-LO),在100 mg/kg剂量下不会导致胃溃疡,是一新结构类型的强效CO/5-LO双重抑制剂.化合物(26)是镇痛、抗炎、血小板聚集抑制剂,不致胃溃疡.
, 百拇医药
由此可见,吡咯里嗪类化合物在新药开发上是一个相当活跃的研究领域.
3 1H-2,3-二氢-1-吡咯里嗪酮类化合物的生物活性
随着对吡咯里嗪类化合物的深入研究,1H-2,3-二氢-1-吡咯里嗪酮(简称吡里酮,27)及其衍生物也越来越引起人们的重视.吡里酮具有二氢吡咯里嗪的基本结构特征.Clemo等〔20〕于1931年首次合成了吡里酮,Vincenzo等于1961年合成了一系列吡咯里嗪酮衍生物,其中包括2,3-二苯基吡里酮.Josey等〔21〕合成了3-甲基吡里酮及3-吡里酮乙酸;1966年,Meinwald〔22〕报道从蝴蝶的分泌物中分离鉴定了7-甲基吡里酮并合成了该化合物;Leo〔23,24〕曾报道强效镇痛药酮咯酸氨丁三醇(23)在加热状态下或在光照下迅速分解为四种产物,其中之一为5-苯甲酰基吡里酮;1980年,Mokoni等〔25〕报道2-取代苯甲叉基吡里酮具有一定的抗血小板聚集活性;1986年,Dannhardt〔17〕合成了6,7-双苯基-1-吡咯里嗪酮,并报道该类化合物具有抗炎作用.张守芳等〔26〕研究发现吡里酮衍生物有较强的抗炎镇痛作用,其中化合物5-(4-氯苯甲酰基)吡里酮(简称氯苯酰酮,28)在多种小鼠镇痛模型实验中,100 mg/kg剂量口服给药,镇痛作用为扑热息痛的3倍,解热作用与扑热息痛相近,并且在实验条件下不引起胃肠道溃疡.化合物2-(4-甲基苯胺甲基)吡里酮(Z-47,29)和5-(4-甲基苯胺甲基)吡里酮(Z-53,30)也具有显著的抗炎镇痛作用.化合物Z-47是一个高效低毒的抗炎镇痛剂,在多种抗炎镇痛动物模型实验中,都显示了良好的抗炎镇痛作用,如用小鼠醋酸扭体法进行镇痛作用实验,口服给药200 mg/kg,镇痛作用明显强于布洛芬(200 mg/kg),更有意义的是该化合物毒性低,小鼠口服LD50为(3 044±1 027) mg/kg,且不引起胃溃疡.
, 百拇医药
由引可见,吡里酮衍生物是一类很有药用研究前途的化合物.在这一领域继续探索,将为寻找新型非甾体抗炎镇痛药打下基础.
综上所述,吡咯里嗪化合物在新药开发上是一相当活跃的研究领域.以2,3-二氢-1-吡咯里嗪或2,3-二氢-1-吡咯里嗪酮为先导物进行结构修饰和优化,无论在新药开发上还是化学研究上都具有理论和实际意义.相信随着研究的深入,在这一领域可能继续发现新的抗炎镇痛或抗癌药物.■
参考文献:
[1]Kochetkov NK,Likhosherstov AM.Advances in pyrrol-izidine chemistry.In:Katritzky AR,Boulton AJ,ed.Advances in Heterocyclic Chemistry.Vol 5.New York:Academic Press,965.315
, http://www.100md.com
[2]林启寿.中草药成分化学.第一版.北京:科学出版社,1977.691
[3]朱元龙,朱任宏.双稠吡咯啶生物碱的研究Ⅱ.瓜叶菊的生物碱.药学学报,1964,11(3):168~173
[4]De Waal HL,Wiechers A,Warren FL.The Senecio Alkaloids.Part XV.The structure of sceleranecic and sceleratinic acids and sceleratine.J Chem Soc,1963,953~956
[5]Gourley JM,Heacock RA,McInnes AG, et al.Structure of Ipalbine,a new hexahydroindolizine alkaloid isolated from Ipomoea alba,J Chem Soc,1969,(5):709~710
, http://www.100md.com
[6]Culvenor CCJ, Dann AT, Dick AT. Alkylation as the
mechanism by which the hepatotoxic pyrrolizidine alkaloids act on cell nuclei.Nature,1962,195(4841):570~573
[7]Mattocks AR.Toxicity of pyrrolizidine alkaloids.Nature,1968,217(5130):723~728
[8]Mattocks AK,White INH.Pyrrolic metabolites from non-toxic pyrrolizidine alkaloids.Nature New Biology,1971,231(5298):114~115
, http://www.100md.com
[9]Culvenor CCJ, Edgar JA, Smith LW, et al. Active
metabolityes in the chronic hepatotoxicity pyrrolizidine alkaloids,including otonecine esters.Nature New Biology,1971,229(5282):255~256
[10]Schweizer EE,Light KK.Reactions of phosphorus compounds. Ⅳ.Preparation of 3H-pyrrolizine,1,2-dihydro-3H-pyrrolizine,and pyrrolizidine.J Am Chem Soc,1964,86(14):2963
[11]Gupta OP,Ali MM,Ghatak BJ Ray,et al.Local anesthetic action of some semisynthetic pyrrolizidine ester and their structure activity relationships.Indian J Exp Biol,1976,14(1):34~37
, http://www.100md.com
[12]Anderson WK,Corey PF. Synthesis and antileukemic
activity of 5-substituted 2,3-dihydro-6,7-bis(hydroxymethyl)-1H-pyrrolizine diesters.J Med Chem,1977,20(6):812~818
[13]Anderson WK,McPherson Jr HL.Synthesis and antileukemic activity of fluorinated analogues of 2,3-dihydro-5-phenyl-6,7-bis(hydroxymethyl)-1H-pyrroli-zine biscarbamate.J Med Chem,1982,25(1):84~86
[14]Muckowski JM,Kluge AF.5-(2-Furoyl)-5(2-thenoyl)-5-(3-furoyl)-and 5-(thenoyl)-1,2-dihydro-3H-pyrrolo(1,2-a)pyrrole-1-carboxylic acid derivatives.Ger Offen 2731662.1978-01-19
, 百拇医药
[15]HJ Mcquay MD,Patsy Poppleton SRN,Dawn Carroll SRN,et al.Ketorolac and acetaminophen for orthopedic postoperative pain.Clin Pharmaco Ther,1986,39(1):89~93
[16]Dannhardt G,Steindl L.Anti-inflammatory 2,3-dihydro-1H-pyrrolizines.Ⅷ.Synthesis and decarboxylation of 6,7-diary1-2,3-dihydro-1H-pyrrolizin-5-yl-acetic acid.Arch Pharm(Weinheim),1986,319(4):354~360
[17]Dannhardt G,Steindl L.Anti-inflammatory 2,3-dihydro-1H-pyrrolizines.Ⅹ.6,7-diary substituted 1-and 3-pyrrolizinones.(1-DAPON and 3-DAPON).Arch Pharm(Weinheim),1986,319(8):749~755
, http://www.100md.com
[18]Laufer S,Augustin J,Dannhardt G,et al.(6,7-Diaryl dihydro-pyrrolizine-5-yl)acetic acids ,a novel class of potent dual inhibitors of both cycloxygenase and 5-lipoxygenase.J Med Chem,1994,37(12):1894~1897
[19]Laufer S,Tries S,Augustin J,et al.Pharmacological profile of a new pyrrolizine derivative inhibiting the enzymes cyclooxygenase and 5-lipoxygenase.Arzneim-Forsch,1994,44(5):629~636
[20]Clemo GR,Ramage GR.New derivatives of pyrrole.Part Ⅰ.The synthesis of 3-keto-4∶5-dihydrodi-(1∶2)-pyrrole and of 8-keto-5∶6∶7∶8-tetrahydropyrrocoline.J Chem Soc,1931,49~55
, 百拇医药
[21]Josey AD,Jenner EL.N-functionally substituted pyr-roles.J Org Chem,1962,27(7):2466~2470
[22]Meinwald J,Meinwald YC,Wheeler JW, et al.Major components in the exocrine secreton of a male butterfly(lycorea).Science,1966,151(3710):583~585
[23]Leo G,Hishi C,Allyn B.Kinetics and mechanisms of the autoxidation of ketorolac tromethamine in aqueous solution.Int J Pharm,1988,41(1-2):95~104
[24]Leo G,Hishi C,David J.Light degradation of Ketorolac tromethamine.Int J Pharm,1988,41(1-2):105~113
[25]Mokoni SHS,Sugden JK.Some pyrrolidine and pyrroli-zine derivatives as inhibitors of blood platelet aggregation.Arzneim-Forsch,1980,30(7):1135~1137
[26]张守芳,高文方,郑红,等.3H-1,2-二氢-1-吡里酮衍生物的合成.药学学报,1988,23(1):28~33
收稿日期:1999-06-24
, 百拇医药
单位:颜文革(现址:中国医学科学院中国协和医科大学药物研究所合成室,北京 100050);张守芳(沈阳药科大学基础部,沈阳 110015)
关键词:吡咯里嗪;生物碱;1H-2,3-二氢-1-吡咯里嗪酮;抗炎;镇痛
中国药物化学杂志000122 摘 要:初步阐明了吡咯里西啶生物碱的药理作用,对吡咯里嗪及其衍生物以及1H-2,3-二氢-1-吡咯里嗪酮及其衍生物的药用研究进行了综述.指出了以2,3-二氢-1-吡咯里嗪或2,3-二氢-1-吡咯里嗪酮作为先导物进行结构修饰与优化、寻找新药的可能性.
1 吡咯里西啶生物碱及其构效关系
吡咯里嗪(pyrrolizine,1)为双吡咯分子的稠杂环化合物,该类骨架结构最早发现于吡咯里西啶生物碱分子中,为其全氢或部分氢化的吡咯里西啶(pyrrolizidine,2)类结构.
, 百拇医药
吡咯里西啶类生物碱主要是指吡咯里西啶醇的羧酸酯类化合物〔1〕,目前已发现200多种,主要分布在紫草科、菊科的千里光属和豆科的野百合属等植物中.从化学结构上看,吡咯里西啶醇酯有两种,一种为开链酯,如大叶千里光碱(3),另一种为吡咯里西啶二醇和二元酸形成的环酯,如野百合碱(4).这类生物碱多数具有较强的生理活性,包括抗肿瘤、抗炎、解热、镇痛及作用于平滑肌等.如阔叶千里光碱(5)具有平滑肌解痉作用,前苏联在临床上用于肠绞痛、支气管哮喘、痉挛性结肠炎等〔2〕;瓜叶菊碱A(6)及瓜叶菊碱B(7)有阿托品样作用〔3〕;大多数千里光碱(8)有兴奋子宫作用〔4〕;毛果天芥菜碱(9)有抗癌作用〔5〕.尽管吡咯里西啶类生物碱具有这些有益的生理活性,但是许多此类生物碱具有抑制细胞有丝分裂、引起致突和癌变、造成肝肾损伤等强烈的毒性,所以人们更多的是把此类生物碱看成毒品.因此,要想通过此类生物碱及其母体结构吡咯里西啶的衍生物来开展药用研究,关键是减少它的毒副作用.
, 百拇医药
1962年Culvenor〔6〕通过比较此类生物碱的结构发现,在有毒的生物碱的吡咯里西啶环上都有一个双键,形成一个烯丙醇酯结构,如化合物(4),(9)和(10),无此烯丙醇酯结构的化合物则低毒或无毒,如化合物(11)~(14).
1968年Mattocks〔7〕指出,具有此烯丙醇酯结构的吡咯里西啶生物碱,能够在体内代谢成具有反应活性的烃化剂,和细胞中的亲核部位发生反应引起细胞毒性.随后,Mattocks〔8〕和Culvenor〔9〕等对大鼠的肝和尿中的吡咯里西啶生物碱的代谢物进行了研究,结果发现这些代谢产物都具有二氢吡咯里嗪环结构,有毒的生物碱在体内代谢物的结构多为(15),(16),它们是具有高度反应活性的烃化剂;而低毒或无毒的生物碱如(17),(18)不能作为烃化剂,则在体内代谢为无毒产物(19),(20).
, http://www.100md.com
代谢物(16)是一个比较活泼的酯、具有烯丙醇酯结构,容易发生烃氧断裂,从而能够与体内的亲核基团X-和Y-结合,发生烃化反应,产生毒性〔7〕.
化合物(19)和(20)由于没有烯丙醇酯结构,不易发生烃氧断裂,所以不能作为烃化剂而产生毒性.吡咯里西啶类生物碱具有多种生理活性,大部分在体内代谢为含有二氢吡咯里嗪结构的化合物,自20世纪70年代中期以来,对二氢吡咯里嗪类化合物的药用开发研究逐渐活跃起来.
2 吡咯里嗪类化合物的药用研究概况
早在1964年,Schweizer〔10〕首先以2-甲酰基吡咯和溴化乙烯基三苯基磷为原料合成1H-吡咯里嗪.随后的三十多年中人们又采用其他方法合成了多种该类化合物的衍生物.1976年,Gupta等〔11〕合成了一系列具有局部麻醉作用的六氢吡咯里嗪衍生物.1977年,Anderson等〔12,13〕合成了一系列具有抗癌作用的二氢吡咯里嗪衍生物.化合物(21)具有抗热血动物坚硬的乳腺癌或结肠癌活性,对结肠癌38或26有特效.化合物(22)在16倍最小活性剂量时,对抗P388型淋巴细胞白血病有显著的生物活性.尤其值得提及的是Muckowski等〔14〕合成了一系列具有较强抗炎镇痛作用的二氢吡咯里嗪-1-羧酸类衍生物,发现5-苯甲酰基-1H-2,3-二氢-1-吡咯里嗪甲酸(酮咯酸)为一非麻醉性兼有抗炎作用的强镇痛剂,1989年已在美国上市.酮咯酸氨丁三醇(23)是一种能阻止前列腺素生物合成的镇痛剂,在人或动物体内有很高的生物利用度,10 mg剂量的该化合物与10 mg吗啡对手术疼痛的止痛效果无显著性差异〔15〕.化合物(24)是抗炎镇痛的前药,能减轻胃肠道刺激.Dannhardt等〔16,17〕合成了一系列具有抗炎作用的6,7-双芳基-1H-2,3-二氢吡咯里嗪-5-乙酸衍生物及6,7-双芳基-1H-2,3-二氢-1-吡咯里嗪酮.Laufer等〔18,19〕对6,7-双芳基-1H-2,3-二氢吡咯里嗪-5-乙酸衍生物进行了药理筛选,发现2,2-二甲基-6-(4-氯苯基)-苯基-1H-2,3-二氢吡咯里嗪-5-乙酸(ML3000,25)具有显著的镇痛、抗炎、解热作用,IC50值为0.21 μmol/L(CO),0.18 μmol/L(5-LO),在100 mg/kg剂量下不会导致胃溃疡,是一新结构类型的强效CO/5-LO双重抑制剂.化合物(26)是镇痛、抗炎、血小板聚集抑制剂,不致胃溃疡.
, 百拇医药
由此可见,吡咯里嗪类化合物在新药开发上是一个相当活跃的研究领域.
3 1H-2,3-二氢-1-吡咯里嗪酮类化合物的生物活性
随着对吡咯里嗪类化合物的深入研究,1H-2,3-二氢-1-吡咯里嗪酮(简称吡里酮,27)及其衍生物也越来越引起人们的重视.吡里酮具有二氢吡咯里嗪的基本结构特征.Clemo等〔20〕于1931年首次合成了吡里酮,Vincenzo等于1961年合成了一系列吡咯里嗪酮衍生物,其中包括2,3-二苯基吡里酮.Josey等〔21〕合成了3-甲基吡里酮及3-吡里酮乙酸;1966年,Meinwald〔22〕报道从蝴蝶的分泌物中分离鉴定了7-甲基吡里酮并合成了该化合物;Leo〔23,24〕曾报道强效镇痛药酮咯酸氨丁三醇(23)在加热状态下或在光照下迅速分解为四种产物,其中之一为5-苯甲酰基吡里酮;1980年,Mokoni等〔25〕报道2-取代苯甲叉基吡里酮具有一定的抗血小板聚集活性;1986年,Dannhardt〔17〕合成了6,7-双苯基-1-吡咯里嗪酮,并报道该类化合物具有抗炎作用.张守芳等〔26〕研究发现吡里酮衍生物有较强的抗炎镇痛作用,其中化合物5-(4-氯苯甲酰基)吡里酮(简称氯苯酰酮,28)在多种小鼠镇痛模型实验中,100 mg/kg剂量口服给药,镇痛作用为扑热息痛的3倍,解热作用与扑热息痛相近,并且在实验条件下不引起胃肠道溃疡.化合物2-(4-甲基苯胺甲基)吡里酮(Z-47,29)和5-(4-甲基苯胺甲基)吡里酮(Z-53,30)也具有显著的抗炎镇痛作用.化合物Z-47是一个高效低毒的抗炎镇痛剂,在多种抗炎镇痛动物模型实验中,都显示了良好的抗炎镇痛作用,如用小鼠醋酸扭体法进行镇痛作用实验,口服给药200 mg/kg,镇痛作用明显强于布洛芬(200 mg/kg),更有意义的是该化合物毒性低,小鼠口服LD50为(3 044±1 027) mg/kg,且不引起胃溃疡.
, 百拇医药
由引可见,吡里酮衍生物是一类很有药用研究前途的化合物.在这一领域继续探索,将为寻找新型非甾体抗炎镇痛药打下基础.
综上所述,吡咯里嗪化合物在新药开发上是一相当活跃的研究领域.以2,3-二氢-1-吡咯里嗪或2,3-二氢-1-吡咯里嗪酮为先导物进行结构修饰和优化,无论在新药开发上还是化学研究上都具有理论和实际意义.相信随着研究的深入,在这一领域可能继续发现新的抗炎镇痛或抗癌药物.■
参考文献:
[1]Kochetkov NK,Likhosherstov AM.Advances in pyrrol-izidine chemistry.In:Katritzky AR,Boulton AJ,ed.Advances in Heterocyclic Chemistry.Vol 5.New York:Academic Press,965.315
, http://www.100md.com
[2]林启寿.中草药成分化学.第一版.北京:科学出版社,1977.691
[3]朱元龙,朱任宏.双稠吡咯啶生物碱的研究Ⅱ.瓜叶菊的生物碱.药学学报,1964,11(3):168~173
[4]De Waal HL,Wiechers A,Warren FL.The Senecio Alkaloids.Part XV.The structure of sceleranecic and sceleratinic acids and sceleratine.J Chem Soc,1963,953~956
[5]Gourley JM,Heacock RA,McInnes AG, et al.Structure of Ipalbine,a new hexahydroindolizine alkaloid isolated from Ipomoea alba,J Chem Soc,1969,(5):709~710
, http://www.100md.com
[6]Culvenor CCJ, Dann AT, Dick AT. Alkylation as the
mechanism by which the hepatotoxic pyrrolizidine alkaloids act on cell nuclei.Nature,1962,195(4841):570~573
[7]Mattocks AR.Toxicity of pyrrolizidine alkaloids.Nature,1968,217(5130):723~728
[8]Mattocks AK,White INH.Pyrrolic metabolites from non-toxic pyrrolizidine alkaloids.Nature New Biology,1971,231(5298):114~115
, http://www.100md.com
[9]Culvenor CCJ, Edgar JA, Smith LW, et al. Active
metabolityes in the chronic hepatotoxicity pyrrolizidine alkaloids,including otonecine esters.Nature New Biology,1971,229(5282):255~256
[10]Schweizer EE,Light KK.Reactions of phosphorus compounds. Ⅳ.Preparation of 3H-pyrrolizine,1,2-dihydro-3H-pyrrolizine,and pyrrolizidine.J Am Chem Soc,1964,86(14):2963
[11]Gupta OP,Ali MM,Ghatak BJ Ray,et al.Local anesthetic action of some semisynthetic pyrrolizidine ester and their structure activity relationships.Indian J Exp Biol,1976,14(1):34~37
, http://www.100md.com
[12]Anderson WK,Corey PF. Synthesis and antileukemic
activity of 5-substituted 2,3-dihydro-6,7-bis(hydroxymethyl)-1H-pyrrolizine diesters.J Med Chem,1977,20(6):812~818
[13]Anderson WK,McPherson Jr HL.Synthesis and antileukemic activity of fluorinated analogues of 2,3-dihydro-5-phenyl-6,7-bis(hydroxymethyl)-1H-pyrroli-zine biscarbamate.J Med Chem,1982,25(1):84~86
[14]Muckowski JM,Kluge AF.5-(2-Furoyl)-5(2-thenoyl)-5-(3-furoyl)-and 5-(thenoyl)-1,2-dihydro-3H-pyrrolo(1,2-a)pyrrole-1-carboxylic acid derivatives.Ger Offen 2731662.1978-01-19
, 百拇医药
[15]HJ Mcquay MD,Patsy Poppleton SRN,Dawn Carroll SRN,et al.Ketorolac and acetaminophen for orthopedic postoperative pain.Clin Pharmaco Ther,1986,39(1):89~93
[16]Dannhardt G,Steindl L.Anti-inflammatory 2,3-dihydro-1H-pyrrolizines.Ⅷ.Synthesis and decarboxylation of 6,7-diary1-2,3-dihydro-1H-pyrrolizin-5-yl-acetic acid.Arch Pharm(Weinheim),1986,319(4):354~360
[17]Dannhardt G,Steindl L.Anti-inflammatory 2,3-dihydro-1H-pyrrolizines.Ⅹ.6,7-diary substituted 1-and 3-pyrrolizinones.(1-DAPON and 3-DAPON).Arch Pharm(Weinheim),1986,319(8):749~755
, http://www.100md.com
[18]Laufer S,Augustin J,Dannhardt G,et al.(6,7-Diaryl dihydro-pyrrolizine-5-yl)acetic acids ,a novel class of potent dual inhibitors of both cycloxygenase and 5-lipoxygenase.J Med Chem,1994,37(12):1894~1897
[19]Laufer S,Tries S,Augustin J,et al.Pharmacological profile of a new pyrrolizine derivative inhibiting the enzymes cyclooxygenase and 5-lipoxygenase.Arzneim-Forsch,1994,44(5):629~636
[20]Clemo GR,Ramage GR.New derivatives of pyrrole.Part Ⅰ.The synthesis of 3-keto-4∶5-dihydrodi-(1∶2)-pyrrole and of 8-keto-5∶6∶7∶8-tetrahydropyrrocoline.J Chem Soc,1931,49~55
, 百拇医药
[21]Josey AD,Jenner EL.N-functionally substituted pyr-roles.J Org Chem,1962,27(7):2466~2470
[22]Meinwald J,Meinwald YC,Wheeler JW, et al.Major components in the exocrine secreton of a male butterfly(lycorea).Science,1966,151(3710):583~585
[23]Leo G,Hishi C,Allyn B.Kinetics and mechanisms of the autoxidation of ketorolac tromethamine in aqueous solution.Int J Pharm,1988,41(1-2):95~104
[24]Leo G,Hishi C,David J.Light degradation of Ketorolac tromethamine.Int J Pharm,1988,41(1-2):105~113
[25]Mokoni SHS,Sugden JK.Some pyrrolidine and pyrroli-zine derivatives as inhibitors of blood platelet aggregation.Arzneim-Forsch,1980,30(7):1135~1137
[26]张守芳,高文方,郑红,等.3H-1,2-二氢-1-吡里酮衍生物的合成.药学学报,1988,23(1):28~33
收稿日期:1999-06-24
, 百拇医药