云南红豆杉根的化学成分研究
作者:梁敬钰 鲍官虎 陈佩东 F.M Zheng
单位:梁敬钰(中国药科大学天然药物化学教研室 南京210038);鲍官虎(中国药科大学天然药物化学教研室 南京210038);陈佩东(中国药科大学天然药物化学教研室 南京210038);F.M Zheng(Dept of Chemistry,Auburn University,USA)
关键词:云南红豆杉;紫杉烷类化合物;紫杉醇
海峡药学000128摘要 从采集于云南省保山的云南红豆杉Taxus yunnanensis的树皮中分得5个紫杉烷类化合物,通过1H-NMR、13C-NMR、MS、IR、DORdecoupling、13C-1Hcosy等方法鉴定其结构为:2α,7β,9α,10β,13α,20-hexaacetoxy-4α,5α-dihydroxy-taxa-11(12)-ene(1)、Taxa-4(20),11-diene-2α,5α,10β-triacetoxy-14β(α-Methyl)butyrate(2)、Taxol(3)、Baccatin Ⅳ(4)、7-Xyloxy-10-Deacetoxy-taxol(5)。其中1为新的紫杉烷类化合物。
, http://www.100md.com
Studies on Components from the Roots of Taxus yunnanensis
Liang Jingyu Bao Guanhu Chen Peidong
(China Pharmaceutical University Department of Natural PharmaceuticalChemistry Nanjing 210038)
F.M.Zheng
(Dept.of Chemistry,Auburn University,USA)
Abstract A novel taxoid,2α,7β,9α,10β,13α,20-hexaacetoxy-4α,5α-dihydroxy-taxa-11(12)-ene(1)as well as four known taxoids:Taxa-4(20),11-diene-2α,5α,10β-triacetoxy-14β(α-Methyl)butyrate(2)、Taxol(3)、BaccatinⅣ(4)、7-Xyloxy-10-Deacetoxy-taxol(5),were isolated from taxus yunnanensis,collected in Baoshan County,Yunnan Province.Their chemical structures were determined on the basis of 1H-NMR、13C-NMR、MS、IR、DOR decoupling、13C-1H-cosy spectra and chemical methods.
, 百拇医药
Key words Taxus yunnanensis,Taxoids,Paclitaxol
紫杉醇是现有的抗癌天然药物中疗效最好、最具潜力的药物之一,由于其独特的化学结构和作用机制而倍受世人关注[1],由此引发了人们对红豆杉属(Taxus)植物的研究热潮。到目前为止化学家们已从红豆杉属植物中分离出紫杉烷类二萜化合物300多个。云南红豆杉是我国特有树种,自1990年来我国学者对云南红豆杉化学成分作了较多研究,但是这些研究大多集中在其枝叶部分,而对其根部很少有人研究,因此有必要对其根部作进一步研究,以寻找新的活性成分和新一代紫杉醇的药物前体。我们从云南红豆杉中分离并鉴定了5个紫杉烷类化合物,其中1为新的紫杉烷类化合物。本文详述该新化合物的分离纯化和结构解析过程。
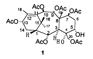
云南红豆杉的根部乙醇提取物用石油醚、二氯甲烷萃取,将二氯甲烷萃取物进行硅胶柱层析获得新化合物2α,7β,9α,10β,13α,20-hexaacetoxy-4α,5α-dihydroxy-taxa-11(12)-ene(1)。为无色结晶,MP207~209℃(MeOH/H2O),TLC浓硫酸-香草醛显色呈蓝色。FAB-MS m/z 655[M+H]+,分子量为654。结合其氢谱和碳谱推出其分子式为C32H46O14。UVλMeOHmax:218(0.599);氢谱中1.70 s(H-16)、1.10 s(H-17)、1.13 s(H-19)、2.24 s(H-18)等甲基峰及3.24(3α,d,4.9)和较低场的一系列峰表明1为一紫杉烷类化合物[2],由J2β,3α=4.9,和化学位移和偶合常数知其为6/8/6型稠合方式的紫杉烷类化合物。由4.52(d,12.1)、4.12(d,12.1)的20位两个氢的峰和碳谱中的65.30等表明该化合物的4位、5位、20位有开环结构。由FAB-MS的一些碎片峰和氢谱中处于1.98~2.21处的6个甲基峰以及3.08与3.32处的两个峰以及红外表明该化合物有6个OAc和两个羟基取代。氢谱中的处于最低场有一对d峰6.20和5.77(J=10.8)为9位和10位两个氢,由其化学位移和偶合常数可知9α位、10β位各有一个乙酰基取代3,在13C-1HCOSY谱上分别和75.48、72.13处的峰相关;同理由13C-1HCOSY谱上和69.95处的峰相关的13位氢信号为5.64 m,可知13位也有1个乙酰氧基取代;和3位氢偶合的2位氢在5.60(d,4.9)处,7位氢为5.69 m,在13C-1HCOSY谱上分别和72.30、68.29处的峰相关,由其化学位移和偶合常数可知它们各被1个乙酰氧基取代;5位氢的信号在3.93的较高场中,由其化学位移和峰形可知5α被OH基取代,在13C-1HCOSY谱上和69.70处的峰相关。2.60处的多重峰为14位氢。由δC4在76.81知其为羟基取代(6个OAc的位置已定)。和文献4中的化合物3(差别仅在其2α-PhCO)对照,由此可以推出化合物1结构如上图。该化合物是一个新化合物2α,7β,9α,10β,13α,20-hexaacetoxy-4α,5α-dihydroxy-taxa-11(12)-ene。其氢谱与碳谱数据(见表1)。
, 百拇医药
表1 化合物1的氢谱与碳谱数据 Pos.
H
H(*)
C(*)
C
13C-1H
1
1.78 m
1.87 m
48.4
47.80
2
, 百拇医药
5.60d(4.9)
5.89 m
72.39
72.30
**
3
3.24d(4.9)
3.31d(4.9)
43.31
43.37
**
4
75.80
, 百拇医药
76.81
5
3.93 brs
3.70 brs
70.70
69.70
**
6
1.80 m
1.80 m
31.46
31.34
1.98 m
, 百拇医药
1.95 m
7
5.69 m
5.68dd(11.8,4.8)
68.39
68.29
**
8
46.20
45.80
9
5.77 d(10.8)
5.87 d(10.9)
, 百拇医药
75.48
75.46
**
10
6.20 d(10.8)
6.23 d(11.0)
72.13
71.98
**
11
134.5
134.0
12
, http://www.100md.com
139.2
139.0
13
5.64 m
5.68 m
69.99
69.95
**
14
2.60 m
2.55 dd(15.5,4.40)
27.52
27.45
, 百拇医药
2.65 ddd(15.5,7.8,3.9)
15
37.72
37.52
16
1.70 s
1.75 s
25.91
25.67
**
17
1.10 s
, 百拇医药 1.01 s
32.50
32.28
**
18
2.24 brs
2.26 brs
15.94
15.73
**
19
1.13 s
1.03 s
, http://www.100md.com
14.52
14.77
*
20
4.12 d(12.01)
4.02 d(11.9)
65.43
65.30
4.52 d(12.01)
4.23 d(11.9)
OAc
1.98 s
, http://www.100md.com
1.78s
20.45
169.2
20.8
169.0
*
OAcs
2.01 s
2.04 s
20.92
169.5
20.9
169.2
, 百拇医药
*
OAcs
2.03 s
1.98 s
21.11
170.0
20.91
169.3
*
OAc
2.16 s
2.15 s
21.27
, 百拇医药
170.1
21.1
170.0
*
OAc
2.05
2.05 s
21.56
170.2
21.4
170.1
*
OAc
, 百拇医药
OBz(*)
2.21 s
7.99,7.47,7.60
165.13,129.80,129.90,128.74,133.6
21.6
171.2
*
OH×2
3.08,3.32
*为文献4中化合物3的氢谱与碳谱数据,**表示相关
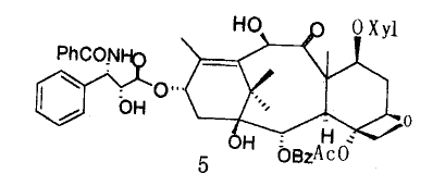
化合物5为无色粉末,MP232~6℃,FAB-MS m/z 943[M]+,分子式C50H57O17。其红外、氢谱和碳谱等数据和文献[6]报道的已知化合物10-deacetoxy-7-β-xyloxy-taxol一致,故化合物5为10-deacetoxy-7-β-xyloxy-taxol。
, 百拇医药
化合物4为无色结晶,MP250~252℃,FAB-MS m/z 653[M+H]+,分子式为C32H44O14。其氢谱和碳谱等数据与文献报道7的Baccatin Ⅳ一致。故化合物4为Baccatin Ⅳ。
化合物3无色针晶,MP212~213℃,其1H-NMR、13C-NMR谱等数据与文献8报道的Taxol一致,TLC显色行为与Taxol标准品一致,与Taxol标准品的混合熔点不下降。故化合物3为紫杉醇(Taxol)。
化合物2为无色块状结晶,MP99-100℃(CHCl3),FAB-MS m/z 569[M+Na]+,分子式C31H42O8。1H-NMR谱中,经对照其1H-NMR及13C-NMR数据和文献报道的9-Deacetoxy-taxuyunnanineB9(即Taxa-4(20),11(12)-diene-2α,5α,10β-triacetoxy-14β,α-Methylbutyrate)一致,与标准品对照,其TLC显色行为相同,红外光谱相同,与标准品混合熔点不下降。故化合物2为9-Deacetoxy-taxuyunnanine B(Taxa-4(20),11(12)-diene-2α,5α,10β-triacetoxy-14β,α-Methyl(butyrate)。
, 百拇医药
实验部分
仪器和试剂
熔点用双目镜视显微熔点测定仪(熔点未校正)测定;红外用Perkin-Elemer 983型红外光谱仪测定(KBr压片);旋光用PE-241MC型旋光仪测定;核磁用Bruker ACF-250型核磁共振仪(1H-NMR 250MHz),Brucer ACF-300(1H-NMR 300 MHz)及Brucer ACF-400(1H-NMR 400 MHz)测定,TMS为内标 ;FAB,EI用VG型质谱仪,高效液相用岛津10A型高效液相色谱仪。
所用薄层层析、柱层析硅胶、硅胶GF254及高效GF254薄层板均为青岛海洋化工厂生产;制备高效液相所用色谱纯甲醇为淮阴化学试剂厂生产;其余液体试剂均为分析纯。
实验药材为云南红豆杉(Taxus yunnanensis)的干燥根,原植物由云南省保山林业局庞士高工程师采集并鉴定。
, 百拇医药
提取分离
云南红豆杉的干燥根2.75 kg,经粉碎乙醇提取、分步萃取、各种层析方法(GC、PTLC、HPLC、离心薄层等)的综合使用,共从乙醇提取物的二氯甲烷萃取部分分离得到22个化合物,其中有5个紫杉烷类化合物(即化合物1、2、3、4和5)。



结构鉴定
化合物1:2α,7β,9α,10β,13α,20-hexaacetoxy-4α,5α-dihydroxy-taxa-11(12)-ene,无色结晶,MP:207~209℃(MeOH/H2O)。FAB-MS m/z 655[M+H]+,637[M+H-H2O]+,577[M+H-H2O-HOAc]+,517[M+H-H2O-2HOAc]+,475[M+H-3HOAc]+,415[M+H-4HOAc]+,355[M+H-5HOAc]+;295[M+H-6HOAc]+,277[M+H-H2O-6HOAc]+;UVλMeOHmax:218(0.599),IRυKBrmax(cm-1):3468,2952,1742,1437,1372,1228,1027。CIMS(70eV):596(16),578(18),355(42),295(100),277(81),161(63)。1H-NMR,13C-NMR谱数据(CDCl3+DMSO)(见表1)。
, 百拇医药
化合物5:7-Xyloxy-10-Deacetoxy-taxol,无色粉末, MP232~235℃,FAB-MS m/z 943[M]+,IRυKBrmax(cm-1)3537,3418(OH),1748,1719(OAC),1665(PhCO),1624,1511(Ph),1270,1243,1122,1023(C-O-C);氢谱5.56d(6.97)(H-2),3.84 d(6.97)(H-3),4.92 d(9.53)(H-5),2.58 m,2.15 m(H-6),4.15 m(H-7),5.30 s(H-10 ),6.13 t(H-13),2.58,2.14(H-14),1.15 s(H-16),1.13 s(H-17),1.86 s(H-18),1.75 s(H-19),4.13 brs(H-20),4.64 m(H-2′),5.55(H-3′),6.43 m(NH),4.07(H-1″),3.12 t(H-2″),3.24 t(H-3″),3.43 m(H-4″),3.02 t,3.80 m(H-5″),2.36 s(4-OAc),7.26~8.53 m(pH×3)。碳谱数据(CDCl3+DMSO):78.34(C-1),74.73(C-2),46.63(C-3),80.76(C-4),83.95(C-5),35.4(C-6),81.84(C-7),56.2(C-8),209.2(C-9),74.73(C-10),134.5(C-11),139.4(C-12),70.99(C-13),36.20(C-14),43.22(C-15),20.94(C-16),26.60(C-17),14.10(C-18),10.77(C-19),74.84(C-20),172.7(C-1′),74.07(C-2′),56.08(C-3′),105.4(C-1″),73.09(C-2″),76.77(C-3″),69.39(C-4″),65.88(C-5″),22.60(4-OAc),),165.9,167.0(PhCO),127.0~137.4(Ph×3)。
, http://www.100md.com
化合物4:Baccatin Ⅳ,无色结晶,MP250℃~252℃。FAB-MS m/z 653[M+H]+;593[M+H-HOAc]+,533[M+H-2HOAc]+,473[M+H-3HOAc]+,154,136;1H-NMR谱数据(CDCl3):5.57 d(5.5)(H-2),3.05 d(5.5)(H-3),4.96 brd(8.9)(H-5),2.58 m,2.15 m(H-6),5.50 t(H-7),5.90 d(11.3)(H-9),6.17 d(11.3)(H-10),6.15(H-13),2.49 m(H-14),1.71 s(H-16),1.21 s(H-17),1.98 s(H-18),1.54 s(H-19),4.52 d(7.8)(H-20),4.18 d(7.8)(H-20),2.16,2.09,2.08,2.08(6×OAc)。
化合物3:波谱数据,TLC显色行为(浓硫酸-香草醛)和紫杉醇一致,无色针晶,MP212~213℃。1H-NMR:(CDCl3)(见表2)。
, http://www.100md.com
表2 化合物3的氢谱与碳谱数据 Pos.
δ1H
δ13C
1
79.0
2
5.67 d(7.0)
74.9
3
3.80 d(7.0)
45.86
4
, http://www.100md.com
81.41
5
4.94 d(9.5)
84.66
6
1.88 m
35.87
2.54 m
7
4.40 brs
72.44
8
58.89
, 百拇医药
9
10
6.27 s
75.80
11
133.96
12
142.22
13
6.24 t
72.56
14
2.29 m
, http://www.100md.com
35.87
2.36 m
15
43.42
16
1.15 s
21.09
17
1.25
27.11
18
1.80 s
15.09
, 百拇医药
19
1.69 s
20
4.20 d(8.5)
76.74
4.32 d(8.5)
1’
2’
4.80 brs
73.43
3’
5.80 dd
55.27
, 百拇医药
OAc
2.39 s,2.25 s
22.88
OBz
8.14 d(8.2)
129.29
7.51 m
128.96
7.60 m
133.96
3’NH
6.98 d(8.5)
, http://www.100md.com
NBz
7.76 d
167.27,138.0,127.28,7.40 m,7.51 m
129.30,128.70
Ph
7.48 m,7.36 m,7.43 m
133.96,127.28,128.96
化合物2:Taxa-4(20),11-diene-2α,5α,10β-triacetoxy-14β(α-Methyl)butyrate无色块状结晶,MP99-100℃。FAB-MS m/z 569[M+Na]+;IRυKBrmaxcm-1)3024,1630(烯键),1736(RCOO-和OAc),1454,1370(脂肪链),1235,1011(C-O-C);1H-NMR,13C-NMR谱数据(CDCl3)(见表3)。表3 化合物2的氢谱与碳谱数据 Pos.
, http://www.100md.com
δ1H
δ13C
DEPT
1
1.88 brs
59.43
CH
2
5.35 d(6.5)
70.71
CH
3
, 百拇医药 2.95 d(6.5)
42.30
CH
4
142.4
C
5
5.29 brs
78.30
CH
6
1.82 m
29.06
, http://www.100md.com
CH2
7
1.94 m
33.98
CH2
8
39.80
C
9
2.42 m,1.62 m
44.06
CH2
, 百拇医药
10
6.07 dd
70.27
CH
11
135.5
C
12
134.9
C
13
2.86 t,2.39 m
39.80
, http://www.100md.com
CH2
14
5.00 dd
70.27
CH
Pos.
δ1H
δ13C
DEPT
15
37.41
C
, http://www.100md.com
16
1.67 s
25.56
CH3
17
1.13 s
31.85
CH3
18
2.09 s
21.08
CH3
, http://www.100md.com
19
0.85 s
22.63
CH3
20
4.82 s,5.26 s
116.9
CH2
1’
175.7
C=O
2’
, http://www.100md.com
2.34 m
41.22
CH
3’
1.62 m,1.48 m
26.89
CH2
4’
0.88 m
11.73
CH3
5’
, http://www.100md.com
1.12 brs
16.72
CH3
OAc
2.18 s,2.06 s,170.1,170.3,170.4
CO×3
2.02
21.6,22.0,21.5
CH3×3
本文由江苏省自然科学基金资助
参考文献
, 百拇医药
[1]Wani M C,Talor H L,Wall M E et al.The isolation and structure of taxol,a novel antileukemic and antitumor Agent from Taxus brevifolia Plant antitumor.VI.J Amer Chem Soc,1971;93:2325~7
[2]黄开胜,梁敬钰,天然紫杉烷二萜化合物的核磁共振氢谱规律 中国药科大学学报,1998;29(4):259
[3]闵知大,江虹,梁敬钰,美丽红豆杉紫杉烷二萜的研究 药学学报 1989;24(9):673~7
[4]Jingyu Liang,David G.I.Kingston,Two new taxane deterpenoids from Taxus mairei J Nat Prod 1993;56(4):594~9
, 百拇医药
[5]XIAO-JIE TONG,Yeuk-chuen Liu and Ching-jer Chang,Taxanes from Taxus×Media Hicksii Natural Product Letters,1995;6(3)197~202.
[6]陈未名等:云南红豆杉中四个新的紫杉烷类化合物的分离和结构鉴定 药学学报,1994;29(3):207~14
[7]Louis H.D.Jenniskens,Erik L.M.van Rozendaal,Identification of six taxine alkaloids from Taxus baccata needles J.Nat.Prod.,1996;59:117
[8]Appendino G,The structural elucidation of taxoids.Elsevier Science B.V.,1995;
[9]XIAO-JIE TONG,Yeuk-chuen Liu and Ching-jer Chang,Taxanes from Taxus×Media Hicksii,Natural Product Letters,1995;6(3):197~202, 百拇医药
单位:梁敬钰(中国药科大学天然药物化学教研室 南京210038);鲍官虎(中国药科大学天然药物化学教研室 南京210038);陈佩东(中国药科大学天然药物化学教研室 南京210038);F.M Zheng(Dept of Chemistry,Auburn University,USA)
关键词:云南红豆杉;紫杉烷类化合物;紫杉醇
海峡药学000128摘要 从采集于云南省保山的云南红豆杉Taxus yunnanensis的树皮中分得5个紫杉烷类化合物,通过1H-NMR、13C-NMR、MS、IR、DORdecoupling、13C-1Hcosy等方法鉴定其结构为:2α,7β,9α,10β,13α,20-hexaacetoxy-4α,5α-dihydroxy-taxa-11(12)-ene(1)、Taxa-4(20),11-diene-2α,5α,10β-triacetoxy-14β(α-Methyl)butyrate(2)、Taxol(3)、Baccatin Ⅳ(4)、7-Xyloxy-10-Deacetoxy-taxol(5)。其中1为新的紫杉烷类化合物。
, http://www.100md.com
Studies on Components from the Roots of Taxus yunnanensis
Liang Jingyu Bao Guanhu Chen Peidong
(China Pharmaceutical University Department of Natural PharmaceuticalChemistry Nanjing 210038)
F.M.Zheng
(Dept.of Chemistry,Auburn University,USA)
Abstract A novel taxoid,2α,7β,9α,10β,13α,20-hexaacetoxy-4α,5α-dihydroxy-taxa-11(12)-ene(1)as well as four known taxoids:Taxa-4(20),11-diene-2α,5α,10β-triacetoxy-14β(α-Methyl)butyrate(2)、Taxol(3)、BaccatinⅣ(4)、7-Xyloxy-10-Deacetoxy-taxol(5),were isolated from taxus yunnanensis,collected in Baoshan County,Yunnan Province.Their chemical structures were determined on the basis of 1H-NMR、13C-NMR、MS、IR、DOR decoupling、13C-1H-cosy spectra and chemical methods.
, 百拇医药
Key words Taxus yunnanensis,Taxoids,Paclitaxol
紫杉醇是现有的抗癌天然药物中疗效最好、最具潜力的药物之一,由于其独特的化学结构和作用机制而倍受世人关注[1],由此引发了人们对红豆杉属(Taxus)植物的研究热潮。到目前为止化学家们已从红豆杉属植物中分离出紫杉烷类二萜化合物300多个。云南红豆杉是我国特有树种,自1990年来我国学者对云南红豆杉化学成分作了较多研究,但是这些研究大多集中在其枝叶部分,而对其根部很少有人研究,因此有必要对其根部作进一步研究,以寻找新的活性成分和新一代紫杉醇的药物前体。我们从云南红豆杉中分离并鉴定了5个紫杉烷类化合物,其中1为新的紫杉烷类化合物。本文详述该新化合物的分离纯化和结构解析过程。
云南红豆杉的根部乙醇提取物用石油醚、二氯甲烷萃取,将二氯甲烷萃取物进行硅胶柱层析获得新化合物2α,7β,9α,10β,13α,20-hexaacetoxy-4α,5α-dihydroxy-taxa-11(12)-ene(1)。为无色结晶,MP207~209℃(MeOH/H2O),TLC浓硫酸-香草醛显色呈蓝色。FAB-MS m/z 655[M+H]+,分子量为654。结合其氢谱和碳谱推出其分子式为C32H46O14。UVλMeOHmax:218(0.599);氢谱中1.70 s(H-16)、1.10 s(H-17)、1.13 s(H-19)、2.24 s(H-18)等甲基峰及3.24(3α,d,4.9)和较低场的一系列峰表明1为一紫杉烷类化合物[2],由J2β,3α=4.9,和化学位移和偶合常数知其为6/8/6型稠合方式的紫杉烷类化合物。由4.52(d,12.1)、4.12(d,12.1)的20位两个氢的峰和碳谱中的65.30等表明该化合物的4位、5位、20位有开环结构。由FAB-MS的一些碎片峰和氢谱中处于1.98~2.21处的6个甲基峰以及3.08与3.32处的两个峰以及红外表明该化合物有6个OAc和两个羟基取代。氢谱中的处于最低场有一对d峰6.20和5.77(J=10.8)为9位和10位两个氢,由其化学位移和偶合常数可知9α位、10β位各有一个乙酰基取代3,在13C-1HCOSY谱上分别和75.48、72.13处的峰相关;同理由13C-1HCOSY谱上和69.95处的峰相关的13位氢信号为5.64 m,可知13位也有1个乙酰氧基取代;和3位氢偶合的2位氢在5.60(d,4.9)处,7位氢为5.69 m,在13C-1HCOSY谱上分别和72.30、68.29处的峰相关,由其化学位移和偶合常数可知它们各被1个乙酰氧基取代;5位氢的信号在3.93的较高场中,由其化学位移和峰形可知5α被OH基取代,在13C-1HCOSY谱上和69.70处的峰相关。2.60处的多重峰为14位氢。由δC4在76.81知其为羟基取代(6个OAc的位置已定)。和文献4中的化合物3(差别仅在其2α-PhCO)对照,由此可以推出化合物1结构如上图。该化合物是一个新化合物2α,7β,9α,10β,13α,20-hexaacetoxy-4α,5α-dihydroxy-taxa-11(12)-ene。其氢谱与碳谱数据(见表1)。
, 百拇医药
表1 化合物1的氢谱与碳谱数据 Pos.
H
H(*)
C(*)
C
13C-1H
1
1.78 m
1.87 m
48.4
47.80
2
, 百拇医药
5.60d(4.9)
5.89 m
72.39
72.30
**
3
3.24d(4.9)
3.31d(4.9)
43.31
43.37
**
4
75.80
, 百拇医药
76.81
5
3.93 brs
3.70 brs
70.70
69.70
**
6
1.80 m
1.80 m
31.46
31.34
1.98 m
, 百拇医药
1.95 m
7
5.69 m
5.68dd(11.8,4.8)
68.39
68.29
**
8
46.20
45.80
9
5.77 d(10.8)
5.87 d(10.9)
, 百拇医药
75.48
75.46
**
10
6.20 d(10.8)
6.23 d(11.0)
72.13
71.98
**
11
134.5
134.0
12
, http://www.100md.com
139.2
139.0
13
5.64 m
5.68 m
69.99
69.95
**
14
2.60 m
2.55 dd(15.5,4.40)
27.52
27.45
, 百拇医药
2.65 ddd(15.5,7.8,3.9)
15
37.72
37.52
16
1.70 s
1.75 s
25.91
25.67
**
17
1.10 s
, 百拇医药 1.01 s
32.50
32.28
**
18
2.24 brs
2.26 brs
15.94
15.73
**
19
1.13 s
1.03 s
, http://www.100md.com
14.52
14.77
*
20
4.12 d(12.01)
4.02 d(11.9)
65.43
65.30
4.52 d(12.01)
4.23 d(11.9)
OAc
1.98 s
, http://www.100md.com
1.78s
20.45
169.2
20.8
169.0
*
OAcs
2.01 s
2.04 s
20.92
169.5
20.9
169.2
, 百拇医药
*
OAcs
2.03 s
1.98 s
21.11
170.0
20.91
169.3
*
OAc
2.16 s
2.15 s
21.27
, 百拇医药
170.1
21.1
170.0
*
OAc
2.05
2.05 s
21.56
170.2
21.4
170.1
*
OAc
, 百拇医药
OBz(*)
2.21 s
7.99,7.47,7.60
165.13,129.80,129.90,128.74,133.6
21.6
171.2
*
OH×2
3.08,3.32
*为文献4中化合物3的氢谱与碳谱数据,**表示相关
化合物5为无色粉末,MP232~6℃,FAB-MS m/z 943[M]+,分子式C50H57O17。其红外、氢谱和碳谱等数据和文献[6]报道的已知化合物10-deacetoxy-7-β-xyloxy-taxol一致,故化合物5为10-deacetoxy-7-β-xyloxy-taxol。
, 百拇医药
化合物4为无色结晶,MP250~252℃,FAB-MS m/z 653[M+H]+,分子式为C32H44O14。其氢谱和碳谱等数据与文献报道7的Baccatin Ⅳ一致。故化合物4为Baccatin Ⅳ。
化合物3无色针晶,MP212~213℃,其1H-NMR、13C-NMR谱等数据与文献8报道的Taxol一致,TLC显色行为与Taxol标准品一致,与Taxol标准品的混合熔点不下降。故化合物3为紫杉醇(Taxol)。
化合物2为无色块状结晶,MP99-100℃(CHCl3),FAB-MS m/z 569[M+Na]+,分子式C31H42O8。1H-NMR谱中,经对照其1H-NMR及13C-NMR数据和文献报道的9-Deacetoxy-taxuyunnanineB9(即Taxa-4(20),11(12)-diene-2α,5α,10β-triacetoxy-14β,α-Methylbutyrate)一致,与标准品对照,其TLC显色行为相同,红外光谱相同,与标准品混合熔点不下降。故化合物2为9-Deacetoxy-taxuyunnanine B(Taxa-4(20),11(12)-diene-2α,5α,10β-triacetoxy-14β,α-Methyl(butyrate)。
, 百拇医药
实验部分
仪器和试剂
熔点用双目镜视显微熔点测定仪(熔点未校正)测定;红外用Perkin-Elemer 983型红外光谱仪测定(KBr压片);旋光用PE-241MC型旋光仪测定;核磁用Bruker ACF-250型核磁共振仪(1H-NMR 250MHz),Brucer ACF-300(1H-NMR 300 MHz)及Brucer ACF-400(1H-NMR 400 MHz)测定,TMS为内标 ;FAB,EI用VG型质谱仪,高效液相用岛津10A型高效液相色谱仪。
所用薄层层析、柱层析硅胶、硅胶GF254及高效GF254薄层板均为青岛海洋化工厂生产;制备高效液相所用色谱纯甲醇为淮阴化学试剂厂生产;其余液体试剂均为分析纯。
实验药材为云南红豆杉(Taxus yunnanensis)的干燥根,原植物由云南省保山林业局庞士高工程师采集并鉴定。
, 百拇医药
提取分离
云南红豆杉的干燥根2.75 kg,经粉碎乙醇提取、分步萃取、各种层析方法(GC、PTLC、HPLC、离心薄层等)的综合使用,共从乙醇提取物的二氯甲烷萃取部分分离得到22个化合物,其中有5个紫杉烷类化合物(即化合物1、2、3、4和5)。
化合物1:2α,7β,9α,10β,13α,20-hexaacetoxy-4α,5α-dihydroxy-taxa-11(12)-ene,无色结晶,MP:207~209℃(MeOH/H2O)。FAB-MS m/z 655[M+H]+,637[M+H-H2O]+,577[M+H-H2O-HOAc]+,517[M+H-H2O-2HOAc]+,475[M+H-3HOAc]+,415[M+H-4HOAc]+,355[M+H-5HOAc]+;295[M+H-6HOAc]+,277[M+H-H2O-6HOAc]+;UVλMeOHmax:218(0.599),IRυKBrmax(cm-1):3468,2952,1742,1437,1372,1228,1027。CIMS(70eV):596(16),578(18),355(42),295(100),277(81),161(63)。1H-NMR,13C-NMR谱数据(CDCl3+DMSO)(见表1)。
, 百拇医药
化合物5:7-Xyloxy-10-Deacetoxy-taxol,无色粉末, MP232~235℃,FAB-MS m/z 943[M]+,IRυKBrmax(cm-1)3537,3418(OH),1748,1719(OAC),1665(PhCO),1624,1511(Ph),1270,1243,1122,1023(C-O-C);氢谱5.56d(6.97)(H-2),3.84 d(6.97)(H-3),4.92 d(9.53)(H-5),2.58 m,2.15 m(H-6),4.15 m(H-7),5.30 s(H-10 ),6.13 t(H-13),2.58,2.14(H-14),1.15 s(H-16),1.13 s(H-17),1.86 s(H-18),1.75 s(H-19),4.13 brs(H-20),4.64 m(H-2′),5.55(H-3′),6.43 m(NH),4.07(H-1″),3.12 t(H-2″),3.24 t(H-3″),3.43 m(H-4″),3.02 t,3.80 m(H-5″),2.36 s(4-OAc),7.26~8.53 m(pH×3)。碳谱数据(CDCl3+DMSO):78.34(C-1),74.73(C-2),46.63(C-3),80.76(C-4),83.95(C-5),35.4(C-6),81.84(C-7),56.2(C-8),209.2(C-9),74.73(C-10),134.5(C-11),139.4(C-12),70.99(C-13),36.20(C-14),43.22(C-15),20.94(C-16),26.60(C-17),14.10(C-18),10.77(C-19),74.84(C-20),172.7(C-1′),74.07(C-2′),56.08(C-3′),105.4(C-1″),73.09(C-2″),76.77(C-3″),69.39(C-4″),65.88(C-5″),22.60(4-OAc),),165.9,167.0(PhCO),127.0~137.4(Ph×3)。
, http://www.100md.com
化合物4:Baccatin Ⅳ,无色结晶,MP250℃~252℃。FAB-MS m/z 653[M+H]+;593[M+H-HOAc]+,533[M+H-2HOAc]+,473[M+H-3HOAc]+,154,136;1H-NMR谱数据(CDCl3):5.57 d(5.5)(H-2),3.05 d(5.5)(H-3),4.96 brd(8.9)(H-5),2.58 m,2.15 m(H-6),5.50 t(H-7),5.90 d(11.3)(H-9),6.17 d(11.3)(H-10),6.15(H-13),2.49 m(H-14),1.71 s(H-16),1.21 s(H-17),1.98 s(H-18),1.54 s(H-19),4.52 d(7.8)(H-20),4.18 d(7.8)(H-20),2.16,2.09,2.08,2.08(6×OAc)。
化合物3:波谱数据,TLC显色行为(浓硫酸-香草醛)和紫杉醇一致,无色针晶,MP212~213℃。1H-NMR:(CDCl3)(见表2)。
, http://www.100md.com
表2 化合物3的氢谱与碳谱数据 Pos.
δ1H
δ13C
1
79.0
2
5.67 d(7.0)
74.9
3
3.80 d(7.0)
45.86
4
, http://www.100md.com
81.41
5
4.94 d(9.5)
84.66
6
1.88 m
35.87
2.54 m
7
4.40 brs
72.44
8
58.89
, 百拇医药
9
10
6.27 s
75.80
11
133.96
12
142.22
13
6.24 t
72.56
14
2.29 m
, http://www.100md.com
35.87
2.36 m
15
43.42
16
1.15 s
21.09
17
1.25
27.11
18
1.80 s
15.09
, 百拇医药
19
1.69 s
20
4.20 d(8.5)
76.74
4.32 d(8.5)
1’
2’
4.80 brs
73.43
3’
5.80 dd
55.27
, 百拇医药
OAc
2.39 s,2.25 s
22.88
OBz
8.14 d(8.2)
129.29
7.51 m
128.96
7.60 m
133.96
3’NH
6.98 d(8.5)
, http://www.100md.com
NBz
7.76 d
167.27,138.0,127.28,7.40 m,7.51 m
129.30,128.70
Ph
7.48 m,7.36 m,7.43 m
133.96,127.28,128.96
化合物2:Taxa-4(20),11-diene-2α,5α,10β-triacetoxy-14β(α-Methyl)butyrate无色块状结晶,MP99-100℃。FAB-MS m/z 569[M+Na]+;IRυKBrmaxcm-1)3024,1630(烯键),1736(RCOO-和OAc),1454,1370(脂肪链),1235,1011(C-O-C);1H-NMR,13C-NMR谱数据(CDCl3)(见表3)。表3 化合物2的氢谱与碳谱数据 Pos.
, http://www.100md.com
δ1H
δ13C
DEPT
1
1.88 brs
59.43
CH
2
5.35 d(6.5)
70.71
CH
3
, 百拇医药 2.95 d(6.5)
42.30
CH
4
142.4
C
5
5.29 brs
78.30
CH
6
1.82 m
29.06
, http://www.100md.com
CH2
7
1.94 m
33.98
CH2
8
39.80
C
9
2.42 m,1.62 m
44.06
CH2
, 百拇医药
10
6.07 dd
70.27
CH
11
135.5
C
12
134.9
C
13
2.86 t,2.39 m
39.80
, http://www.100md.com
CH2
14
5.00 dd
70.27
CH
Pos.
δ1H
δ13C
DEPT
15
37.41
C
, http://www.100md.com
16
1.67 s
25.56
CH3
17
1.13 s
31.85
CH3
18
2.09 s
21.08
CH3
, http://www.100md.com
19
0.85 s
22.63
CH3
20
4.82 s,5.26 s
116.9
CH2
1’
175.7
C=O
2’
, http://www.100md.com
2.34 m
41.22
CH
3’
1.62 m,1.48 m
26.89
CH2
4’
0.88 m
11.73
CH3
5’
, http://www.100md.com
1.12 brs
16.72
CH3
OAc
2.18 s,2.06 s,170.1,170.3,170.4
CO×3
2.02
21.6,22.0,21.5
CH3×3
本文由江苏省自然科学基金资助
参考文献
, 百拇医药
[1]Wani M C,Talor H L,Wall M E et al.The isolation and structure of taxol,a novel antileukemic and antitumor Agent from Taxus brevifolia Plant antitumor.VI.J Amer Chem Soc,1971;93:2325~7
[2]黄开胜,梁敬钰,天然紫杉烷二萜化合物的核磁共振氢谱规律 中国药科大学学报,1998;29(4):259
[3]闵知大,江虹,梁敬钰,美丽红豆杉紫杉烷二萜的研究 药学学报 1989;24(9):673~7
[4]Jingyu Liang,David G.I.Kingston,Two new taxane deterpenoids from Taxus mairei J Nat Prod 1993;56(4):594~9
, 百拇医药
[5]XIAO-JIE TONG,Yeuk-chuen Liu and Ching-jer Chang,Taxanes from Taxus×Media Hicksii Natural Product Letters,1995;6(3)197~202.
[6]陈未名等:云南红豆杉中四个新的紫杉烷类化合物的分离和结构鉴定 药学学报,1994;29(3):207~14
[7]Louis H.D.Jenniskens,Erik L.M.van Rozendaal,Identification of six taxine alkaloids from Taxus baccata needles J.Nat.Prod.,1996;59:117
[8]Appendino G,The structural elucidation of taxoids.Elsevier Science B.V.,1995;
[9]XIAO-JIE TONG,Yeuk-chuen Liu and Ching-jer Chang,Taxanes from Taxus×Media Hicksii,Natural Product Letters,1995;6(3):197~202, 百拇医药