定量背向散射成像研究*
作者:李 莉 吴朝霞
单位:(西安交通大学 生物医学工程与仪器系,西安 710049)
关键词:背向散射系数;超声成像;数据减少方法;超声诊断
生物医学工程学杂志990123 李 莉 吴朝霞 综述 程敬之 审校
内容摘要 综述了几种超声背向散射成像方法。作为一种基本方法,数据减少法(Data reduction method)通过计算获得绝对背向散射系数,而参考模型法则更易于临床应用。同时,还简述了一种易被医生接受的、直观的成像方法,它将散射源尺寸、散射强度对背向散射回波的影响区分开来,并分别成像。最后,简要介绍了超声背向散射成像的新进展。
Quantitative Backscatter Imaging
, http://www.100md.com
Li Ly Wu Zhaoxia Cheng Jingzhi
(Department of Biomedical Engineering, Xi'an Jiaotong University, Xi'an 710049)
Abstract Some methods for producing quantitative backscatter images are presented. As a basis, the data reduction method calculates absolute coefficient. The reference phantom method is easier to implement for clinical application. An application method is also presented which separates the contributions of scatter size and scattering strength to backscatter signal and displays Size image and Strength image separately. This method is generally accepted by the medical community. At last, the recent development of ultrasonic backscatter imaging is reviewed.
, 百拇医药
Key words Backscatter coefficient Ultrasonic imaging Data reduction method Ultrasonic diagnosis
1 引言
B型扫描是常用的诊断超声方式,它由软组织的脉冲回波信号生成灰阶图像,此图像与被探查组织的吸收和散射特性有关。但它在很大程度上依赖于操作者和仪器,因而现有的超声显像(Ultrasonography),只是一个定性,或者顶多是一个“半定量”的成像方式。
大量研究表明:定量超声成像系统能对某些病变提供更灵敏的诊断,例如,肝硬化和纤维化慢性肝炎的回声幅度比正常肝的强。Garra等人[1]也发现正常肝和高歇病(Gaucher's Disease)患者的肝脏之间回声性和衰减有差异,并且脂肪肝的衰减较大。尽管现有的超声设备能容易地发现晚期肝脏疾病,但都未能有效地发现早期弥漫性病变,Sandford等人研究肝组织活检结果和B超图像特征(诸如病灶区域纹理,回声性及衰减)的相关性,结果表明:在脂肪肝和纤维肝中,两者呈现较强的相关性。但对于早期疾病诊断,这种方法仍存在一定局限性。
, 百拇医药
对于其它部位,肿大的脾的回声弱于正常脾,这些结果建议定量成像可用于诊断这些器官的病变。Lamminen等人说明了肌肉组织的散射受疾病进程的影响[2]。Helguera[3]等人发现有杜兴病(Duchenne's)肌肉损伤的病人,其肌肉积分背向散射值高于正常人15 dB。
除了散射和衰减之外,散射和衰减的频率依赖性以及由与频率有关的散射参数计算出的组织结构特性,均可作为诊断的依据。
常用来表征软组织超声散射特性的参数是背向散射系数(Backscatter Coefficient,BSC),许多学者研究了正常和异常的组织的BSC[4,5]。O'Donnell和Reilly[6,7]最初提出了BSC成像。Zagzebski[8]等人的研究小组更进一步发展了这种成像,这种图像实际上是将某区域的超声BSC空间映射成灰阶图像。无论局部BSC是估计得到,还是由精确测量而得,与常规超声设备相比,它均能更灵敏地发现局部的组织变化,特别是更能早期诊断疾病并能用来监视治疗效果。
, 百拇医药
本文将讨论定量背向散射成像的基本方法及其临床应用。总的来看,定量背向散射成像的基本方法有两种,基于数据的绝对减少(Absolute Data Reduction)方法的BSC成像,和参考模型法BSC成像。上述两种方法均能正确获得试块的BSC图像,但从现有的临床成像技术来考虑,后者更容易实现。
2 基于绝对数据减少方法的定量成像
2.1 成像算法
在定量BSC成像的这种方法中,数据采集和数据减少方法在文献[9,10]中有详细介绍,这些方法以前应用于测量体积小的实验样本的BSC,在现在的应用中,散射物体包含了较大体积的组织或超出探头表面的实验试块,而不仅仅是隔离样本。在回波数据采集期间,传感器对样本进行对称扫查,并且其空间轴心保持不变。对样本的回波信号采用数据减少方法。传感器在样本上方垂直于声束轴移动,某个位置(由扫查平面n和声束线m确定)发射超声脉冲后,记录一段时间的回波信号。回波连续分段,每段用下标1表示,第1段传感器的回波信号电压用Vs(t;l,m,n)表示,t是脉冲发射后的时间。
, 百拇医药
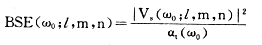
首先,对整个扫查容积获得的回声信号,在这个体积中每个位置的BSC由相邻点平均估值获得。背向散射估计(Backscatter Estimator,以下均用BSE表示)由下式计算:
上式分子是回波电压的付里叶变换的模的平方,分母是由声路径,传感器波束以及仪器影响决定的。
2.2 仿真材料成像以及分辨率的改善
上述方法已对超声组织仿真试块作了实验,实验采用单阵元固定聚集探头对试块进行直线扫查,采用3种不同中心频率的探头,并利用3 μs的声脉冲猝发器。对于每个扫查面,每两个连续脉冲回波序列之间探头移动1 mm,而扫查平面之间的距离也为1 mm。探头处于每个位置所得的回声信号数字化,存入磁盘待处理。用3 μs的时间间隔将回波信号分段,通过间隔重迭分段,每1.3 μs可得到一个新的BSE,相当于1 mm的轴向位移增量。研究结果表明:对于3种中心频率,其理论值(对仿真材料运用Faran原理而得)和由图像测量的背向散射系数相比,误差在6%以内。
, 百拇医药
为了获得有意义的结果,测量背向散射系数的同时需测量衰减系数(Attenuation Coefficient,AC)。在目前的试验中,运用窄带替代技术获得样本的AC,当AC未知时,必须对它进行估计。在AC和BSC均为常数情况下估计AC,文献[11,12]作了研究。当必须同时测定BSE和AC时,将导致BSE估计的不确定性。
上述方法存在的问题是得到的图像粗糙且空间分辨率很低,这是由于数据采集和分析受窄带脉冲和相当长的时间持续门的影响。因此,通常采用短持续时间门和宽带脉冲来解决存在的问题。在宽带条件下,Madsen等人提出了迭代数据分析技术。这种修正迭代技术中,BSE被看作随ω变化的截尾能量序列。这种技术已用于测定低衰减模型的BSE,当然,它也适用于测定类似组织衰减的模型。另一方面,在回波频谱关于中心频率对称和分析仅限于中心频率附近的情况下,采用短脉冲和短时间门可不考虑散射频率依赖性的影响。它不仅可以提高空间分辨率,而且还可通过平均而减少斑纹噪声。
2.3 在体背向散射系数成像
, 百拇医药
为得到在体BSE图像,可对实时临床超声扫描而得的回波信号运用绝对数据减少技术。系统获得超声回波数据后,数据分析和图像显示离线进行。对一定深度的大器官(如肝脏)成像,就需用时间增益补偿(TGC)对射频数据进行修正,在分析人体数据时还必须考虑脂肪、肌肉层的影响。
3 利用参考模型定量成像
3.1 方法
在以前介绍的数据减少方法中,检测BSE的精度与传感器的压力场及短时操作过程相关。同时还必须考虑到计算所需时间以及发射孔径的大小、形状测量的准确度。
参考模型定量成像法不需预先知道换能器的声束形状或仪器的脉冲发射及接收特性方面的先验知识。此方法将已知背向散射和衰减系数的参考试块的回波信号和样本的回波信号作比较。测量时,将系统灵敏度控制及TGC调节好后,先得到病人或样本中感兴趣区的回声信号,然后在同样实验设置下,测定参考试块的回波信号,二者回波信号幅度平方的比值即可得到样本的背向散射,衰减系数[13]。
, 百拇医药
3.2 统计不确定性(Statistical Uncertatintie-
s)
在背向散射系数与衰减系数估计中存在两种不确定性:其一是方法学上的近似引入的误差以及仪器的误差,如电子噪声和仪器的不精确性,组织内的混响,组织特性均匀的假设等均可导致不确性。这些方面的影响,尤其是组织的效应,仍然是许多学者正在研究的课题;第二类误差源于统计不确定性,这种不确定性是由于空间随机分布的散射粒子的介质引起的。
4 定量超声背散射的应用及新进展
超声组织定征已有20年的历史,它的目的是在保持现有B超成像优点(实时、价廉、无损)的前提下,定量地研究组织特性,增强超声对疾病的检测能力,为临床提供更多的诊断信息。
本文主要综述了组织定量BSE超声成像方法,此方法应用了绝对数量减少技术,这种技术最初用于小样本的超声BSC测量。这种成像还应用了参考试块方法,声束形状以及分析过程中保持测量的瞬时性,这种“绝对”的方法第一次用于人体的BSE成像研究。
, http://www.100md.com
根据现有的超声设备,有参考试块的数据减少法能方便地完成成像,此方法得到的在体正常肝的衰减系数与前人给出的结果一致。在回波带宽内单一频率上在体BSC定量成像是一种新的方法,由这些图像得到的BSC均在前人所得的离体肝的BSE值的范围之内。也和o'Donnell、Reilly等人得出的单频率在体测量值一致,参考法的精度取决于参考试块的BSC测量的准确性。因此,参考试块BSC测量必须用绝对法加以精确地校正。
另外还需进一步研究补偿病人体壁的衰减,它仍是测量中不确定性的主要来源之一。不确定性最终取决于回声信号幅度的统计波动,随着统计独立样本点的增加,这种随机影响将减小。如果此方法的诊断能力得以证明,它将有广阔的应用前景。
今后的工作在于发挥这种方法的潜力以区分正常和异常组织,从而提高超声的诊断能力。Wear[14]等对15名正常人和19例病人进行在体BSE测量,并与离体结果比较,并未发现大的区别。有许多学者在进一步研究组织反射特点的基础上努力寻求对应的处理方法,希望能明显地区分正常和异常组织。
, http://www.100md.com
人们一直在寻找一个特定的超声特征量用以辅助诊断。但是没有一个特征量足以区分各种各样的疾病。为此必须寻求最小的特征空间,检测并识别疾病状态。Insana[15]等人提出一种新的成像方法,它将背向散射信号中的尺寸和散射强度信息分别提取并成像(Size Image, Strength Image),在得到BSE的前提下,利用BSE来计算散射源直径D和净散射强度S。D的计算需要散射源的一定先验知识,而净散射强度S由BSE的强度决定。它们能相互补充,从而提高对低对比度目标的检测力,并对占位性病变(肝、脾、肾)的诊断提供更丰富的信息,也比直接计算BSE值更直观、更有利于辅助诊断。
BSC成像除应用于软组织(肝、肾、脾、肌肉)诊断外,Miller[16]等人研究了实时定量背向散射超声成像,并利用它直接对人和动物心肌进行定征,检测心脏结构变化和心功能的变化。实验结果表明:这种成像方法是非常有效的。
另外,也有基于其它声学参量(如积分背向散射系数(Integrated Backscatter Coefficient)、非线性参量B/A、角度散射等)成像的报导[17]。已有实验结果表明用脉冲回波法无法检测的组织变质,用B/A法则能明显区分变质部分。有报导认为这种方法有可能将含有生物组织动力学信息应用于其它所不能明显区别的肿瘤初期诊断和乳癌的快速诊断上。因而研究非线性参量声成像的方法和技术已为各国所关注。目前开展的研究有泵浦波相位检测B/A断面成像法、二次谐波法B/A层析成像、参量阵法B/A层析成像等。
, 百拇医药
总之,定量超声背向散射,成像作为常规B超仪的发展,它有着广阔的应用前景。
* 国家自然科学基金资助项目(69631020)
作者单位:程敬之 审校(西安交通大学 生物医学工程与仪器系,西安 710049)
参考文献
[1] Gara BS, Insana MF, Shawker et al. Quantitative ultrasonic detection and classfication of diffuse liver disease. Invest Radiol, 1989;24∶196
[2] Lamminen A, Jaaskelainem J, Rapola J et al. High frequency ultrasonography of skeletal muscle in children with neuromuscular disease. J Ultras Med, 1988;7∶505
, 百拇医药
[3] Helguera M, Mottley JG, Pandya S et al. Quantitative measures of backscater from human skeletal muscle;changes with Duchenne's muscular dystrophy. Program and Abstracts for the 16 th Int Symp on Ultrasonic Imaging and Tissue Characterization. Ultras Imag 1991,13∶190
[4] Sehgal C, Greenleaf J. Scattering of ultrasound by tissues. Ultras Imag, 1984;6∶60
[5] Nicholas D, Hill CR, Nassiri DK et al. Evaluation of backscattering coefficients for excised human tissues; principles and techniques. Ultras Med Biol,1982;8∶7
, 百拇医药
[6] O'Donnell M. Quantitative volume backscatter imaging, IEEE Trans Sonics Ultras,Su-30,1983;26
[7] O'Donnell M, Reilly HF. Clinical evaluation of the B′-scan, IEEE Trans Sonics Ultras, SU-32,1983,26
[8] Zagzebski JA, Yao LX, Boot EJ et al. Quantitative backscatter imaging in ultrasonic scattering in biomedical tissue. 1993
[9] Madsen EM, Insaha M, Zagzebski J et al. Method of data reduction for accurate determination of ultrasonic backscatter coefficients. J Acoust Soc Am, 1984;76∶913
, http://www.100md.com
[10] Insana MF, Madsen EL, Hall T J et al. Tests of the accuracy of a method of data reduction for determining backscatter coefficients. J Acoust Soc Am,1986;79∶1230
[11] Kue R. Clinical application of ultrasound attenuation coefficient estimation technique for liver pathology characterization, IEEE Trans Biomed Eng,1980;27∶312
[12] Meyer C, Herron D, Carson P, et al. Thieme, G.Bookstern, F, and Johnson, M, Estimation of ultrasonic attenuation and meanbackscatter size via digital signal processing. Ultras Imag, 1984;13
, 百拇医药
[13] Yao L, Zagzebski J, Madsen E et al. Backscatter coefficient measurements using a fererence phantom to extract depth-dependent instrument factors. Ultras Imag, 1990;12∶58
[14] Wear KA. In vivo measuerment of backscatter coefficient in human liver and kidney. 20th International Symp. on Ultrasonic Imaging and Tissue Characterization, 1995.
[15] Insana MF, Hall TJ. Characterize the microstructure of random media using ultrasound. Phys Med Biol, 1990;35∶10
, 百拇医药
[16] Miller JG. A Backscatter-based approach to on-line quantification of cardiac function. Eighteenth International Symp. on Ultrasonic Imaging and Tissue Characterization, 1993
[17] Marshall TR, Obinson. Real-time angular scatter imaging system for improved tissue contract in diagnosis ultrasound imaging. IEEE T-UFFC,1994;41∶44
(收稿:1997-02-27 修回:1997-06-05), 百拇医药
单位:(西安交通大学 生物医学工程与仪器系,西安 710049)
关键词:背向散射系数;超声成像;数据减少方法;超声诊断
生物医学工程学杂志990123 李 莉 吴朝霞 综述 程敬之 审校
内容摘要 综述了几种超声背向散射成像方法。作为一种基本方法,数据减少法(Data reduction method)通过计算获得绝对背向散射系数,而参考模型法则更易于临床应用。同时,还简述了一种易被医生接受的、直观的成像方法,它将散射源尺寸、散射强度对背向散射回波的影响区分开来,并分别成像。最后,简要介绍了超声背向散射成像的新进展。
Quantitative Backscatter Imaging
, http://www.100md.com
Li Ly Wu Zhaoxia Cheng Jingzhi
(Department of Biomedical Engineering, Xi'an Jiaotong University, Xi'an 710049)
Abstract Some methods for producing quantitative backscatter images are presented. As a basis, the data reduction method calculates absolute coefficient. The reference phantom method is easier to implement for clinical application. An application method is also presented which separates the contributions of scatter size and scattering strength to backscatter signal and displays Size image and Strength image separately. This method is generally accepted by the medical community. At last, the recent development of ultrasonic backscatter imaging is reviewed.
, 百拇医药
Key words Backscatter coefficient Ultrasonic imaging Data reduction method Ultrasonic diagnosis
1 引言
B型扫描是常用的诊断超声方式,它由软组织的脉冲回波信号生成灰阶图像,此图像与被探查组织的吸收和散射特性有关。但它在很大程度上依赖于操作者和仪器,因而现有的超声显像(Ultrasonography),只是一个定性,或者顶多是一个“半定量”的成像方式。
大量研究表明:定量超声成像系统能对某些病变提供更灵敏的诊断,例如,肝硬化和纤维化慢性肝炎的回声幅度比正常肝的强。Garra等人[1]也发现正常肝和高歇病(Gaucher's Disease)患者的肝脏之间回声性和衰减有差异,并且脂肪肝的衰减较大。尽管现有的超声设备能容易地发现晚期肝脏疾病,但都未能有效地发现早期弥漫性病变,Sandford等人研究肝组织活检结果和B超图像特征(诸如病灶区域纹理,回声性及衰减)的相关性,结果表明:在脂肪肝和纤维肝中,两者呈现较强的相关性。但对于早期疾病诊断,这种方法仍存在一定局限性。
, 百拇医药
对于其它部位,肿大的脾的回声弱于正常脾,这些结果建议定量成像可用于诊断这些器官的病变。Lamminen等人说明了肌肉组织的散射受疾病进程的影响[2]。Helguera[3]等人发现有杜兴病(Duchenne's)肌肉损伤的病人,其肌肉积分背向散射值高于正常人15 dB。
除了散射和衰减之外,散射和衰减的频率依赖性以及由与频率有关的散射参数计算出的组织结构特性,均可作为诊断的依据。
常用来表征软组织超声散射特性的参数是背向散射系数(Backscatter Coefficient,BSC),许多学者研究了正常和异常的组织的BSC[4,5]。O'Donnell和Reilly[6,7]最初提出了BSC成像。Zagzebski[8]等人的研究小组更进一步发展了这种成像,这种图像实际上是将某区域的超声BSC空间映射成灰阶图像。无论局部BSC是估计得到,还是由精确测量而得,与常规超声设备相比,它均能更灵敏地发现局部的组织变化,特别是更能早期诊断疾病并能用来监视治疗效果。
, 百拇医药
本文将讨论定量背向散射成像的基本方法及其临床应用。总的来看,定量背向散射成像的基本方法有两种,基于数据的绝对减少(Absolute Data Reduction)方法的BSC成像,和参考模型法BSC成像。上述两种方法均能正确获得试块的BSC图像,但从现有的临床成像技术来考虑,后者更容易实现。
2 基于绝对数据减少方法的定量成像
2.1 成像算法
在定量BSC成像的这种方法中,数据采集和数据减少方法在文献[9,10]中有详细介绍,这些方法以前应用于测量体积小的实验样本的BSC,在现在的应用中,散射物体包含了较大体积的组织或超出探头表面的实验试块,而不仅仅是隔离样本。在回波数据采集期间,传感器对样本进行对称扫查,并且其空间轴心保持不变。对样本的回波信号采用数据减少方法。传感器在样本上方垂直于声束轴移动,某个位置(由扫查平面n和声束线m确定)发射超声脉冲后,记录一段时间的回波信号。回波连续分段,每段用下标1表示,第1段传感器的回波信号电压用Vs(t;l,m,n)表示,t是脉冲发射后的时间。
, 百拇医药
首先,对整个扫查容积获得的回声信号,在这个体积中每个位置的BSC由相邻点平均估值获得。背向散射估计(Backscatter Estimator,以下均用BSE表示)由下式计算:
上式分子是回波电压的付里叶变换的模的平方,分母是由声路径,传感器波束以及仪器影响决定的。
2.2 仿真材料成像以及分辨率的改善
上述方法已对超声组织仿真试块作了实验,实验采用单阵元固定聚集探头对试块进行直线扫查,采用3种不同中心频率的探头,并利用3 μs的声脉冲猝发器。对于每个扫查面,每两个连续脉冲回波序列之间探头移动1 mm,而扫查平面之间的距离也为1 mm。探头处于每个位置所得的回声信号数字化,存入磁盘待处理。用3 μs的时间间隔将回波信号分段,通过间隔重迭分段,每1.3 μs可得到一个新的BSE,相当于1 mm的轴向位移增量。研究结果表明:对于3种中心频率,其理论值(对仿真材料运用Faran原理而得)和由图像测量的背向散射系数相比,误差在6%以内。
, 百拇医药
为了获得有意义的结果,测量背向散射系数的同时需测量衰减系数(Attenuation Coefficient,AC)。在目前的试验中,运用窄带替代技术获得样本的AC,当AC未知时,必须对它进行估计。在AC和BSC均为常数情况下估计AC,文献[11,12]作了研究。当必须同时测定BSE和AC时,将导致BSE估计的不确定性。
上述方法存在的问题是得到的图像粗糙且空间分辨率很低,这是由于数据采集和分析受窄带脉冲和相当长的时间持续门的影响。因此,通常采用短持续时间门和宽带脉冲来解决存在的问题。在宽带条件下,Madsen等人提出了迭代数据分析技术。这种修正迭代技术中,BSE被看作随ω变化的截尾能量序列。这种技术已用于测定低衰减模型的BSE,当然,它也适用于测定类似组织衰减的模型。另一方面,在回波频谱关于中心频率对称和分析仅限于中心频率附近的情况下,采用短脉冲和短时间门可不考虑散射频率依赖性的影响。它不仅可以提高空间分辨率,而且还可通过平均而减少斑纹噪声。
2.3 在体背向散射系数成像
, 百拇医药
为得到在体BSE图像,可对实时临床超声扫描而得的回波信号运用绝对数据减少技术。系统获得超声回波数据后,数据分析和图像显示离线进行。对一定深度的大器官(如肝脏)成像,就需用时间增益补偿(TGC)对射频数据进行修正,在分析人体数据时还必须考虑脂肪、肌肉层的影响。
3 利用参考模型定量成像
3.1 方法
在以前介绍的数据减少方法中,检测BSE的精度与传感器的压力场及短时操作过程相关。同时还必须考虑到计算所需时间以及发射孔径的大小、形状测量的准确度。
参考模型定量成像法不需预先知道换能器的声束形状或仪器的脉冲发射及接收特性方面的先验知识。此方法将已知背向散射和衰减系数的参考试块的回波信号和样本的回波信号作比较。测量时,将系统灵敏度控制及TGC调节好后,先得到病人或样本中感兴趣区的回声信号,然后在同样实验设置下,测定参考试块的回波信号,二者回波信号幅度平方的比值即可得到样本的背向散射,衰减系数[13]。
, 百拇医药
3.2 统计不确定性(Statistical Uncertatintie-
s)
在背向散射系数与衰减系数估计中存在两种不确定性:其一是方法学上的近似引入的误差以及仪器的误差,如电子噪声和仪器的不精确性,组织内的混响,组织特性均匀的假设等均可导致不确性。这些方面的影响,尤其是组织的效应,仍然是许多学者正在研究的课题;第二类误差源于统计不确定性,这种不确定性是由于空间随机分布的散射粒子的介质引起的。
4 定量超声背散射的应用及新进展
超声组织定征已有20年的历史,它的目的是在保持现有B超成像优点(实时、价廉、无损)的前提下,定量地研究组织特性,增强超声对疾病的检测能力,为临床提供更多的诊断信息。
本文主要综述了组织定量BSE超声成像方法,此方法应用了绝对数量减少技术,这种技术最初用于小样本的超声BSC测量。这种成像还应用了参考试块方法,声束形状以及分析过程中保持测量的瞬时性,这种“绝对”的方法第一次用于人体的BSE成像研究。
, http://www.100md.com
根据现有的超声设备,有参考试块的数据减少法能方便地完成成像,此方法得到的在体正常肝的衰减系数与前人给出的结果一致。在回波带宽内单一频率上在体BSC定量成像是一种新的方法,由这些图像得到的BSC均在前人所得的离体肝的BSE值的范围之内。也和o'Donnell、Reilly等人得出的单频率在体测量值一致,参考法的精度取决于参考试块的BSC测量的准确性。因此,参考试块BSC测量必须用绝对法加以精确地校正。
另外还需进一步研究补偿病人体壁的衰减,它仍是测量中不确定性的主要来源之一。不确定性最终取决于回声信号幅度的统计波动,随着统计独立样本点的增加,这种随机影响将减小。如果此方法的诊断能力得以证明,它将有广阔的应用前景。
今后的工作在于发挥这种方法的潜力以区分正常和异常组织,从而提高超声的诊断能力。Wear[14]等对15名正常人和19例病人进行在体BSE测量,并与离体结果比较,并未发现大的区别。有许多学者在进一步研究组织反射特点的基础上努力寻求对应的处理方法,希望能明显地区分正常和异常组织。
, http://www.100md.com
人们一直在寻找一个特定的超声特征量用以辅助诊断。但是没有一个特征量足以区分各种各样的疾病。为此必须寻求最小的特征空间,检测并识别疾病状态。Insana[15]等人提出一种新的成像方法,它将背向散射信号中的尺寸和散射强度信息分别提取并成像(Size Image, Strength Image),在得到BSE的前提下,利用BSE来计算散射源直径D和净散射强度S。D的计算需要散射源的一定先验知识,而净散射强度S由BSE的强度决定。它们能相互补充,从而提高对低对比度目标的检测力,并对占位性病变(肝、脾、肾)的诊断提供更丰富的信息,也比直接计算BSE值更直观、更有利于辅助诊断。
BSC成像除应用于软组织(肝、肾、脾、肌肉)诊断外,Miller[16]等人研究了实时定量背向散射超声成像,并利用它直接对人和动物心肌进行定征,检测心脏结构变化和心功能的变化。实验结果表明:这种成像方法是非常有效的。
另外,也有基于其它声学参量(如积分背向散射系数(Integrated Backscatter Coefficient)、非线性参量B/A、角度散射等)成像的报导[17]。已有实验结果表明用脉冲回波法无法检测的组织变质,用B/A法则能明显区分变质部分。有报导认为这种方法有可能将含有生物组织动力学信息应用于其它所不能明显区别的肿瘤初期诊断和乳癌的快速诊断上。因而研究非线性参量声成像的方法和技术已为各国所关注。目前开展的研究有泵浦波相位检测B/A断面成像法、二次谐波法B/A层析成像、参量阵法B/A层析成像等。
, 百拇医药
总之,定量超声背向散射,成像作为常规B超仪的发展,它有着广阔的应用前景。
* 国家自然科学基金资助项目(69631020)
作者单位:程敬之 审校(西安交通大学 生物医学工程与仪器系,西安 710049)
参考文献
[1] Gara BS, Insana MF, Shawker et al. Quantitative ultrasonic detection and classfication of diffuse liver disease. Invest Radiol, 1989;24∶196
[2] Lamminen A, Jaaskelainem J, Rapola J et al. High frequency ultrasonography of skeletal muscle in children with neuromuscular disease. J Ultras Med, 1988;7∶505
, 百拇医药
[3] Helguera M, Mottley JG, Pandya S et al. Quantitative measures of backscater from human skeletal muscle;changes with Duchenne's muscular dystrophy. Program and Abstracts for the 16 th Int Symp on Ultrasonic Imaging and Tissue Characterization. Ultras Imag 1991,13∶190
[4] Sehgal C, Greenleaf J. Scattering of ultrasound by tissues. Ultras Imag, 1984;6∶60
[5] Nicholas D, Hill CR, Nassiri DK et al. Evaluation of backscattering coefficients for excised human tissues; principles and techniques. Ultras Med Biol,1982;8∶7
, 百拇医药
[6] O'Donnell M. Quantitative volume backscatter imaging, IEEE Trans Sonics Ultras,Su-30,1983;26
[7] O'Donnell M, Reilly HF. Clinical evaluation of the B′-scan, IEEE Trans Sonics Ultras, SU-32,1983,26
[8] Zagzebski JA, Yao LX, Boot EJ et al. Quantitative backscatter imaging in ultrasonic scattering in biomedical tissue. 1993
[9] Madsen EM, Insaha M, Zagzebski J et al. Method of data reduction for accurate determination of ultrasonic backscatter coefficients. J Acoust Soc Am, 1984;76∶913
, http://www.100md.com
[10] Insana MF, Madsen EL, Hall T J et al. Tests of the accuracy of a method of data reduction for determining backscatter coefficients. J Acoust Soc Am,1986;79∶1230
[11] Kue R. Clinical application of ultrasound attenuation coefficient estimation technique for liver pathology characterization, IEEE Trans Biomed Eng,1980;27∶312
[12] Meyer C, Herron D, Carson P, et al. Thieme, G.Bookstern, F, and Johnson, M, Estimation of ultrasonic attenuation and meanbackscatter size via digital signal processing. Ultras Imag, 1984;13
, 百拇医药
[13] Yao L, Zagzebski J, Madsen E et al. Backscatter coefficient measurements using a fererence phantom to extract depth-dependent instrument factors. Ultras Imag, 1990;12∶58
[14] Wear KA. In vivo measuerment of backscatter coefficient in human liver and kidney. 20th International Symp. on Ultrasonic Imaging and Tissue Characterization, 1995.
[15] Insana MF, Hall TJ. Characterize the microstructure of random media using ultrasound. Phys Med Biol, 1990;35∶10
, 百拇医药
[16] Miller JG. A Backscatter-based approach to on-line quantification of cardiac function. Eighteenth International Symp. on Ultrasonic Imaging and Tissue Characterization, 1993
[17] Marshall TR, Obinson. Real-time angular scatter imaging system for improved tissue contract in diagnosis ultrasound imaging. IEEE T-UFFC,1994;41∶44
(收稿:1997-02-27 修回:1997-06-05), 百拇医药