3-氯-4-氟苯胺基甲叉基丙二酸二乙酯的新合成方法
作者:张为革 章 杰 王绍杰 许亦斌
单位:沈阳药科大学制药系, 沈阳 110015
关键词:3-氯-4-氟苯胺基甲叉基丙二酸二乙酯;羟基甲叉基丙二酸二乙酯;氟哌酸;中间体;合成
沈阳药科大学学报990307 摘 要 设计了以羟基甲叉基丙二酸二乙酯钠盐为原料合成3-氯-4-氟苯胺基甲叉基丙二酸二乙酯的方法,收率为51.7%.
分类号 R914.4
A Novel Synthesis of 〔〔(3-Chloro-4-fluorophenyl)amino〕methylene〕malonic Acid Diethyl Ester
Zhang Weige,Zhang Jie,Wang Shaojie,Xu Yibin
, http://www.100md.com
Department of Pharmaceutics,Shenyang Pharmaceutical University,Shenyang 110015
Abstract 〔〔(3-Chloro-4-fluorophenyl)amino〕methylene〕malonic acid diethyl ester is the key intermediate for the synthesis of the antibacterial drug norfloxacin.A novel synthetic method starting from hydroxylmethylene malonic acid diethyl ester was designed and the overall yield was 51.7%.
Key words 〔〔(3-chloro-4-fluorophenyl)amino〕methylene〕malonic acid diethyl ester;hydroxymethylenemalonic acid diethyl ester ;norfloxacin;intermediate;synthesis
, 百拇医药
氟哌酸〔1-ethy1-6-fluoro-1,4-dihydro-4-oxo-7-(1-piperizinyl)-3-quinoline carboxylic acid,norfloxacin〕是日本杏林公司1978年合成的喹喏酮类抗菌药物,不仅对革兰氏阴性菌具有很强的抗菌活性,而且对革兰氏阳性菌包括对萘啶酸和吡哌酸边缘敏感的细菌也有效.1979年7月开始在日本进行药理及临床研究,并于1983年5月首先在意大利上市〔1〕.国内现有多个厂家生产,广泛应用于临床,主要用于治疗泌尿系统和消化系统感染.根据目前国内外文献报道,有多条合成氟哌酸的路线,常用的路线〔2〕见图1.
Fig.1 The syntletis route of Norfloxacin
由图1可看出,3-氯-4-氟苯胺基甲叉基丙二酸二乙酯是氟哌酸合成中的重要中间体.据文献报道,3-氯-4-氟苯胺基甲叉基丙二酸二乙酯〔Ⅲ〕的合成方法共有2种,见图2,图3.
, 百拇医药
Fig.2 The first synthetic route of 〔〔3-chloro-4-fluorophenylamino〕methylene〕malonic acid diethyl ester
Fig.3 The second synthetic route of 〔〔3-chloro-4-fluorophenylamino〕methylene〕malonic acid diethyl ester
路线1收率较高,存在问题是,a.反应温度较高;b.原料乙氧甲叉丙二酸二乙酯沸点较高,需高温真空精馏才能得到.
路线2的优点是无需使用乙氧甲叉丙二酸二乙酯,所存在的问题是,a.此路线副反应较多,收率不够理想;b.反应温度较高.以上两条路线各有优点,但其共同的缺点是反应温度较高,反应时间较长,这给工业化生产带来了一定的不便.
, 百拇医药
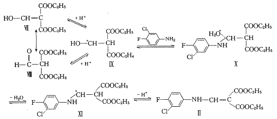
设想使用羟基甲叉基丙二酸二乙酯〔5〕(Ⅶ)替代乙氧甲叉基丙二酸二乙酯与氟氯苯胺反应也可制得3-氯-4-氟苯胺基甲叉基丙二酸二乙酯(Ⅱ),其反应机理见图4.
Fig.4 Reaction mechanism
羟基甲叉基丙二酸二乙酯(Ⅶ)和甲酰基丙二酸二乙酯(Ⅷ)是同一化合物的2种共振正则结构,在酸的作用下,可形成碳正离子(Ⅸ).氟氯苯胺中电负性的胺基可亲核进攻碳正离子(Ⅸ),得到(Ⅹ),经去脱水、质子化得3-氯-4-氟苯胺基甲叉基丙二酸二乙酯(Ⅱ).
由此反应机理,我们设计的合成路线如图5.
Fig.5 The new synthetic route of 〔〔3-chloro-4-fluoro-phenylamino〕methylene〕malonic acid diethyl ester
, 百拇医药
1 实验方法
毛细管法测定熔点,温度未经校正.红外光谱用IFS55傅立叶变换红外光谱仪测定,KBr压片.1H-NMR用ARX-300核磁共振仪测定.氘代氯仿作溶剂.所用试剂均为分析纯试剂.
1.1 羟基甲叉基丙二酸二乙酯钠盐(Ⅹ Ⅳ)的制备
在装有回流冷凝管、温度计、玻璃塞的三颈瓶中加入100 mL乙醇,将4.6 g(0.2 mol)钠加到三颈瓶中制备乙醇钠.向乙醇钠/乙醇溶液中加入25 mL(0.15 mol)丙二酸二乙酯和41 mL(0.44 mol)甲酸乙酯,控制反应温度为66~70℃,搅拌反应10 h.反应完毕,减压蒸出50 mL乙醇,冷却,抽滤得到淡黄色固体19.5 g,熔点为178~182℃,收率为62.0%.
1.2 3-氯-4-氟苯胺基甲叉基丙二酸二乙酯(Ⅱ)的制备
, 百拇医药
将2 g(0.009 5 mol)羟基甲叉基丙二酸二乙酯钠盐置于40 mL乙醇中,加入1.7 g(0.011 7 mol)氟氯苯胺,用氯化氢乙醇溶液调反应液pH=4后,反应20 min,减压蒸出乙醇,很黄色油状物,以石油醚∶乙酸乙酯=9∶1的混合溶剂作展开剂进行柱层析分离,得淡黄色油状物,用石油醚重结晶得白色固体1.55 g,为3-氯-4-氟苯胺次甲丙二酸二乙酯纯品,熔点72~74℃,收率51.7%.IRνKBrmaxcm-1∶3 471.2,1 721.2,1 658.7,1 622.4,1 506.5,1 268.8,1 224.7,1 074.1,796.2.核磁共振氢谱(CDCl3)δ:1.40~1.31(6 H m J=7.1 Hz CH3),4.34~4.22(4 Hm J=7.1 Hz CH2),7.22~6.98(3 H m aromatic H),8.40~8.35(1 H d J=13.4 Hz NCH),11.01~10.96(1 H d J=13.4 Hz HNC).
, 百拇医药
2 结果与讨论
按文献方法〔5〕制备烯醇钠盐,收率为62.0%(文献收率为67.0%).由于化合物(Ⅶ)稳定性差,极易发生副反应,我们将第二步酸化反应和第三步亲核取代连续操作,即反应(1)制得的钠盐酸化后不经分离纯化直接与氟氯苯胺在酸催化下反应,制备3-氯-4-氟苯胺基甲叉基丙二酸二乙酯(Ⅱ).反应(3)是碳正离子机理的反应,溶剂的极性对这一反应有明显的影响;由于这个反应是可逆的,适当增加氟氯苯胺的用量可以促进反应向正反应方向进行;此反应是酸催化下进行的,反应体系的pH值是重要的影响因素;在酸催下亲核取代反应极易发生,与文献报道的2种方法相比,此方法的优点是反应温度低,反应时间短,原料易得,操作简便;其缺点是副反应较多,收率不够理想.
参考文献
1 Holmes B,Brogder RN,Richards DM,et al.Norfloxacin:a review of its antibacterial activity,pharmacokinetic properties and therapeutic use.Drugs,1985,30(6):482~513
, http://www.100md.com
2 Kyorin Pharmaceutical Co.Ltd.Quinoline carboxylic acid derivatives.United States,U.S.Pat.4146719.1978-05-16
3 Koga H,Itoh A,Murayama S,et al.Structure-activity relationships of antibacterial 6,7-and 7,8-disubstituted 1-alky1-1,4-dihydro-4-xooquinoline-3-carboxylic acids.J Med Chem,1980,33(12):1358~1363
4 郭惠元,孙兰英,张致平,等.3-氯-4氟苯胺基亚甲基丙二酸二乙酯制备的改进.医药工业,1988,19(2):9~51
5 Tull RJ,tristram EW,rosegay a,et al.Preparation of salts of alkyl hydroxymethylene malonates.British,Brit.Pat.Brit1212760.1969-07-14
收稿日期:1999-01-15, 百拇医药
单位:沈阳药科大学制药系, 沈阳 110015
关键词:3-氯-4-氟苯胺基甲叉基丙二酸二乙酯;羟基甲叉基丙二酸二乙酯;氟哌酸;中间体;合成
沈阳药科大学学报990307 摘 要 设计了以羟基甲叉基丙二酸二乙酯钠盐为原料合成3-氯-4-氟苯胺基甲叉基丙二酸二乙酯的方法,收率为51.7%.
分类号 R914.4
A Novel Synthesis of 〔〔(3-Chloro-4-fluorophenyl)amino〕methylene〕malonic Acid Diethyl Ester
Zhang Weige,Zhang Jie,Wang Shaojie,Xu Yibin
, http://www.100md.com
Department of Pharmaceutics,Shenyang Pharmaceutical University,Shenyang 110015
Abstract 〔〔(3-Chloro-4-fluorophenyl)amino〕methylene〕malonic acid diethyl ester is the key intermediate for the synthesis of the antibacterial drug norfloxacin.A novel synthetic method starting from hydroxylmethylene malonic acid diethyl ester was designed and the overall yield was 51.7%.
Key words 〔〔(3-chloro-4-fluorophenyl)amino〕methylene〕malonic acid diethyl ester;hydroxymethylenemalonic acid diethyl ester ;norfloxacin;intermediate;synthesis
, 百拇医药
氟哌酸〔1-ethy1-6-fluoro-1,4-dihydro-4-oxo-7-(1-piperizinyl)-3-quinoline carboxylic acid,norfloxacin〕是日本杏林公司1978年合成的喹喏酮类抗菌药物,不仅对革兰氏阴性菌具有很强的抗菌活性,而且对革兰氏阳性菌包括对萘啶酸和吡哌酸边缘敏感的细菌也有效.1979年7月开始在日本进行药理及临床研究,并于1983年5月首先在意大利上市〔1〕.国内现有多个厂家生产,广泛应用于临床,主要用于治疗泌尿系统和消化系统感染.根据目前国内外文献报道,有多条合成氟哌酸的路线,常用的路线〔2〕见图1.
Fig.1 The syntletis route of Norfloxacin
由图1可看出,3-氯-4-氟苯胺基甲叉基丙二酸二乙酯是氟哌酸合成中的重要中间体.据文献报道,3-氯-4-氟苯胺基甲叉基丙二酸二乙酯〔Ⅲ〕的合成方法共有2种,见图2,图3.
, 百拇医药
Fig.2 The first synthetic route of 〔〔3-chloro-4-fluorophenylamino〕methylene〕malonic acid diethyl ester
Fig.3 The second synthetic route of 〔〔3-chloro-4-fluorophenylamino〕methylene〕malonic acid diethyl ester
路线1收率较高,存在问题是,a.反应温度较高;b.原料乙氧甲叉丙二酸二乙酯沸点较高,需高温真空精馏才能得到.
路线2的优点是无需使用乙氧甲叉丙二酸二乙酯,所存在的问题是,a.此路线副反应较多,收率不够理想;b.反应温度较高.以上两条路线各有优点,但其共同的缺点是反应温度较高,反应时间较长,这给工业化生产带来了一定的不便.
, 百拇医药
设想使用羟基甲叉基丙二酸二乙酯〔5〕(Ⅶ)替代乙氧甲叉基丙二酸二乙酯与氟氯苯胺反应也可制得3-氯-4-氟苯胺基甲叉基丙二酸二乙酯(Ⅱ),其反应机理见图4.
Fig.4 Reaction mechanism
羟基甲叉基丙二酸二乙酯(Ⅶ)和甲酰基丙二酸二乙酯(Ⅷ)是同一化合物的2种共振正则结构,在酸的作用下,可形成碳正离子(Ⅸ).氟氯苯胺中电负性的胺基可亲核进攻碳正离子(Ⅸ),得到(Ⅹ),经去脱水、质子化得3-氯-4-氟苯胺基甲叉基丙二酸二乙酯(Ⅱ).
由此反应机理,我们设计的合成路线如图5.
Fig.5 The new synthetic route of 〔〔3-chloro-4-fluoro-phenylamino〕methylene〕malonic acid diethyl ester
, 百拇医药
1 实验方法
毛细管法测定熔点,温度未经校正.红外光谱用IFS55傅立叶变换红外光谱仪测定,KBr压片.1H-NMR用ARX-300核磁共振仪测定.氘代氯仿作溶剂.所用试剂均为分析纯试剂.
1.1 羟基甲叉基丙二酸二乙酯钠盐(Ⅹ Ⅳ)的制备
在装有回流冷凝管、温度计、玻璃塞的三颈瓶中加入100 mL乙醇,将4.6 g(0.2 mol)钠加到三颈瓶中制备乙醇钠.向乙醇钠/乙醇溶液中加入25 mL(0.15 mol)丙二酸二乙酯和41 mL(0.44 mol)甲酸乙酯,控制反应温度为66~70℃,搅拌反应10 h.反应完毕,减压蒸出50 mL乙醇,冷却,抽滤得到淡黄色固体19.5 g,熔点为178~182℃,收率为62.0%.
1.2 3-氯-4-氟苯胺基甲叉基丙二酸二乙酯(Ⅱ)的制备
, 百拇医药
将2 g(0.009 5 mol)羟基甲叉基丙二酸二乙酯钠盐置于40 mL乙醇中,加入1.7 g(0.011 7 mol)氟氯苯胺,用氯化氢乙醇溶液调反应液pH=4后,反应20 min,减压蒸出乙醇,很黄色油状物,以石油醚∶乙酸乙酯=9∶1的混合溶剂作展开剂进行柱层析分离,得淡黄色油状物,用石油醚重结晶得白色固体1.55 g,为3-氯-4-氟苯胺次甲丙二酸二乙酯纯品,熔点72~74℃,收率51.7%.IRνKBrmaxcm-1∶3 471.2,1 721.2,1 658.7,1 622.4,1 506.5,1 268.8,1 224.7,1 074.1,796.2.核磁共振氢谱(CDCl3)δ:1.40~1.31(6 H m J=7.1 Hz CH3),4.34~4.22(4 Hm J=7.1 Hz CH2),7.22~6.98(3 H m aromatic H),8.40~8.35(1 H d J=13.4 Hz NCH),11.01~10.96(1 H d J=13.4 Hz HNC).
, 百拇医药
2 结果与讨论
按文献方法〔5〕制备烯醇钠盐,收率为62.0%(文献收率为67.0%).由于化合物(Ⅶ)稳定性差,极易发生副反应,我们将第二步酸化反应和第三步亲核取代连续操作,即反应(1)制得的钠盐酸化后不经分离纯化直接与氟氯苯胺在酸催化下反应,制备3-氯-4-氟苯胺基甲叉基丙二酸二乙酯(Ⅱ).反应(3)是碳正离子机理的反应,溶剂的极性对这一反应有明显的影响;由于这个反应是可逆的,适当增加氟氯苯胺的用量可以促进反应向正反应方向进行;此反应是酸催化下进行的,反应体系的pH值是重要的影响因素;在酸催下亲核取代反应极易发生,与文献报道的2种方法相比,此方法的优点是反应温度低,反应时间短,原料易得,操作简便;其缺点是副反应较多,收率不够理想.
参考文献
1 Holmes B,Brogder RN,Richards DM,et al.Norfloxacin:a review of its antibacterial activity,pharmacokinetic properties and therapeutic use.Drugs,1985,30(6):482~513
, http://www.100md.com
2 Kyorin Pharmaceutical Co.Ltd.Quinoline carboxylic acid derivatives.United States,U.S.Pat.4146719.1978-05-16
3 Koga H,Itoh A,Murayama S,et al.Structure-activity relationships of antibacterial 6,7-and 7,8-disubstituted 1-alky1-1,4-dihydro-4-xooquinoline-3-carboxylic acids.J Med Chem,1980,33(12):1358~1363
4 郭惠元,孙兰英,张致平,等.3-氯-4氟苯胺基亚甲基丙二酸二乙酯制备的改进.医药工业,1988,19(2):9~51
5 Tull RJ,tristram EW,rosegay a,et al.Preparation of salts of alkyl hydroxymethylene malonates.British,Brit.Pat.Brit1212760.1969-07-14
收稿日期:1999-01-15, 百拇医药