5,6-二溴去甲基斑蝥亚胺衍生物的合成及125I标记物在动物体内的分布
作者:李太华1 唐志刚 黄永华
单位:北京师范大学化学系,北京 100875
关键词:5,6-二溴去甲基斑蝥亚胺衍生物;125I标记;抗肿瘤活性;动物体内分布
中国药物化学杂志990110 Synthesis of 5,6-Dibromo Norcantharidinimide
Derivatives,Iodine-125 Labelling and in Animal Distribution
Li Taihua,Tang Zhigang,Huang Yonghua
(Department of Chemistry,Beijing Normal University,Beijing 100875)
, http://www.100md.com
Abstract The two new 5,6-dibromo norcantharidinimide derivatives (Ⅲa) and (Ⅲb) were prepared.A simple,rapid method was described for the labelling of 5,6-dibromo norcantharidinimide derivatives with125I. In this paper,the radiolabelling ratio was 96.9% in \%T\%=80 ℃,pH=6,\%t\%=30 min.Two new 5,6-dibromo norcantharidinimide derivatives (Ⅲa) and (Ⅲb) were tested for the inhibition of the Carcinoma cells.It was shown that the 5,6-dibromo norcantharidinimide derivatives(Ⅲa)to Carcinoma cells(KB,HCT,Bel) had the best antitumor activity,it′s inhibition ratio to KB,HCT,Bel were 45.7%,0,41.7%.The in vivo distribution of 125I-5,6-dibromo norcantharidinimide derivatives(Ⅲa)in the mouse was studied.It was shown that the high uptake of 125I-5,6-dibromo norcantharidinimide derivatives(Ⅲa)was found in the liver,lungs and the kidney.
, 百拇医药
Key words 5,6-dibromo norcantharidinimide derivatives;iodine-125 labelling;antitumor activity;animal distribution
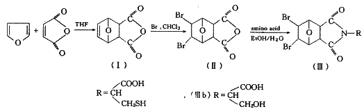
对斑蝥素的结构进行改造,可增强其抗癌活性,降低毒性〔1~3〕.作者参照文献〔4〕合成了两个新的5,6-二溴去甲基斑蝥亚胺衍生物(Ⅲa,Ⅲb)(见图1),做了抗癌活性筛选,并用125I对化合物(Ⅲa)进行了标记,观测了其在动物体内的分布.
7-氧杂双环〔2.2.1〕庚-5-烯-2,3-二甲酸酐(Ⅰ)的制备:取49 g顺丁烯二酸酐置于100 mL烧瓶中,加入40.8 g呋喃、50 mL四氢呋喃(THF),在低于37 ℃的温度下搅拌至固体全部溶解,室温放置过夜,过滤,干燥得白色棱柱状晶体79.5 g,产率:95.8%,mp 123~125 ℃(文献〔4〕mp 125 ℃).
, 百拇医药
Fig.1 Synthesis of 5,6-dibromo norcantharidinimide derivatives
5,6-二溴去甲基斑蝥素(Ⅱ)制备:称取化合物(Ⅰ)16.6 g,研细成粉末置于200 mL烧瓶中,加入50 mL氯仿,电磁搅拌成悬浮状.装上恒压漏斗,称取16 g液溴,用50 mL氯仿稀释,在室温下边搅拌边滴加入悬浮液中,溴的颜色逐渐褪去,搅拌过夜,过滤,以四氯化碳洗涤,沉淀得白色物质30.5 g,用乙醇重结晶,产率:93.6%,mp 157~159℃(文献〔4〕 mp 159℃).
5,6-二溴去甲基斑蝥亚胺衍生物(Ⅲa,Ⅲb)的制备:称取等摩尔(Ⅱ)与相应的L型α-氨基酸(半胱氨酸或丝氨酸)研细混匀于烧瓶中,加入适量的乙醇和水溶剂,在80 ℃下,电磁搅拌下回流4 h.用正丁醇-冰醋酸-水(v∶v∶v=4∶1∶5)作展开剂,纸层析检测反应进程,直到茚三酮显色不呈紫红色或显色极浅时停止回流,减压蒸馏除去部分溶剂,冷却后放入冰箱,析出结晶,抽滤得(Ⅲa),产率:58.5%,mp 157~160 ℃.元素分析:C11O5NSBr2,计算值(%):C 30.8,H 2.6,N 3.2;实验值(%):C 30.9,H 2.6,N 3.2.IR
cm-1:1719ν CO ),1235(νC—O—C),1391(νN—C),659(νC—Br).同法制备(Ⅲb),产率:56.8%,mp 240~242,元素分析:C11H11O6NBr2,计算值(%):C 32.0,H 2.7,N 3.4;实验值(%):C 31.9,H 2.7,N 3.4.IR
cm-1:1726ν CO ),1217(νC—O—C),1371(νN—C),635(νC—Br).
, 百拇医药
5,6-二溴去甲基斑蝥亚胺衍生物(Ⅲa,Ⅲb)抗癌活性的筛选:以体外试管法,用MTT筛选模型检测了抗癌细胞的抑制率和IC50值,在浓度10 μg/mL时,(Ⅲa)和(Ⅲb)对KB,HCT,Bel抑制率分别为45.7%,0,41.7%和5.7,0,0;IC50>10 μg/mL.
5,6-二溴去甲基斑蝥亚胺衍生物(Ⅲa)的125I标记:将1 mg(Ⅲa),125I溶液(105 kBq),0.5 mL水置于安瓿中,密封后,分别在不同温度、pH值及反应时间下进行交换标记反应,取样分析,测其放射性活度,计算出标记率,在T=80 ℃,pH=6,t=30 min,(Ⅲa)标记率达96.3%.
用硅胶纸,以甲醇-水(v∶v=1∶1)为展开剂进行薄层层析,125I标记的(Ⅲa)和125I-的Rf值分别为0.2~0.3,1.0.用正常云南昆明小白鼠(10~20 g)12只,每组3只,从小白鼠尾部静脉注射0.1 mL(450 kBq)标记物溶液,分别于不同时相(24 h,48 h,72 h)断头处死,解剖,取血、脑、心、肝、肺、肾和脾,称重,测其放射性活度,计算每克组织剂量百分数ID*g-1,结果表明:125I标记的(Ⅲa)在小白鼠体内分布,主要浓集在肝、肺和肾中.
, http://www.100md.com
1通讯联系人
参考文献
[1] 刘纪云,张宝王 旬,孙利民,等.肿瘤化学治疗的研究—斑蝥素衍生物的合成.药学学报,1980,15(2):271~275
[2] 李德华.抗癌新药羟基斑蝥亚胺的药理研究.中华医学杂志,1980,60(7):410~413
[3] 程石泉,张明光,孙利民,等.N-Mannich反应的研究Ⅰ,N-取代-9,10-二氢蒽-9,10-桥-α,β-琥珀酰亚胺衍生物的合成.化学试剂,1990,2(1):49~52
[4] 牛换双,李太华.溴代去甲基斑蝥素的合成,碘-125标记及在动物体内分布.北京师范大学学报(自然科学学报),1997,33(2):243~244
收稿日期:1998-07-16, http://www.100md.com(李太华1 唐志刚 黄永华)
单位:北京师范大学化学系,北京 100875
关键词:5,6-二溴去甲基斑蝥亚胺衍生物;125I标记;抗肿瘤活性;动物体内分布
中国药物化学杂志990110 Synthesis of 5,6-Dibromo Norcantharidinimide
Derivatives,Iodine-125 Labelling and in Animal Distribution
Li Taihua,Tang Zhigang,Huang Yonghua
(Department of Chemistry,Beijing Normal University,Beijing 100875)
, http://www.100md.com
Abstract The two new 5,6-dibromo norcantharidinimide derivatives (Ⅲa) and (Ⅲb) were prepared.A simple,rapid method was described for the labelling of 5,6-dibromo norcantharidinimide derivatives with125I. In this paper,the radiolabelling ratio was 96.9% in \%T\%=80 ℃,pH=6,\%t\%=30 min.Two new 5,6-dibromo norcantharidinimide derivatives (Ⅲa) and (Ⅲb) were tested for the inhibition of the Carcinoma cells.It was shown that the 5,6-dibromo norcantharidinimide derivatives(Ⅲa)to Carcinoma cells(KB,HCT,Bel) had the best antitumor activity,it′s inhibition ratio to KB,HCT,Bel were 45.7%,0,41.7%.The in vivo distribution of 125I-5,6-dibromo norcantharidinimide derivatives(Ⅲa)in the mouse was studied.It was shown that the high uptake of 125I-5,6-dibromo norcantharidinimide derivatives(Ⅲa)was found in the liver,lungs and the kidney.
, 百拇医药
Key words 5,6-dibromo norcantharidinimide derivatives;iodine-125 labelling;antitumor activity;animal distribution
对斑蝥素的结构进行改造,可增强其抗癌活性,降低毒性〔1~3〕.作者参照文献〔4〕合成了两个新的5,6-二溴去甲基斑蝥亚胺衍生物(Ⅲa,Ⅲb)(见图1),做了抗癌活性筛选,并用125I对化合物(Ⅲa)进行了标记,观测了其在动物体内的分布.
7-氧杂双环〔2.2.1〕庚-5-烯-2,3-二甲酸酐(Ⅰ)的制备:取49 g顺丁烯二酸酐置于100 mL烧瓶中,加入40.8 g呋喃、50 mL四氢呋喃(THF),在低于37 ℃的温度下搅拌至固体全部溶解,室温放置过夜,过滤,干燥得白色棱柱状晶体79.5 g,产率:95.8%,mp 123~125 ℃(文献〔4〕mp 125 ℃).
, 百拇医药
Fig.1 Synthesis of 5,6-dibromo norcantharidinimide derivatives
5,6-二溴去甲基斑蝥素(Ⅱ)制备:称取化合物(Ⅰ)16.6 g,研细成粉末置于200 mL烧瓶中,加入50 mL氯仿,电磁搅拌成悬浮状.装上恒压漏斗,称取16 g液溴,用50 mL氯仿稀释,在室温下边搅拌边滴加入悬浮液中,溴的颜色逐渐褪去,搅拌过夜,过滤,以四氯化碳洗涤,沉淀得白色物质30.5 g,用乙醇重结晶,产率:93.6%,mp 157~159℃(文献〔4〕 mp 159℃).
5,6-二溴去甲基斑蝥亚胺衍生物(Ⅲa,Ⅲb)的制备:称取等摩尔(Ⅱ)与相应的L型α-氨基酸(半胱氨酸或丝氨酸)研细混匀于烧瓶中,加入适量的乙醇和水溶剂,在80 ℃下,电磁搅拌下回流4 h.用正丁醇-冰醋酸-水(v∶v∶v=4∶1∶5)作展开剂,纸层析检测反应进程,直到茚三酮显色不呈紫红色或显色极浅时停止回流,减压蒸馏除去部分溶剂,冷却后放入冰箱,析出结晶,抽滤得(Ⅲa),产率:58.5%,mp 157~160 ℃.元素分析:C11O5NSBr2,计算值(%):C 30.8,H 2.6,N 3.2;实验值(%):C 30.9,H 2.6,N 3.2.IR
, 百拇医药
5,6-二溴去甲基斑蝥亚胺衍生物(Ⅲa,Ⅲb)抗癌活性的筛选:以体外试管法,用MTT筛选模型检测了抗癌细胞的抑制率和IC50值,在浓度10 μg/mL时,(Ⅲa)和(Ⅲb)对KB,HCT,Bel抑制率分别为45.7%,0,41.7%和5.7,0,0;IC50>10 μg/mL.
5,6-二溴去甲基斑蝥亚胺衍生物(Ⅲa)的125I标记:将1 mg(Ⅲa),125I溶液(105 kBq),0.5 mL水置于安瓿中,密封后,分别在不同温度、pH值及反应时间下进行交换标记反应,取样分析,测其放射性活度,计算出标记率,在T=80 ℃,pH=6,t=30 min,(Ⅲa)标记率达96.3%.
用硅胶纸,以甲醇-水(v∶v=1∶1)为展开剂进行薄层层析,125I标记的(Ⅲa)和125I-的Rf值分别为0.2~0.3,1.0.用正常云南昆明小白鼠(10~20 g)12只,每组3只,从小白鼠尾部静脉注射0.1 mL(450 kBq)标记物溶液,分别于不同时相(24 h,48 h,72 h)断头处死,解剖,取血、脑、心、肝、肺、肾和脾,称重,测其放射性活度,计算每克组织剂量百分数ID*g-1,结果表明:125I标记的(Ⅲa)在小白鼠体内分布,主要浓集在肝、肺和肾中.
, http://www.100md.com
1通讯联系人
参考文献
[1] 刘纪云,张宝王 旬,孙利民,等.肿瘤化学治疗的研究—斑蝥素衍生物的合成.药学学报,1980,15(2):271~275
[2] 李德华.抗癌新药羟基斑蝥亚胺的药理研究.中华医学杂志,1980,60(7):410~413
[3] 程石泉,张明光,孙利民,等.N-Mannich反应的研究Ⅰ,N-取代-9,10-二氢蒽-9,10-桥-α,β-琥珀酰亚胺衍生物的合成.化学试剂,1990,2(1):49~52
[4] 牛换双,李太华.溴代去甲基斑蝥素的合成,碘-125标记及在动物体内分布.北京师范大学学报(自然科学学报),1997,33(2):243~244
收稿日期:1998-07-16, http://www.100md.com(李太华1 唐志刚 黄永华)
参见:首页 > 中医药 > 中药专业 > 中草药汇编 > 中药大典 > 昆虫类 > 斑蝥