糙苏化学成分的研究
作者:赵静 杨秀伟** 付宏征 李荣芷
单位:北京医科大学药学院(100083)
关键词:糙苏;黄花香茶菜丙素;晶体X-衍射分析
中草药/990204
摘 要 从云南产糙苏Phlomis umbrosa地上全草中分得9个化合物,鉴定了它们的化学结构,分别是:β-谷甾醇(β-sitosterol,Ⅰ)、熊果酸(ursolic acid,Ⅱ)、黄花香茶菜甲素(sculponeatin A,Ⅲ)、黄花香茶菜丙素(sculponeatin C,Ⅳ)、2α-羟基熊果酸(2α-hydroxyursolic acid,V)、委陵菜酸(tormentic acid,Ⅵ)、ent-7α,16β,17-三羟基贝壳杉烷(ent-7α,16β,17-trihydroxykaurane,Ⅶ)、β-谷甾醇葡萄糖苷(β-sitosteryl-glucoside,Ⅷ)和葡萄糖(glucose,Ⅸ)。这些化合物为首次从该植物中分得,并对黄花香茶菜丙素的晶体结构进行了X-衍射分析。
, http://www.100md.com
糙苏系唇形科药用植物Phlomis umbrosa Turcz.的地上全草或根,具有祛风活络、强筋壮骨、消肿之功效,主治风湿性关节炎、腰痛、跌打损伤和疮疖肿毒〔1〕。有关糙苏化学成分的研究甚少,Chung等从糙苏根分离出8-O-乙酰基山栀苷(8-O-acetylshanzh-iside,umbroside)〔2〕、山栀苷甲酯(shanzhiside meester)〔3〕,朱等从糙苏地上部分分得琥珀酸和水苏素(bentonicine)〔4〕。为阐明糙苏发挥药效的物质基础,我们首先对其化学成分进行了研究。
糙苏乙醇溶性部分的水悬浮液连续用乙酸乙酯和正丁醇萃取,分别得乙酸乙酯提取物和正丁醇提取物。将其经硅胶柱层析,分别得化合物Ⅰ~Ⅸ。
根据理化性质和光谱分分析,鉴定它们的结构分别为:β-谷甾醇(β-sitosterol,Ⅰ)、熊果酸(ursolic acid,Ⅱ)、黄花香茶菜甲素(sculponeatin A,Ⅲ)、黄花香茶菜丙素(sculponeatin C,Ⅳ)、2α-羟基熊果酸(2α-hydroxyursolic acid,Ⅴ)、委陵菜酸(tormentic acid,Ⅵ)、ent-7α,16β,17-三羟基贝壳杉烷(ent-7α,16β,17-trihydroxykaurane,Ⅶ)、β-谷甾醇葡萄糖苷(β-sitosteryl-glucoside,Ⅷ)和葡萄糖(glucose,Ⅸ)。这些化合物为首次从该植物地上全草中分得。
, http://www.100md.com
化合物Ⅳ为淡黄色粗针晶,mp 299℃~302℃,EI-MS给出分子离子峰为362[M+],其晶体的Ⅹ-衍射分析给出正确分子式为C20H26O6,由六环骈合而成,六元环A为椅式,六元环D为半椅式,六元环E为船式,五元环B、C、F均呈信封式。各环的稠合方式为:A/B顺式,B/C顺式,A/C反式,A/D反式,D/E顺式。分子间存在氢键联系:O3 O4(-1+x,y,z):2.802A;O4 O1(0.5+x,0.5-y,1-z):2.7921A,以此维系晶态下结构的稳定。
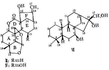
图1为分子相对构型图,图2为分子立体结构投影图。
图1 化合物Ⅲ,Ⅳ和Ⅶ的化学结构式
, http://www.100md.com
图2 化合物Ⅳ的分子立体结构投影图
1 材料和仪器
糙苏(地上全草)1993年8月采自云南省,经鉴定为Phlomis umbrosa Turcz.
熔点用X4型显微熔点测定仪测定(温度计未校正),红外光谱(IR)用美国Perkin-Elmer 983红外光谱仪测定:1H NMR和13C NMR用Varian Gemini 300(1H,300 MHz;13 C,75 MHz)、JEOL GX-400(1H,400MH,13 C,100MHz)和Varian Unity plus 500(1H,500 MHz;13C,125 MHz)核磁共振仪测定,TMS为内标。1H-1H相关谱(COSY)、1H-13C COSY、HMQC和HMBC用标准脉冲序列。EI-MS和用JEOL JMS-AX 505 HAD和JEOL JMS-DX 300L质谱仪测定。X-衍射仪为CAD4四圆衍射仪。
, http://www.100md.com
薄层层析和柱层析硅胶系青岛海洋化工厂产品。
2 提取和分离
糙苏(地上部分)粗粉20 kg用95%乙醇冷浸。滤取乙醇液,减压回收乙醇后得乙醇提取物(PUEE)1.3 kg。将PUEE(650 g)均匀地悬浮在水中,用乙醇乙酯萃取后得到乙酸乙酯提取物267.7 g和水溶性部分。将水溶性部分再用正丁醇萃取,得到正丁醇提取物(124 g)和水层残留物。乙酸乙酯提取物(267.7 g)经常压硅胶柱层析,环己烷-乙酸乙酯、乙酸乙酸和乙酸乙酯-甲醇梯度洗脱,TLC检测,得到组分E1~E4。再分别经柱层析分离,从E1中得到化合物Ⅰ;从E2中分别得到化合物Ⅱ、Ⅲ、Ⅳ、Ⅴ和Ⅵ;从E3中得到化合物Ⅶ,从E4中得到化合物Ⅷ。从正丁醇提取物中得到化合物Ⅷ和Ⅸ。
3 鉴定
化合物Ⅰ:无色板状结晶(乙醇),mp 140℃;EI-MS:m/z 414[M+]。其IR光谱数据与标准样品β-谷甾醇的完全一致。
, 百拇医药
化合物Ⅱ:白色粉末,EI-MS:m/z 456[M+],438[M+-H2O];其IR、1HNMR、13CNMR光谱数据与标准样品熊果酸的完全一致。
化合物Ⅲ:无色棱晶(丙酮-环已烷),mp 245℃~248℃;IRνmax(KBr):3 517(OH),1 700,1 662 cm-1;元素分析:C20H26O5(计算值:C 69.34,H 7.57;实测值:C 69.59,H 7.61)。1H NMR(400 MHz,C5D5N)δppm:1.05(3 H,s,C18-Me),1.45(1 H,dd,J=4.9,13.4 Hz,C3-H),1.51(2 H,dd,J=5.4,5.4 Hz,C12-H×2),1.55(1 H,dd,J=6.1,9.2 Hz,C14-H),1.64(1 H,dt,J=3.4,15.2 Hz,C3-H),1.68(1 H,dd,J=4.9,12.0 Hz,C11-Ha),1.89(2 H,m, C2-H×2),2.03(1 H,d,J=11.7 Hz,C11-Hb),2.15(1 H,dd,J=8.3,12.0 Hz,C14-H),2.45(1 H,d,J=5.4 Hz,C5-H),2.71(1 H,dd,J=5.4,8.1 Hz,C13-H),2.78(1 H,dd,J=5.4,13.7 Hz,C9-H),3.43(1 H,d,J=8.8 Hz,C19-Hb),3.97(1 H,d,J=8.8 Hz,C19-Ha),4.17(1 H,d,J=9.0 Hz,C20-Hb),4.35(1 H,d,J=9.0 Hz,C20-Ha),4.72(1 H,dd,J=5.9,11.0 Hz,C1-H),5.20(1 H,s,C15-H),6.02(1 H,d,J=4.9 Hz,C6-H)。13CNMR(100 MHz,C5D5N)δppm:75.9 d(C1)、23.3 t(C2)、29.3 t(C3)、41.4 s(C4)、53.4 d(C5)、111.4 d(C6)、175.8 s(C7)、52.9 s(C8)、35.9 d(C9)、50.8 s(C10)、33.2 t(C11)、18.6 t(C12)、37.0 d(C13)、32.8 t(C14)、78.5 d(C15)、159.3 s(C16)、108.6 t(C17)、30.4 q(C18)、77.0 t(C19)、72.7 t(C20)。
, http://www.100md.com
化合物Ⅲ的结构与从黄花香茶菜R. sculponeata分离出的黄花香茶菜甲素〔5〕一致。
化合物Ⅳ:淡黄色粗针晶(丙酮-环己烷),mp 299℃~302℃;EI-MS:m/z 362[M+],344[M+-H2O];IRνmax(KBr):3 410(OH),1 724,1 698,1 658 cm-1;1H NMR(500 MHz,C5D5N)δppm:1.06(3 H,s,C18-Me),1.59(1 H,d,J=3.3 Hz,C3-Ha),1.61(1 H,dd,J=3.3,3.3 Hz,C3-Hb),1.78~1.82(2 H,m,C2-Ha,C2-Hb),1.85(1 H,dd,J=4.2,12.6 Hz,C14-Hb),1.92(1 H,d,J=6.0,14.7 Hz,C12-Hb),2.42(1 H,dd,J=6.0,14.7 Hz,C12-Ha),2.75(1 H,d,J=3.9 Hz,C9-H),2.90(1 H,dd,J=5.4,9.6 Hz,C13-H),2.97(1 H,d,J=5.4 Hz,C5-H),3.14(1 H,d,J=11.4 Hz,C14-Ha),3.44(1 H,d,J=9.0 Hz,C19-Hb),4.02(1 H,d,J=9.0 Hz,C19-Ha),4.24(1 H,d,J=8.7 Hz,C20-Hb),4.48(1 H,d,J=3.6 Hz,C11-H),4.49(1 H,d,J=8.7 Hz,C20-Ha),5.21(1 H,d,J=3.0 Hz,C17-Hb),5.50(1 H,drs,C17-Ha),5.68(1 H,s,C15-H),5.86(1 H,dd,J=4.8,12.2 Hz,C1-H),6.12(1 H,d,J=5.4 Hz,C6-H),6.48(1 H,s,C11-OH)。13C NMR(125MHz,C5D5N)δppm:78.4 d(C1)、23.5 t(C2)、29.6 t(C3)、41.7 s(C4)、54.1 d(C5)、111.6 d(C6)、175.7 s(C7)、52.2 s(C8)、40.0 d(C9)、50.3 s(C10)、65.1 d(C11)、45.2 t(C12)、37.5 d(C13)、34.0 t(C14)、79.9 d(C15)、159.5 s(C16)、108.4 t(C17)、30.8 q(C18)、77.0 t(C19)、72.6 t(C20)。
, http://www.100md.com
晶体X-衍射分析:浅黄色粗针晶(丙酮-环己烷),属正交晶系,空间群为P212121,晶胞参数为a=7.789(5),b=12.148(1),c=18.425(2),晶胞内分子数为Z=4,计算晶体密度DX=1.384 g/cm3。正确分子式为C20H26O6。用CAD4四圆衍射仪收集衍射强度数据,MoKα辐射,石墨单色器,2θ/ω扫描方式,2θ范围3~50,独立衍射点1 755个,可观察点(|F|≥3σ|F|)1 342个。在微机上用直接法(SHELXS-86)解析分子结构,从E图上获得全部26个非氢原子位置,用最小二乘法修正结构参数并判断碳、氧原子种类,再经最小二乘法修正坐标参数和原子热运动参数,用几何计算法与Fourier综合法获得全部氢原子坐标,最终可靠因子Rf=0.044,Rw=0.046。
, 百拇医药 化合物Ⅳ的结构与从黄花香茶菜R.sculponeata分离出的黄花香茶菜丙素〔5〕一致。
化合物Ⅴ:白色粉末;EI-MS:m/z472〔M+〕。其IR、1HNMR、13C NMR光谱数据与文献〔6~8〕报道的2α-羟基熊果酸完全一致。
化合物Ⅳ:无色针晶(乙酸乙酯-甲醇),mp 265℃~267℃;EI-MS:m/z 488[M+],470[M+-H2O],442[M+-COOH-H];其IR、1H NMR、13C NMR光谱数据与标准样品委陵菜酸的完全一致。
化合物Ⅶ:无色针晶(甲醇-水), mp 205℃~207℃;IRνmax(KBr):3 465,3 271(OH)cm-1;EI-MS:m/z 304[M+-H2O],291(100),273,255,230;1H NMR(400 MHz,C5D5N)δppm:0.85(3 H,s,C19-Me),0.92(3 H,s,C18-Me),1.06(3 H,s,C20-Me),1.20(1 H,dd,J=4.3,12.1 Hz,C3-Ha),1.38(1 H,dd,J=4.3,12.1 Hz,C3-Hb),1.41(1 H,m,C11-Ha),1.59(1 H,dd,J=4.0,4.3 Hz,C2-Ha),1.67(1 H,m,C11-Hb),1.69(1 H,dd,J=2.7,8.1 Hz,C12-Hb),1.70(1 H,dd,J=2.7,2.7 Hz,C6-Hb),1.74(1 H,brs,C9-H),1.77(1 H,dd,J=4.0,4.3 Hz,C2-Hb),1.78(2 H,dd,J=4.0,9.4 Hz,C1-Ha,b),1.84(1 H,dt,J=2.7,13.5 Hz,C6-Ha),1.93(1 H,m,C12-Ha),1.94(1 H,brs,C5-H),1.97(1 H,dd,J=5.5,9.9 Hz,C14-Hb),2.03(1 H,d,J=14.8 Hz,C15-Hb),2.16(1 H,dd,J=3.8,10.8 Hz,C14-Ha),2.54(1 H,m,C13-H),2.56(1 H,d,J=14.8 Hz,C15-Ha),4.03(1 H,brs,C7α-H)。13C NMR(100 MHz,C5D5N)δppm:40.5 t(C1)、18.4 t(C2)、42.4 t(C3)、32.9 s(C4)、40.0 d(C5)、28.6 t(C6)、76.7 d(C7)、48.4 s(C8)、51.6 d(C9)、39.4 s(C10)、19.0 t(C11)、27.3 t(C12)、45.8 d(C13)、36.8 t(C14)、50.7 t(C15)、81.4 t(C16)、66.3 t(C17)、33.5 q(C18)、21.9 q(C19)、18.0 q(C20)。以上数据与文献〔9〕报道的ent-7α,16β,17-三羟基贝壳杉烷的完全一致。
, 百拇医药
化合物Ⅷ:白色粉末,其IR、1HNMR、13 CNMR光谱数据与标准样品β-谷甾醇葡萄糖苷的完全一致。
化合物Ⅸ:无色棱晶(甲醇-水)。其IR、1HNMR、13CNMR光谱数据和纸层析行为与标准样品葡萄糖的完全一致。
致谢:中国医学科学院*中国协和医科大学药物研究所吴楠、吕扬、郑启泰老师代测X-衍射光谱。
*Address:Zhao Jing ,College of Pharmacy ,Beijing University of Medical Sciences ,Beijing
参 考 文 献
[1] 谢宗万主编.全国中草药汇编(下册).第二版.北京:人民卫生出版社,1996:678
, 百拇医药
[2] Chung B S, et al.Saengyak Hakhoe Chi,1981,12(2):82
[3] Chung B S, et al.Saengyak Hakhoe Chi,1983,14(1):5
[4] 朱大公,等.中草药,1984,15(8):380
[5] 王先荣,等.中草药,1982,13(11):11
[6] Yamagishi T, et al.Phytochemistry,1988,27:3213
[7] Kojima H, et al.Phytochemistry, 1989,28:1703
[8] Seo B S, et al.J Chem Soc Chem Commun,1975:954
[9] Elliger C A, et al.J Nat Prod, 1992,55(10):147
[10] Fraga B M, et al.Phytochemistry, 1994,37(3):717
(1998-01-12收稿), http://www.100md.com(赵静 杨秀伟** 付宏征 李荣芷)
单位:北京医科大学药学院(100083)
关键词:糙苏;黄花香茶菜丙素;晶体X-衍射分析
中草药/990204
摘 要 从云南产糙苏Phlomis umbrosa地上全草中分得9个化合物,鉴定了它们的化学结构,分别是:β-谷甾醇(β-sitosterol,Ⅰ)、熊果酸(ursolic acid,Ⅱ)、黄花香茶菜甲素(sculponeatin A,Ⅲ)、黄花香茶菜丙素(sculponeatin C,Ⅳ)、2α-羟基熊果酸(2α-hydroxyursolic acid,V)、委陵菜酸(tormentic acid,Ⅵ)、ent-7α,16β,17-三羟基贝壳杉烷(ent-7α,16β,17-trihydroxykaurane,Ⅶ)、β-谷甾醇葡萄糖苷(β-sitosteryl-glucoside,Ⅷ)和葡萄糖(glucose,Ⅸ)。这些化合物为首次从该植物中分得,并对黄花香茶菜丙素的晶体结构进行了X-衍射分析。
, http://www.100md.com
糙苏系唇形科药用植物Phlomis umbrosa Turcz.的地上全草或根,具有祛风活络、强筋壮骨、消肿之功效,主治风湿性关节炎、腰痛、跌打损伤和疮疖肿毒〔1〕。有关糙苏化学成分的研究甚少,Chung等从糙苏根分离出8-O-乙酰基山栀苷(8-O-acetylshanzh-iside,umbroside)〔2〕、山栀苷甲酯(shanzhiside meester)〔3〕,朱等从糙苏地上部分分得琥珀酸和水苏素(bentonicine)〔4〕。为阐明糙苏发挥药效的物质基础,我们首先对其化学成分进行了研究。
糙苏乙醇溶性部分的水悬浮液连续用乙酸乙酯和正丁醇萃取,分别得乙酸乙酯提取物和正丁醇提取物。将其经硅胶柱层析,分别得化合物Ⅰ~Ⅸ。
根据理化性质和光谱分分析,鉴定它们的结构分别为:β-谷甾醇(β-sitosterol,Ⅰ)、熊果酸(ursolic acid,Ⅱ)、黄花香茶菜甲素(sculponeatin A,Ⅲ)、黄花香茶菜丙素(sculponeatin C,Ⅳ)、2α-羟基熊果酸(2α-hydroxyursolic acid,Ⅴ)、委陵菜酸(tormentic acid,Ⅵ)、ent-7α,16β,17-三羟基贝壳杉烷(ent-7α,16β,17-trihydroxykaurane,Ⅶ)、β-谷甾醇葡萄糖苷(β-sitosteryl-glucoside,Ⅷ)和葡萄糖(glucose,Ⅸ)。这些化合物为首次从该植物地上全草中分得。
, http://www.100md.com
化合物Ⅳ为淡黄色粗针晶,mp 299℃~302℃,EI-MS给出分子离子峰为362[M+],其晶体的Ⅹ-衍射分析给出正确分子式为C20H26O6,由六环骈合而成,六元环A为椅式,六元环D为半椅式,六元环E为船式,五元环B、C、F均呈信封式。各环的稠合方式为:A/B顺式,B/C顺式,A/C反式,A/D反式,D/E顺式。分子间存在氢键联系:O3 O4(-1+x,y,z):2.802A;O4 O1(0.5+x,0.5-y,1-z):2.7921A,以此维系晶态下结构的稳定。
图1为分子相对构型图,图2为分子立体结构投影图。
图1 化合物Ⅲ,Ⅳ和Ⅶ的化学结构式
, http://www.100md.com
图2 化合物Ⅳ的分子立体结构投影图
1 材料和仪器
糙苏(地上全草)1993年8月采自云南省,经鉴定为Phlomis umbrosa Turcz.
熔点用X4型显微熔点测定仪测定(温度计未校正),红外光谱(IR)用美国Perkin-Elmer 983红外光谱仪测定:1H NMR和13C NMR用Varian Gemini 300(1H,300 MHz;13 C,75 MHz)、JEOL GX-400(1H,400MH,13 C,100MHz)和Varian Unity plus 500(1H,500 MHz;13C,125 MHz)核磁共振仪测定,TMS为内标。1H-1H相关谱(COSY)、1H-13C COSY、HMQC和HMBC用标准脉冲序列。EI-MS和用JEOL JMS-AX 505 HAD和JEOL JMS-DX 300L质谱仪测定。X-衍射仪为CAD4四圆衍射仪。
, http://www.100md.com
薄层层析和柱层析硅胶系青岛海洋化工厂产品。
2 提取和分离
糙苏(地上部分)粗粉20 kg用95%乙醇冷浸。滤取乙醇液,减压回收乙醇后得乙醇提取物(PUEE)1.3 kg。将PUEE(650 g)均匀地悬浮在水中,用乙醇乙酯萃取后得到乙酸乙酯提取物267.7 g和水溶性部分。将水溶性部分再用正丁醇萃取,得到正丁醇提取物(124 g)和水层残留物。乙酸乙酯提取物(267.7 g)经常压硅胶柱层析,环己烷-乙酸乙酯、乙酸乙酸和乙酸乙酯-甲醇梯度洗脱,TLC检测,得到组分E1~E4。再分别经柱层析分离,从E1中得到化合物Ⅰ;从E2中分别得到化合物Ⅱ、Ⅲ、Ⅳ、Ⅴ和Ⅵ;从E3中得到化合物Ⅶ,从E4中得到化合物Ⅷ。从正丁醇提取物中得到化合物Ⅷ和Ⅸ。
3 鉴定
化合物Ⅰ:无色板状结晶(乙醇),mp 140℃;EI-MS:m/z 414[M+]。其IR光谱数据与标准样品β-谷甾醇的完全一致。
, 百拇医药
化合物Ⅱ:白色粉末,EI-MS:m/z 456[M+],438[M+-H2O];其IR、1HNMR、13CNMR光谱数据与标准样品熊果酸的完全一致。
化合物Ⅲ:无色棱晶(丙酮-环已烷),mp 245℃~248℃;IRνmax(KBr):3 517(OH),1 700,1 662 cm-1;元素分析:C20H26O5(计算值:C 69.34,H 7.57;实测值:C 69.59,H 7.61)。1H NMR(400 MHz,C5D5N)δppm:1.05(3 H,s,C18-Me),1.45(1 H,dd,J=4.9,13.4 Hz,C3-H),1.51(2 H,dd,J=5.4,5.4 Hz,C12-H×2),1.55(1 H,dd,J=6.1,9.2 Hz,C14-H),1.64(1 H,dt,J=3.4,15.2 Hz,C3-H),1.68(1 H,dd,J=4.9,12.0 Hz,C11-Ha),1.89(2 H,m, C2-H×2),2.03(1 H,d,J=11.7 Hz,C11-Hb),2.15(1 H,dd,J=8.3,12.0 Hz,C14-H),2.45(1 H,d,J=5.4 Hz,C5-H),2.71(1 H,dd,J=5.4,8.1 Hz,C13-H),2.78(1 H,dd,J=5.4,13.7 Hz,C9-H),3.43(1 H,d,J=8.8 Hz,C19-Hb),3.97(1 H,d,J=8.8 Hz,C19-Ha),4.17(1 H,d,J=9.0 Hz,C20-Hb),4.35(1 H,d,J=9.0 Hz,C20-Ha),4.72(1 H,dd,J=5.9,11.0 Hz,C1-H),5.20(1 H,s,C15-H),6.02(1 H,d,J=4.9 Hz,C6-H)。13CNMR(100 MHz,C5D5N)δppm:75.9 d(C1)、23.3 t(C2)、29.3 t(C3)、41.4 s(C4)、53.4 d(C5)、111.4 d(C6)、175.8 s(C7)、52.9 s(C8)、35.9 d(C9)、50.8 s(C10)、33.2 t(C11)、18.6 t(C12)、37.0 d(C13)、32.8 t(C14)、78.5 d(C15)、159.3 s(C16)、108.6 t(C17)、30.4 q(C18)、77.0 t(C19)、72.7 t(C20)。
, http://www.100md.com
化合物Ⅲ的结构与从黄花香茶菜R. sculponeata分离出的黄花香茶菜甲素〔5〕一致。
化合物Ⅳ:淡黄色粗针晶(丙酮-环己烷),mp 299℃~302℃;EI-MS:m/z 362[M+],344[M+-H2O];IRνmax(KBr):3 410(OH),1 724,1 698,1 658 cm-1;1H NMR(500 MHz,C5D5N)δppm:1.06(3 H,s,C18-Me),1.59(1 H,d,J=3.3 Hz,C3-Ha),1.61(1 H,dd,J=3.3,3.3 Hz,C3-Hb),1.78~1.82(2 H,m,C2-Ha,C2-Hb),1.85(1 H,dd,J=4.2,12.6 Hz,C14-Hb),1.92(1 H,d,J=6.0,14.7 Hz,C12-Hb),2.42(1 H,dd,J=6.0,14.7 Hz,C12-Ha),2.75(1 H,d,J=3.9 Hz,C9-H),2.90(1 H,dd,J=5.4,9.6 Hz,C13-H),2.97(1 H,d,J=5.4 Hz,C5-H),3.14(1 H,d,J=11.4 Hz,C14-Ha),3.44(1 H,d,J=9.0 Hz,C19-Hb),4.02(1 H,d,J=9.0 Hz,C19-Ha),4.24(1 H,d,J=8.7 Hz,C20-Hb),4.48(1 H,d,J=3.6 Hz,C11-H),4.49(1 H,d,J=8.7 Hz,C20-Ha),5.21(1 H,d,J=3.0 Hz,C17-Hb),5.50(1 H,drs,C17-Ha),5.68(1 H,s,C15-H),5.86(1 H,dd,J=4.8,12.2 Hz,C1-H),6.12(1 H,d,J=5.4 Hz,C6-H),6.48(1 H,s,C11-OH)。13C NMR(125MHz,C5D5N)δppm:78.4 d(C1)、23.5 t(C2)、29.6 t(C3)、41.7 s(C4)、54.1 d(C5)、111.6 d(C6)、175.7 s(C7)、52.2 s(C8)、40.0 d(C9)、50.3 s(C10)、65.1 d(C11)、45.2 t(C12)、37.5 d(C13)、34.0 t(C14)、79.9 d(C15)、159.5 s(C16)、108.4 t(C17)、30.8 q(C18)、77.0 t(C19)、72.6 t(C20)。
, http://www.100md.com
晶体X-衍射分析:浅黄色粗针晶(丙酮-环己烷),属正交晶系,空间群为P212121,晶胞参数为a=7.789(5),b=12.148(1),c=18.425(2),晶胞内分子数为Z=4,计算晶体密度DX=1.384 g/cm3。正确分子式为C20H26O6。用CAD4四圆衍射仪收集衍射强度数据,MoKα辐射,石墨单色器,2θ/ω扫描方式,2θ范围3~50,独立衍射点1 755个,可观察点(|F|≥3σ|F|)1 342个。在微机上用直接法(SHELXS-86)解析分子结构,从E图上获得全部26个非氢原子位置,用最小二乘法修正结构参数并判断碳、氧原子种类,再经最小二乘法修正坐标参数和原子热运动参数,用几何计算法与Fourier综合法获得全部氢原子坐标,最终可靠因子Rf=0.044,Rw=0.046。
, 百拇医药 化合物Ⅳ的结构与从黄花香茶菜R.sculponeata分离出的黄花香茶菜丙素〔5〕一致。
化合物Ⅴ:白色粉末;EI-MS:m/z472〔M+〕。其IR、1HNMR、13C NMR光谱数据与文献〔6~8〕报道的2α-羟基熊果酸完全一致。
化合物Ⅳ:无色针晶(乙酸乙酯-甲醇),mp 265℃~267℃;EI-MS:m/z 488[M+],470[M+-H2O],442[M+-COOH-H];其IR、1H NMR、13C NMR光谱数据与标准样品委陵菜酸的完全一致。
化合物Ⅶ:无色针晶(甲醇-水), mp 205℃~207℃;IRνmax(KBr):3 465,3 271(OH)cm-1;EI-MS:m/z 304[M+-H2O],291(100),273,255,230;1H NMR(400 MHz,C5D5N)δppm:0.85(3 H,s,C19-Me),0.92(3 H,s,C18-Me),1.06(3 H,s,C20-Me),1.20(1 H,dd,J=4.3,12.1 Hz,C3-Ha),1.38(1 H,dd,J=4.3,12.1 Hz,C3-Hb),1.41(1 H,m,C11-Ha),1.59(1 H,dd,J=4.0,4.3 Hz,C2-Ha),1.67(1 H,m,C11-Hb),1.69(1 H,dd,J=2.7,8.1 Hz,C12-Hb),1.70(1 H,dd,J=2.7,2.7 Hz,C6-Hb),1.74(1 H,brs,C9-H),1.77(1 H,dd,J=4.0,4.3 Hz,C2-Hb),1.78(2 H,dd,J=4.0,9.4 Hz,C1-Ha,b),1.84(1 H,dt,J=2.7,13.5 Hz,C6-Ha),1.93(1 H,m,C12-Ha),1.94(1 H,brs,C5-H),1.97(1 H,dd,J=5.5,9.9 Hz,C14-Hb),2.03(1 H,d,J=14.8 Hz,C15-Hb),2.16(1 H,dd,J=3.8,10.8 Hz,C14-Ha),2.54(1 H,m,C13-H),2.56(1 H,d,J=14.8 Hz,C15-Ha),4.03(1 H,brs,C7α-H)。13C NMR(100 MHz,C5D5N)δppm:40.5 t(C1)、18.4 t(C2)、42.4 t(C3)、32.9 s(C4)、40.0 d(C5)、28.6 t(C6)、76.7 d(C7)、48.4 s(C8)、51.6 d(C9)、39.4 s(C10)、19.0 t(C11)、27.3 t(C12)、45.8 d(C13)、36.8 t(C14)、50.7 t(C15)、81.4 t(C16)、66.3 t(C17)、33.5 q(C18)、21.9 q(C19)、18.0 q(C20)。以上数据与文献〔9〕报道的ent-7α,16β,17-三羟基贝壳杉烷的完全一致。
, 百拇医药
化合物Ⅷ:白色粉末,其IR、1HNMR、13 CNMR光谱数据与标准样品β-谷甾醇葡萄糖苷的完全一致。
化合物Ⅸ:无色棱晶(甲醇-水)。其IR、1HNMR、13CNMR光谱数据和纸层析行为与标准样品葡萄糖的完全一致。
致谢:中国医学科学院*中国协和医科大学药物研究所吴楠、吕扬、郑启泰老师代测X-衍射光谱。
*Address:Zhao Jing ,College of Pharmacy ,Beijing University of Medical Sciences ,Beijing
参 考 文 献
[1] 谢宗万主编.全国中草药汇编(下册).第二版.北京:人民卫生出版社,1996:678
, 百拇医药
[2] Chung B S, et al.Saengyak Hakhoe Chi,1981,12(2):82
[3] Chung B S, et al.Saengyak Hakhoe Chi,1983,14(1):5
[4] 朱大公,等.中草药,1984,15(8):380
[5] 王先荣,等.中草药,1982,13(11):11
[6] Yamagishi T, et al.Phytochemistry,1988,27:3213
[7] Kojima H, et al.Phytochemistry, 1989,28:1703
[8] Seo B S, et al.J Chem Soc Chem Commun,1975:954
[9] Elliger C A, et al.J Nat Prod, 1992,55(10):147
[10] Fraga B M, et al.Phytochemistry, 1994,37(3):717
(1998-01-12收稿), http://www.100md.com(赵静 杨秀伟** 付宏征 李荣芷)