描述肺毛细血管中血液氧合过程的反应扩散方程组解的渐近性态
作者:张勤
单位:张勤(南京铁道医学院数学教研室 南京210009)
关键词:肺毛细血管;血液氧合;渐近性态
数理医药学杂志000307
摘 要 描述了肺毛细血管中血液氧合过程的反应扩散方程组解的渐近性态,并给出当Z→+∞时,解趋于稳态解的速度。
中图分类号:O 242.1 文献标识码:A
文章编号:1004-4337(2000)03-0203-03
1 引言
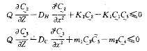
本文考虑如下方程组:
, 百拇医药
这是描述血液在肺毛细血管中氧合过程的方程组[1],其中C1、C2、C3、C4、C5分别表示O2、HbO2、CO2、HbNHCOOH、Hb在肺毛细血管中的浓度,DO、DC、DH分别表示O2、CO2、Hb的扩散系数,Q表示血流速度,K1、K2、m1、m2是两个可逆化学反应的反应速度,a表示血管半径。
把血管看成对称的,因此
(6)
另外,由于O2、CO2容易透过呼吸膜,可以认为当x=a时,O2、CO2的浓度与肺泡中浓度相等,即
(7)
, 百拇医药
其中Cialv是已知常数。又因为大分子的Hb、HbO2、HbNHCOOH不能透过呼吸膜,因此
(8)
初始条件由静脉血中生理参数确定:
(9)
当Z→+∞时,定解问题(1)~(9)的平衡解为[1]:

平均解Ciart(i=1,2,3,4,5)分别表示血液流出肺毛细血管进入动脉时,O2、HbO2、CO2、HbNHCOOH、Hb的浓度,其中H是常数,表示单位体积中化学结合的血红蛋白与自由血红蛋白的总量。
, 百拇医药
Wei Feng在文献[2]中讨论了(1)~(9)解的存在性,在文献[3]中讨论了(1)~(5)在边界条件都是Dirichlet条件或都是Robin条件时解的渐近性态,但实际问题不满足这样的边界条件,为了实际应用的需要,本文讨论(1)~(9)的渐近性态。
定理 如果对于
,其中a是血管半径,ω>0常数,存在正常数r1、r2、r3、r4、r5,使得
成立,其中Ciart为稳态解(Is),则存在常数ε*>0,α*>0,只要0<ε<ε*,α>α*,且
, 百拇医药
(1)~(9)存在唯一解C=(C1,C2,C3,C4,C5)满足
定理说明当初值在稳态解附近时,解也在稳态解附近,且当Z→+∞时,解一致趋于稳态解。
推论 对于
,其中a是血管半径,ω>0,存在正常数K*1、m*1、ε*、α*,只要01*1,01*1,0<ε<ε*,α>α*,初值满足
, http://www.100md.com
(1)~(9)存在唯一解C=(C1,C2,C3,C4,C5)满足
本文定理是对文献[3]的补充,推论是对文献[2]中定理3的部分推广。由本文的结论,可以从理论上证明文献[1]中线性模型是合理的,并且可以把线性模型推广到非线性模型,详细讨论见文献[4],因此本文结论具有一定的应用价值。
2 定理的证明
定义 对某个常数Z>0,如果两个向量函数
上满足下列微分不等式:




, 百拇医药
在边界上满足


初值满足
则称
是(1)~(9)的一对上下解。
引理1 若
是(1)~(9)的一对上下解,则(1)~(9)在(0,Z]×[0,a]上存在唯一解C满足:
, 百拇医药
引理1可以从一般的抛物型方程组的存在比较定理推出。
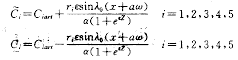
下面具体构造(1)~(9)的一对上下解。假定定理条件成立,记
作函数
其中ε<ε*,α>α*
可以验证,
与
是定解问题(1)~(9)的一对上下解,由引理1,存在唯一解C=(C1,C2,C3,C4,C5)满足
, 百拇医药
引理2 如果对于
,其中a是血管半径,ω>0是常数,问题(1)~(9)中生理参数满足
(15)
那么存在正常数r1、r2、r3、r4、r5,使式(10)~(14)成立。
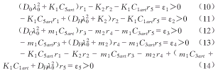
证明 只要说明对ε1>0,ε3>0,ε5>0,下列代数方程组有正解。
(DOλ20+K1C5art)r1-K2r2-K1C1artr5=ε1 (10)
, http://www.100md.com
-K1C5artr1+(DHλ20+K2)r2-K1C1artr5=ε1 (11)
(DCλ20+m1C5art)r3-m2r4-m1C3artr5=ε3 (12)
-m1C5artr3+(DHλ20+m2)r4-m1C3artr5=ε3 (13)
, http://www.100md.com
-K1C5artr1-K2r2-m1C5artr3-m2r4+(m1C3art+K1C1art+DHλ20)r5=ε3 (14)
由(10'),(11')得
(16)
(17)
由(12'),(13')得
(18)
(19)
, 百拇医药
把式(16)~(19)代入(14')得


上式右边大于零,由式(15)知r5的系数大于零,故可解得r5>0,把r5代入式(16)~(19),解得r1、r2、r3、r4都大于零。
引理3 对于
,其中a是血管半径,ω>0,存在K*1>0,m*1>0,使得当01*1,01*1时,存在正常数r1、r2、r3、r4、r5,使式(10)~(14)成立。
, 百拇医药
证明 因为式(15)的左边当K1→0,m1→0时极限为DHλ20>0,所以存在K*1>0,m*1>0,使得当01*1,01*1时(15)式成立,由引理1,存在正常数r1、r2、r3、r4、r5,使式(10)~(14)成立。
参考文献
1,M.P.Singh, K.Khetarpal, and Mathili Sharan, A Theoretical Model for studying the Rate of Oxygenation of Blood in Pulmonary Capillaries, J. Math. Biology 9,305~330.
, 百拇医药
2,Wei Feng, Global. Existence and Boundedness of the Solution for a Blood Oxygenation Model J. Math. Anal. Appl 181, 462~472,1994.
3,Wei Feng, Stability and Asymptotic Behaviour in a keaetion-diffusion System, Mathematical Methocls in the Applied Sciences, Vol 17,155~169, 1994.
4,张勤.肺毛细血管中血液氧合速率的数学模型.数理医药学杂志,1996,9(4):297~298.
收稿日期:1998-09-29, 百拇医药
单位:张勤(南京铁道医学院数学教研室 南京210009)
关键词:肺毛细血管;血液氧合;渐近性态
数理医药学杂志000307
摘 要 描述了肺毛细血管中血液氧合过程的反应扩散方程组解的渐近性态,并给出当Z→+∞时,解趋于稳态解的速度。
中图分类号:O 242.1 文献标识码:A
文章编号:1004-4337(2000)03-0203-03
1 引言
本文考虑如下方程组:
, 百拇医药
这是描述血液在肺毛细血管中氧合过程的方程组[1],其中C1、C2、C3、C4、C5分别表示O2、HbO2、CO2、HbNHCOOH、Hb在肺毛细血管中的浓度,DO、DC、DH分别表示O2、CO2、Hb的扩散系数,Q表示血流速度,K1、K2、m1、m2是两个可逆化学反应的反应速度,a表示血管半径。
把血管看成对称的,因此
另外,由于O2、CO2容易透过呼吸膜,可以认为当x=a时,O2、CO2的浓度与肺泡中浓度相等,即
, 百拇医药
其中Cialv是已知常数。又因为大分子的Hb、HbO2、HbNHCOOH不能透过呼吸膜,因此
初始条件由静脉血中生理参数确定:
当Z→+∞时,定解问题(1)~(9)的平衡解为[1]:
平均解Ciart(i=1,2,3,4,5)分别表示血液流出肺毛细血管进入动脉时,O2、HbO2、CO2、HbNHCOOH、Hb的浓度,其中H是常数,表示单位体积中化学结合的血红蛋白与自由血红蛋白的总量。
, 百拇医药
Wei Feng在文献[2]中讨论了(1)~(9)解的存在性,在文献[3]中讨论了(1)~(5)在边界条件都是Dirichlet条件或都是Robin条件时解的渐近性态,但实际问题不满足这样的边界条件,为了实际应用的需要,本文讨论(1)~(9)的渐近性态。
定理 如果对于
成立,其中Ciart为稳态解(Is),则存在常数ε*>0,α*>0,只要0<ε<ε*,α>α*,且
, 百拇医药
(1)~(9)存在唯一解C=(C1,C2,C3,C4,C5)满足
定理说明当初值在稳态解附近时,解也在稳态解附近,且当Z→+∞时,解一致趋于稳态解。
推论 对于
, http://www.100md.com
(1)~(9)存在唯一解C=(C1,C2,C3,C4,C5)满足
本文定理是对文献[3]的补充,推论是对文献[2]中定理3的部分推广。由本文的结论,可以从理论上证明文献[1]中线性模型是合理的,并且可以把线性模型推广到非线性模型,详细讨论见文献[4],因此本文结论具有一定的应用价值。
2 定理的证明
定义 对某个常数Z>0,如果两个向量函数
, 百拇医药
在边界上满足
初值满足
则称
引理1 若
, 百拇医药
引理1可以从一般的抛物型方程组的存在比较定理推出。
下面具体构造(1)~(9)的一对上下解。假定定理条件成立,记
其中ε<ε*,α>α*
可以验证,
, 百拇医药
引理2 如果对于
那么存在正常数r1、r2、r3、r4、r5,使式(10)~(14)成立。
证明 只要说明对ε1>0,ε3>0,ε5>0,下列代数方程组有正解。
(DOλ20+K1C5art)r1-K2r2-K1C1artr5=ε1 (10)
, http://www.100md.com
-K1C5artr1+(DHλ20+K2)r2-K1C1artr5=ε1 (11)
(DCλ20+m1C5art)r3-m2r4-m1C3artr5=ε3 (12)
-m1C5artr3+(DHλ20+m2)r4-m1C3artr5=ε3 (13)
, http://www.100md.com
-K1C5artr1-K2r2-m1C5artr3-m2r4+(m1C3art+K1C1art+DHλ20)r5=ε3 (14)
由(10'),(11')得
由(12'),(13')得
, 百拇医药
把式(16)~(19)代入(14')得
上式右边大于零,由式(15)知r5的系数大于零,故可解得r5>0,把r5代入式(16)~(19),解得r1、r2、r3、r4都大于零。
引理3 对于
, 百拇医药
证明 因为式(15)的左边当K1→0,m1→0时极限为DHλ20>0,所以存在K*1>0,m*1>0,使得当0
参考文献
1,M.P.Singh, K.Khetarpal, and Mathili Sharan, A Theoretical Model for studying the Rate of Oxygenation of Blood in Pulmonary Capillaries, J. Math. Biology 9,305~330.
, 百拇医药
2,Wei Feng, Global. Existence and Boundedness of the Solution for a Blood Oxygenation Model J. Math. Anal. Appl 181, 462~472,1994.
3,Wei Feng, Stability and Asymptotic Behaviour in a keaetion-diffusion System, Mathematical Methocls in the Applied Sciences, Vol 17,155~169, 1994.
4,张勤.肺毛细血管中血液氧合速率的数学模型.数理医药学杂志,1996,9(4):297~298.
收稿日期:1998-09-29, 百拇医药