常用非线性模型参数估计新方法及应用
作者:赵修忠
单位:赵修忠(阳医学院数理教研室 衡阳421001)
关键词:非线性模型;参数估计;最小二乘法
数理医药学杂志000314
摘 要 提出了非线性模型y=a.e-kx,
两种模型参数估计的简便方法,对于基层工作者具有参考价值。
中图分类号:O 212.1 文献标识码:A
文章编号:1004-4337(2000)03-0215-02
对于常用非线性模型参数估计,大多采用变量代换的方法转化为线性模型,利用最小二乘法,求出模型参数。理论依据为残差平方和最小,由于使用了变量代换,因而计算出的回归方程不能保证残差平方和最小,甚至偏差很大。为了使基层工作者能正确简单地求出各模型参数,下面介绍一种简捷参数估计方法。
, http://www.100md.com
模型Ⅰ:单室模型 y=a*e-kx广泛应用于农业生物学、工程学及药理学。一般参数估计方法为:lny=lna-kt,设Y=lny,A=lna,B=-k转化为线性模型:Y=A+Bt,用最小二乘法求出参数。
方法介绍:设y=a*e-kx有偶数个数据(ti,yi)
设
(1)
(2)
(3)
又
,得
, http://www.100md.com
由(3)式:
若某次静脉注射药物浓度与时间关系如下:


从而得到模型为:y=30.0563e-0.10556t
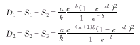
模型Ⅱ:logistic模型
此模型起源于人口研究,是常用的动物生长模型之一,广泛应用于社会学、经济学、医学。此模型有三个未知参数,估计方法有很多,但由于运算复杂,给参数估计带来困难。
, http://www.100md.com
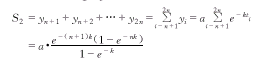
方法介绍:设模型有3n个数据对(ti,yi),ti=i由原模型得:
设


,得
,得
,又设

, http://www.100md.com
所以有:

现有一组观测数据,由散点图可知为S形生长模型,用logistic曲线拟合。 t
1
2
3
4
5
6
7
8
, 百拇医药
9
10
11
12
13
14
15
y
16.08
33.83
65.8
97.2
191.55
, 百拇医药
326.2
386.87
520.53
590.03
651.92
724.93
699.56
689.96
637.56
717.41
0.06219
, 百拇医药
0.02956
0.0152
0.01029
0.00522
0.00307
0.00258
0.00192
0.00169
0.00153
0.00138
0.00143
0.00145
0.00157
0.00139



收稿日期:1999-11-24, http://www.100md.com
单位:赵修忠(阳医学院数理教研室 衡阳421001)
关键词:非线性模型;参数估计;最小二乘法
数理医药学杂志000314
摘 要 提出了非线性模型y=a.e-kx,
中图分类号:O 212.1 文献标识码:A
文章编号:1004-4337(2000)03-0215-02
对于常用非线性模型参数估计,大多采用变量代换的方法转化为线性模型,利用最小二乘法,求出模型参数。理论依据为残差平方和最小,由于使用了变量代换,因而计算出的回归方程不能保证残差平方和最小,甚至偏差很大。为了使基层工作者能正确简单地求出各模型参数,下面介绍一种简捷参数估计方法。
, http://www.100md.com
模型Ⅰ:单室模型 y=a*e-kx广泛应用于农业生物学、工程学及药理学。一般参数估计方法为:lny=lna-kt,设Y=lny,A=lna,B=-k转化为线性模型:Y=A+Bt,用最小二乘法求出参数。
方法介绍:设y=a*e-kx有偶数个数据(ti,yi)
设
又
, http://www.100md.com
由(3)式:
若某次静脉注射药物浓度与时间关系如下:
从而得到模型为:y=30.0563e-0.10556t
模型Ⅱ:logistic模型
, http://www.100md.com
方法介绍:设模型有3n个数据对(ti,yi),ti=i由原模型得:
设
, http://www.100md.com
所以有:
现有一组观测数据,由散点图可知为S形生长模型,用logistic曲线拟合。 t
1
2
3
4
5
6
7
8
, 百拇医药
9
10
11
12
13
14
15
y
16.08
33.83
65.8
97.2
191.55
, 百拇医药
326.2
386.87
520.53
590.03
651.92
724.93
699.56
689.96
637.56
717.41
0.06219
, 百拇医药
0.02956
0.0152
0.01029
0.00522
0.00307
0.00258
0.00192
0.00169
0.00153
0.00138
0.00143
0.00145
0.00157
0.00139
收稿日期:1999-11-24, http://www.100md.com