疾病资料多元分析中交互作用指标及可信区间的估计
作者:向惠云 余松林 孙奕 刘红艳
单位:向惠云 Colorado State University,U.S.A; 余松林 孙奕 同济医科大学卫生统计教研室(430030); 刘红艳 汉口协和医院传染科试验室
关键词:交互作用;多元分析;评价指标
中国卫生统计990301 【提 要】 目的 旨在探讨疾病资料多元分析中两因子相互作用的三个评价指标。方法 从理论上提出了两因子相互作用三个评价指标的构造,详细介绍了用直接法和多元回归方程系数法求解三个评价指标及可信区间的过程,最后用饮酒和吸烟在男性口腔癌发生过程中的交互作用的例子进行了验证。结果 用直接法和多元回归方程系数法求解三个评价指标及可信区间的详细过程通过具体的实例进行了解答。结论 在现实的疾病资料多元分析中,交互作用多采用在多元回归方程中加入两因子的乘积项的方法加以分析,本文提出的三个新的评价指标有助于更深地分析两因子的交互作用。
, 百拇医药
Estimation of Interaction of Two Factors in Epidemiology Data
Xiang Huiyun,et al.Colorado State University,U.S.A
【Abstract】 Objective This paper has proposed three new indices for measuring interaction of two factors in the analysis of epidemiological data.Methods The procedures for designing and calculating the three indices with confidence interval have been demonstrated through a real example of analysis of interaction of cigarette smoking and alcohol drinking among male oral cancer patients.Results RERI(Relative Excess Risk Index),AP(Attributable Proportion),S Index(Synergy Index),and their confidence intervals have been calculated and presented using data of smoking,alcohol drinking,and male oral cancer data.Conclusion The proposed indices would aid evaluation of interaction of factors in the multivariate analysis of epidemiological data.
, 百拇医药
【Key words】 Interaction Confidence intervals Multivariate analysis Epidemiology
多元分析中因素的交互作用是指当两个因子同时存在时的作用大于两因子单独作用之和。交互作用的分析在理解健康因素的作用机理及健康评价等流行病学分析中有着重要的作用,但鉴于各种原因,目前大多采用分析多元回归方程中因子乘积项的回归系数方法进行分析。Rothman(1986)及Hosmer等(1992)从理论和计算方法上系统探讨了交互作用的分析指标的构造及计算方法,指出了用回归方程中两因子乘积项分析的不足。本文拟就Rothman提出的三种交互作用的指标及其可信区间的计算方法加以介绍,拟为疾病资料多元分析中评价因子的交互作用提供参考。
交互作用指标的构造
在以下的分析中,A和B分别代表危险因子A和B存在,
和
代表危险因子A和B不存在,RR代表相对危险比(Relative Risk)。
, http://www.100md.com
指标1 超相对危险比RERI(Relative Excess Risk),定义为:
(1)
该指标评价因子A和因子B同时作用时的联合作用与因子A和因子B单独作用之和的差别。
指标2 归因比AP(Attributable Proportions),定义为:
(2)
该指标评价两因子(A和B)同时存在时疾病中可以归因于两因子交互作用的比例。
指标3 交互作用指数S(The Synergy Index S),定义为:
, http://www.100md.com
(3)
当交互作用不存在时,指标1(PERI)和指标2〔AP(AB)〕值为0,指标3〔Index S〕值为1。即使指标1和指标2不为0、指标3不为1,但由于估计过程中存在着误差,必须估计指标的可信区间,观察PERI和AP(AB)是否包含0,Index S是否包含1,才能得出有意义的结论。
交互作用指标的估计
方法一:直接估计法。
把资料整理成如下格式。然后按所给公式计算交互作用指标。
表1 分析交互作用资料格式表 疾病
因子A
因子B
, http://www.100md.com 是
否
是
是
a
b
否
c
d
是
否
e
f
否
, 百拇医药
g
h
这里有:

然后把这些值代入公式1、公式2及公式3中可计算出交互作用指标。
方法二:多元回归法(1)
把因子(A和B)及疾病结果取值为1或0(存在为1:不存在为0),用两因子乘积项表示交互作用。把疾病结果当作Y变量,因子A、因子B及乘积项分别作X1、X2、X3变量配合logistic回归方程,得到回归系数
1、
2、
3,交互作用指标可用下面公式求得:
, 百拇医药
(4)
(5)
(6)
方法三:多元回归法(2)
根据危险因子的不同组合,重新设置三个新变量D1、D2、D3,其定义为: 因子A
因子B
D1
D2
, http://www.100md.com
D3
-
-
0
0
0
+
-
1
0
0
-
+
0
, 百拇医药
1
0
+
+
0
0
1
然后把疾病结果当作Y变量,D1、D2和D3分别为X1、X2、X3变量配合logistic回归方程,得到回归系数
1、
2和
3,交互作用指标可用下面公式求得:
, 百拇医药
(7)
(8)
(9)
交互作用指标可信区间的估计
交互作用可信区间的估计可从多元回归方法(2)的结果中计算出,其计算方法如下。设h(θ)代表三个交互作用指标相对于参数θ的偏导数,即:
(10)
方差为:
, 百拇医药
(11)
其中,
和
是logistic回归方程配合结果中的方差及协方差项,可以从方差及协方差矩阵中直接得到,h1、h2和h3在计算不同的交互作用指标时计算公式不同:
计算RERI时,h1=-exp(
1);h2=-exp(
2);h3=exp(
3)
, http://www.100md.com
计算AP(AB)时,h1=-exp(
1-
3);h2=-exp(
2-
3);
计算指数S时
把所有的指标代入公式(11)中求得各项交互作用指标的方差,然后开方求得标准差,用标准差就可以用以下公式求各指标的95%可信区间。
, http://www.100md.com
估计值±1.96×标准差
(13)
这里请注意,用这种方法求得的可信区间分别是RERI、AP(AB)和ln(S)的可信区间,要得到S的可信区间还得进一步取反自然对数求得。
实例分析
为了分析饮酒和吸烟在男性口腔癌发生过程中的交互作用,收集到了如下病例对照资料(表2)。下面将用本文介绍的三种方法计算饮酒和吸烟在口腔癌发生过程中的交互作用。先计算三个指标的点估计值,然后用计算Index S可信区间的过程作为示范计算可信区间。
表2 242例口腔癌病人和216例对照的饮酒和吸烟资料 口腔癌
饮酒(A)
吸烟(B)
, http://www.100md.com
是
否
是
是
225
6
否
166
12
是
否
8
3
否
, http://www.100md.com
18
20
1.直接计算法:根据表2资料可得RR(AB)=(225×20)÷(166×3)=9.04;
RR(
B)=(8×20)÷(18×3)=2.96;
RR(A
)=(6×20)÷(12×3)=3.33;
所以,RERI=9.04-(3.33+2.96)+1=3.75;
AP(AB)=3.75÷9.04=0.41;
Index S=(9.04-1)÷(2.96+3.33-2)=1.87
, http://www.100md.com
2.多元回归法(1)
把表2资料输入计算机,根据本文所介绍方法设置变量,配合logistic回归方程,得到如下结果,交互作用的三个指标为:
RERI=exp(1.204+1.086-0.089)-exp(1.204)-exp(1.086)+1=3.75
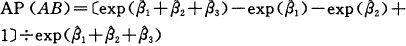
AP(AB)=3.75÷〔exp(1.204+1.086-0.089)〕=0.41
Index S=〔exp(1.204+1.086-0.089)-1〕÷〔exp(1.204)+exp(1.086)-2〕=1.87
表3 口腔癌资料的logistic回归(1)结果 参数
估计值
, http://www.100md.com
标准误
P值
常数
-1.897
0.619
0.002
饮酒
1.204
0.796
0.130
吸烟
1.086
0.751
, 百拇医药
0.148
饮酒×吸烟
-0.089
0.908
0.922
3.多元回归法(2)
把表2资料输入计算机,根据本文所介绍方法重新设置D1、D2和D3变量,配合logistic回归方程,得到如下结果:
表4 口腔癌资料的logistic回归(2)结果 参数
估计值
标准误
, http://www.100md.com
P值
常数
-1.897
0.619
0.002
D1
1.204
0.796
0.130
D2
1.086
0.751
, 百拇医药 0.148
D3
2.201
0.627
0.001
交互作用的三个指标为:
RERI=exp(2.201)-exp(1.204)-exp(1.086)+1=3.75
AP(AB)=exp(-2.201)-exp(1.204-2.201)-exp(1.086-2.201)+1=0.41
Index S=exp(2.201)÷〔exp(1.204)+exp(1.086)-2〕=1.87
, http://www.100md.com
4.可信区间估计(以Index S的可信区间为例)
按多元回归法(2)配合logistic回归方程后得到方差协方差矩阵。
表4 口腔癌资料的logistic回归(2)方差协方差矩阵
1
2
3
4
1
0.383
0.383
0.383
, 百拇医药 -0.383
2
0.383
0.633
0.383
0.383
3
0.383
0.383
0.563
0.383
4
-0.383
, 百拇医药
0.383
0.383
0.393
当计算Index S时,h1=-exp(1.204)÷〔exp(1.204)+exp(1.086)-2〕=-0.776
h2=-exp(1.086)÷〔exp(1.204)+exp(1.086)-2〕=-0.690
h3=-exp(2.201)÷〔exp(2.201)-1〕=1.125
并且有
所以,Var[ln(S)]=0.294,SE[ln(S)]=0.542,先求ln(S)的可信区间,然后取反对数的S的95%可信区间为:0.646, http://www.100md.com
读者根据本文所介绍方法,可得RERI及AP(AB)的可信区间分别为:
-1.84
-0.073
SAS计算程序
由于计算交互作用指标可信区间的过程较为复杂,计算过程中容易出错,本文作者备有整个计算过程的SAS程序。该SAS程序可在SAS6.07及以后的版本上直接运行得到三个指标的估计值和可信区间。应用时注意要根据资料的特征(原始资料或本例的四格表资料)作适当调整,四格表资料直接用本文的程序。SAS6.07以前版本也可以直接计算,但必须对变量设置和SAS程序作适当修改。索取程序请与作者联系。
(索取本文有关的资料或问题解答,请与本文作者孙奕联系)
, 百拇医药
参考文献
1.Rothman KJ.Modern Epidemiology.Boston:Little,Brown,1986.
2.Rothman KJ.Keller AZ.The effect of joint exposure to alcohol and tabocco on risk of cancer of the mouth and pharynx.J Chron Dis 1972,23:711~716.
3.Hoswer DW,Lesmeshow S.Confidence Interval Extimation of Interaction.Epidemiology,1992,3(5):452~456.
4.Walker AM.Proportion of disease attributable to the combined effect of two factors.Int J Epidemiol 1981,10:81~85., 百拇医药
单位:向惠云 Colorado State University,U.S.A; 余松林 孙奕 同济医科大学卫生统计教研室(430030); 刘红艳 汉口协和医院传染科试验室
关键词:交互作用;多元分析;评价指标
中国卫生统计990301 【提 要】 目的 旨在探讨疾病资料多元分析中两因子相互作用的三个评价指标。方法 从理论上提出了两因子相互作用三个评价指标的构造,详细介绍了用直接法和多元回归方程系数法求解三个评价指标及可信区间的过程,最后用饮酒和吸烟在男性口腔癌发生过程中的交互作用的例子进行了验证。结果 用直接法和多元回归方程系数法求解三个评价指标及可信区间的详细过程通过具体的实例进行了解答。结论 在现实的疾病资料多元分析中,交互作用多采用在多元回归方程中加入两因子的乘积项的方法加以分析,本文提出的三个新的评价指标有助于更深地分析两因子的交互作用。
, 百拇医药
Estimation of Interaction of Two Factors in Epidemiology Data
Xiang Huiyun,et al.Colorado State University,U.S.A
【Abstract】 Objective This paper has proposed three new indices for measuring interaction of two factors in the analysis of epidemiological data.Methods The procedures for designing and calculating the three indices with confidence interval have been demonstrated through a real example of analysis of interaction of cigarette smoking and alcohol drinking among male oral cancer patients.Results RERI(Relative Excess Risk Index),AP(Attributable Proportion),S Index(Synergy Index),and their confidence intervals have been calculated and presented using data of smoking,alcohol drinking,and male oral cancer data.Conclusion The proposed indices would aid evaluation of interaction of factors in the multivariate analysis of epidemiological data.
, 百拇医药
【Key words】 Interaction Confidence intervals Multivariate analysis Epidemiology
多元分析中因素的交互作用是指当两个因子同时存在时的作用大于两因子单独作用之和。交互作用的分析在理解健康因素的作用机理及健康评价等流行病学分析中有着重要的作用,但鉴于各种原因,目前大多采用分析多元回归方程中因子乘积项的回归系数方法进行分析。Rothman(1986)及Hosmer等(1992)从理论和计算方法上系统探讨了交互作用的分析指标的构造及计算方法,指出了用回归方程中两因子乘积项分析的不足。本文拟就Rothman提出的三种交互作用的指标及其可信区间的计算方法加以介绍,拟为疾病资料多元分析中评价因子的交互作用提供参考。
交互作用指标的构造
在以下的分析中,A和B分别代表危险因子A和B存在,
, http://www.100md.com
指标1 超相对危险比RERI(Relative Excess Risk),定义为:
(1)
该指标评价因子A和因子B同时作用时的联合作用与因子A和因子B单独作用之和的差别。
指标2 归因比AP(Attributable Proportions),定义为:
(2)
该指标评价两因子(A和B)同时存在时疾病中可以归因于两因子交互作用的比例。
指标3 交互作用指数S(The Synergy Index S),定义为:
, http://www.100md.com
(3)
当交互作用不存在时,指标1(PERI)和指标2〔AP(AB)〕值为0,指标3〔Index S〕值为1。即使指标1和指标2不为0、指标3不为1,但由于估计过程中存在着误差,必须估计指标的可信区间,观察PERI和AP(AB)是否包含0,Index S是否包含1,才能得出有意义的结论。
交互作用指标的估计
方法一:直接估计法。
把资料整理成如下格式。然后按所给公式计算交互作用指标。
表1 分析交互作用资料格式表 疾病
因子A
因子B
, http://www.100md.com 是
否
是
是
a
b
否
c
d
是
否
e
f
否
, 百拇医药
g
h
这里有:
然后把这些值代入公式1、公式2及公式3中可计算出交互作用指标。
方法二:多元回归法(1)
把因子(A和B)及疾病结果取值为1或0(存在为1:不存在为0),用两因子乘积项表示交互作用。把疾病结果当作Y变量,因子A、因子B及乘积项分别作X1、X2、X3变量配合logistic回归方程,得到回归系数
, 百拇医药
(4)
(5)
(6)
方法三:多元回归法(2)
根据危险因子的不同组合,重新设置三个新变量D1、D2、D3,其定义为: 因子A
因子B
D1
D2
, http://www.100md.com
D3
-
-
0
0
0
+
-
1
0
0
-
+
0
, 百拇医药
1
0
+
+
0
0
1
然后把疾病结果当作Y变量,D1、D2和D3分别为X1、X2、X3变量配合logistic回归方程,得到回归系数
, 百拇医药
(7)
(8)
(9)
交互作用指标可信区间的估计
交互作用可信区间的估计可从多元回归方法(2)的结果中计算出,其计算方法如下。设h(θ)代表三个交互作用指标相对于参数θ的偏导数,即:
(10)
方差为:
, 百拇医药
(11)
其中,
计算RERI时,h1=-exp(
, http://www.100md.com
计算AP(AB)时,h1=-exp(
计算指数S时
把所有的指标代入公式(11)中求得各项交互作用指标的方差,然后开方求得标准差,用标准差就可以用以下公式求各指标的95%可信区间。
, http://www.100md.com
估计值±1.96×标准差
(13)
这里请注意,用这种方法求得的可信区间分别是RERI、AP(AB)和ln(S)的可信区间,要得到S的可信区间还得进一步取反自然对数求得。
实例分析
为了分析饮酒和吸烟在男性口腔癌发生过程中的交互作用,收集到了如下病例对照资料(表2)。下面将用本文介绍的三种方法计算饮酒和吸烟在口腔癌发生过程中的交互作用。先计算三个指标的点估计值,然后用计算Index S可信区间的过程作为示范计算可信区间。
表2 242例口腔癌病人和216例对照的饮酒和吸烟资料 口腔癌
饮酒(A)
吸烟(B)
, http://www.100md.com
是
否
是
是
225
6
否
166
12
是
否
8
3
否
, http://www.100md.com
18
20
1.直接计算法:根据表2资料可得RR(AB)=(225×20)÷(166×3)=9.04;
RR(
RR(A
所以,RERI=9.04-(3.33+2.96)+1=3.75;
AP(AB)=3.75÷9.04=0.41;
Index S=(9.04-1)÷(2.96+3.33-2)=1.87
, http://www.100md.com
2.多元回归法(1)
把表2资料输入计算机,根据本文所介绍方法设置变量,配合logistic回归方程,得到如下结果,交互作用的三个指标为:
RERI=exp(1.204+1.086-0.089)-exp(1.204)-exp(1.086)+1=3.75
AP(AB)=3.75÷〔exp(1.204+1.086-0.089)〕=0.41
Index S=〔exp(1.204+1.086-0.089)-1〕÷〔exp(1.204)+exp(1.086)-2〕=1.87
表3 口腔癌资料的logistic回归(1)结果 参数
估计值
, http://www.100md.com
标准误
P值
常数
-1.897
0.619
0.002
饮酒
1.204
0.796
0.130
吸烟
1.086
0.751
, 百拇医药
0.148
饮酒×吸烟
-0.089
0.908
0.922
3.多元回归法(2)
把表2资料输入计算机,根据本文所介绍方法重新设置D1、D2和D3变量,配合logistic回归方程,得到如下结果:
表4 口腔癌资料的logistic回归(2)结果 参数
估计值
标准误
, http://www.100md.com
P值
常数
-1.897
0.619
0.002
D1
1.204
0.796
0.130
D2
1.086
0.751
, 百拇医药 0.148
D3
2.201
0.627
0.001
交互作用的三个指标为:
RERI=exp(2.201)-exp(1.204)-exp(1.086)+1=3.75
AP(AB)=exp(-2.201)-exp(1.204-2.201)-exp(1.086-2.201)+1=0.41
Index S=exp(2.201)÷〔exp(1.204)+exp(1.086)-2〕=1.87
, http://www.100md.com
4.可信区间估计(以Index S的可信区间为例)
按多元回归法(2)配合logistic回归方程后得到方差协方差矩阵。
表4 口腔癌资料的logistic回归(2)方差协方差矩阵
1
2
3
4
1
0.383
0.383
0.383
, 百拇医药 -0.383
2
0.383
0.633
0.383
0.383
3
0.383
0.383
0.563
0.383
4
-0.383
, 百拇医药
0.383
0.383
0.393
当计算Index S时,h1=-exp(1.204)÷〔exp(1.204)+exp(1.086)-2〕=-0.776
h2=-exp(1.086)÷〔exp(1.204)+exp(1.086)-2〕=-0.690
h3=-exp(2.201)÷〔exp(2.201)-1〕=1.125
并且有
所以,Var[ln(S)]=0.294,SE[ln(S)]=0.542,先求ln(S)的可信区间,然后取反对数的S的95%可信区间为:0.646
读者根据本文所介绍方法,可得RERI及AP(AB)的可信区间分别为:
-1.84
-0.073
SAS计算程序
由于计算交互作用指标可信区间的过程较为复杂,计算过程中容易出错,本文作者备有整个计算过程的SAS程序。该SAS程序可在SAS6.07及以后的版本上直接运行得到三个指标的估计值和可信区间。应用时注意要根据资料的特征(原始资料或本例的四格表资料)作适当调整,四格表资料直接用本文的程序。SAS6.07以前版本也可以直接计算,但必须对变量设置和SAS程序作适当修改。索取程序请与作者联系。
(索取本文有关的资料或问题解答,请与本文作者孙奕联系)
, 百拇医药
参考文献
1.Rothman KJ.Modern Epidemiology.Boston:Little,Brown,1986.
2.Rothman KJ.Keller AZ.The effect of joint exposure to alcohol and tabocco on risk of cancer of the mouth and pharynx.J Chron Dis 1972,23:711~716.
3.Hoswer DW,Lesmeshow S.Confidence Interval Extimation of Interaction.Epidemiology,1992,3(5):452~456.
4.Walker AM.Proportion of disease attributable to the combined effect of two factors.Int J Epidemiol 1981,10:81~85., 百拇医药