红豆杉种子中的新紫杉烷类化合物
作者:常海涛(摘译) 史玉俊(校)
单位:
关键词:
红豆杉种子中的新紫杉烷类化合物 自从紫杉醇在临床上用于治疗乳腺癌和卵巢癌后,人们一直在寻找这种药物的新来源,并对其进行结构修饰,研究其构效关系。研究发现,许多紫杉烷类化合物可作为半合成紫杉醇或其同系物的原料。作者对红豆杉 Taxus chinensis (Pilg)Rehd. 的种子进行了研究,从中分离得到2种新紫杉烷类物和11种已知的紫杉烷类物。
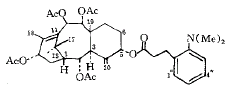
红豆杉种子的乙醇提取物分别用正己烷和 25% 水-甲醇萃取。萃取物经 Sephadex LH-20 柱层析、硅胶柱层析及反相柱层析分离得到 13 个化合物,其中2 个新紫杉烷为:Ⅰ:2α-乙酰氧基-2′,7-双去乙酰氧基 austrospicatine,白色粉末,[α]D+33.7°,其 1HNMR、13CNMR 数据与化合物Ⅲ (taxuspine Z)相似,只比Ⅲ多一个乙酰基。运用 Cosy 谱可判定乙酰基连接在 C-2 上。Ⅲ 乙酰化后生成的化合物与 Ⅰ 相同,进一步证实了 Ⅰ 的结构和立体构型(图1)。
图1 化合物Ⅰ的结构
图2 化合物Ⅱ的结构
Ⅱ:5-去肉桂酰 taxine E,白色粉末,[α]D+33.8°,结构式和立体构型通过光谱数据表明其 20 和 11 位有两个不饱和双键,还有 4 个甲基和 4 个乙酰氧基,乙酰化后形成 2α,5α,9α,10β,13α-五 乙酰氧基-4(20),11-紫杉二烯(图2)。
[Yin J C,et al. J Nat Prod,1999,62(1):149], 百拇医药
单位:
关键词:
红豆杉种子中的新紫杉烷类化合物 自从紫杉醇在临床上用于治疗乳腺癌和卵巢癌后,人们一直在寻找这种药物的新来源,并对其进行结构修饰,研究其构效关系。研究发现,许多紫杉烷类化合物可作为半合成紫杉醇或其同系物的原料。作者对红豆杉 Taxus chinensis (Pilg)Rehd. 的种子进行了研究,从中分离得到2种新紫杉烷类物和11种已知的紫杉烷类物。
红豆杉种子的乙醇提取物分别用正己烷和 25% 水-甲醇萃取。萃取物经 Sephadex LH-20 柱层析、硅胶柱层析及反相柱层析分离得到 13 个化合物,其中2 个新紫杉烷为:Ⅰ:2α-乙酰氧基-2′,7-双去乙酰氧基 austrospicatine,白色粉末,[α]D+33.7°,其 1HNMR、13CNMR 数据与化合物Ⅲ (taxuspine Z)相似,只比Ⅲ多一个乙酰基。运用 Cosy 谱可判定乙酰基连接在 C-2 上。Ⅲ 乙酰化后生成的化合物与 Ⅰ 相同,进一步证实了 Ⅰ 的结构和立体构型(图1)。
图1 化合物Ⅰ的结构
图2 化合物Ⅱ的结构
Ⅱ:5-去肉桂酰 taxine E,白色粉末,[α]D+33.8°,结构式和立体构型通过光谱数据表明其 20 和 11 位有两个不饱和双键,还有 4 个甲基和 4 个乙酰氧基,乙酰化后形成 2α,5α,9α,10β,13α-五 乙酰氧基-4(20),11-紫杉二烯(图2)。
[Yin J C,et al. J Nat Prod,1999,62(1):149], 百拇医药