补锌对颌面骨折后血锌含量影响的比较研究
作者:杨 莽 姚隆浩 王国民 徐 兵 杨文君 陈 阳
单位:杨莽 200120上海,上海市东方医院口腔科;姚隆浩、王国民、徐兵、杨文君、陈阳 上海第二医科大学口腔医学院
关键词:锌;骨折愈合;血清锌浓度
补锌对颌面骨折后血锌含量影响的比较研究 提 要 通过对12只实验性颧骨骨折新西兰兔在骨折愈合初期采用补锌和未补锌两种处理方法,来比较研究两组在不同时期血锌含量的变化。结果表明:术后第1天,两组血锌含量均显著下降(P<0.05),对照组第3天仍明显低于术前(P<0.05),而实验组则明显升高,与术前相比,差异不显著(P>0.05)。后期两组曲线变化基本相同,但实验组在各时期血锌含量均高于对照组。提示:补锌可维持血锌含量在高水平,对骨折愈合是有利的。
A comparative study of effects of zinc on serum zinc concentration during maxillofacial fracture healing. YangMang,et al. Department of Stomatology, Shanghai Oriental Hospital, Shanghai 200120
, 百拇医药
Abstract Twelve New Zealand Rabbits with maxillofacial fractures were studied in order to investigate how effects of zinc on serum zinc concentration during fracture healing. The results showed that: Serum zinc concentration decreased significantly in two groups on the lst day(P<0.05). The control group remain significantly decreased on the 3rd day(P<0.05),while the experimental group increased gradually and return to normal level and the difference was not markedly compared with the preoperatively(P>0.05). The serum zinc line in two groups is likely the same in the afterward, but the concentration in experimental group is lasted higher than those of in control group. It implies that extra zinc supplement in early days can maintain the serum zinc concentration in high level, and can improve the fracture healing.
, 百拇医药
Key words zinc frature healing serum zinc concentration
材料和方法
动物实验 选用成年、健康雄性的新西兰兔12只,体重约2.5~3.0 kg,按随机化原则决定实验组和对照组,每组各为6只,动物房中适应性喂养两周后开始实验。用2.5%戊巴比妥钠自耳缘静脉麻醉(按40mg/kg计算)。在无菌操作条件下自双侧眶下区颧骨表面切开皮肤、皮下组织及附着于颧骨表面的嚼肌,显露颧骨后,用牙钻在冷却状态下自颧骨中段形成骨折,骨折线宽度约2mm,术中及术后未加以任何固定,冲洗伤口后分层缝合。
用药方法 实验组术前1天及术后2周内每日肌注0.2%硫酸锌灭菌注射液,按1mg/kg计算;对照组则肌注无菌蒸馏水注射液,按0.5ml/kg计算。
研究内容
, http://www.100md.com
术前1天及术后1、3天,1、2、3、4周分别自耳静脉取血,每次约2ml,置于清洁干燥的试管中,静置2小时后离心,分离血清,用原子吸收光谱法分别测定两组在不同时期血清锌含量,测定结果用成组t检验进行统计学处理。抽血时间定为每日中午11∶00。
结 果
1. 血清锌含量测定结果(表1)。
表1 血清锌含量测定值(μmol/L) (
±s)
实 验 组
对 照 组
术前1d
, 百拇医药
2.4512±0.2488
2.4512±0.2488
术后1d
1.6765±0.1479*
1.6527±0.1673*
术后3d**
2.2148±0.0942
1.8157±0.1271*
术后7d
2.4473±0.3918
2.2345±0.1964
, 百拇医药
术后2W
2.6478±0.2420
2.5458±0.1400
术后3W**
2.6938±0.2308
2.2257±0.1794
术后4W
3.1528±0.4328
2.7608±0.1391
注:*不同时期血锌值与术前相比 P<0.05
**同一时期两组血锌值相比 P<0.05
, http://www.100md.com
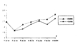
2. 血清锌含量变化曲线(第1—4周)(图1)。
图1 骨折愈合初期血锌含量变化曲线
(第1~4周)
讨 论
正常情况下,血锌含量是稳定的,而创伤可引起血锌含量的变化。从本文结果可以看出,颌面骨折后会引起血锌的短期降低,即使补锌也未能阻止这一现象的发生。有学者认为[1],创伤后血锌降低是体锌的一种主动释放过程,其释放量与创伤的性质和程度是一致的。造成血锌降低的原因主要有[2~4]:①骨折损伤会引起机体ACTH和LEM(Leukocyte Endogenous Mediator白细胞内源性介质)升高,从而引起体锌的重新分布,把锌输送到创面组织,有利于创面愈合,从而引起血锌降低。②血锌绝大部分和血浆蛋白相结合,骨折出血会使血浆蛋白大量丢失,进而引起血锌降低。③创伤后会引起锌与血浆中一些小分子化合物(如氨基酸)结合而被肾脏滤过排出;同时发生锌浓度升高,加剧了血锌的丢失。
, http://www.100md.com
从本文结果(表1和图1)可以看到:①骨折后1天至4周,两组血锌曲线均保持上升趋势,提示在骨折后机体对锌的需要量增加。②两组曲线形状相似,但补锌组各时间段锌含量均超过未补锌组,说明补锌有助于提高血锌含量。③补锌组术后1天血锌明显下降,术后第3天即明显恢复,而未补锌组至第7天才恢复术前水平,说明补锌可缩短血锌下降时间。有实验证明,即使血锌呈短暂性下降,也会影响到创伤早期肉芽组织的胶原积累,不利于创口愈合。因而创伤后保持一定浓度的血锌含量对创伤组织的修复是必要的。
参 考 文 献
[1] Lindeman RD. Influence of Acute Tissue Injury on Zinc Metabolism in Man. J Lab Clin Med, 1972;79:452.
[2] Tengrup I, Ahonen J, Zederfeldt B. Influence of Zinc Synthesis and the Accumulation of Collagen in Early Granulation Tissue. Surg Gynecology Obstetrics, 1981;152:323~326.
[3] Karcioglu ZA. Zinc and Copper in Medicine. Illinois:Thomes, 1980:535~555.
[4] Hallbook T, Hedelin H. Zinc Metabolism and Surgical Trauma. Br J Surg, 1977;64:271~273.
(收 稿:1998—08—20
修改稿:1998—09—14), http://www.100md.com
单位:杨莽 200120上海,上海市东方医院口腔科;姚隆浩、王国民、徐兵、杨文君、陈阳 上海第二医科大学口腔医学院
关键词:锌;骨折愈合;血清锌浓度
补锌对颌面骨折后血锌含量影响的比较研究 提 要 通过对12只实验性颧骨骨折新西兰兔在骨折愈合初期采用补锌和未补锌两种处理方法,来比较研究两组在不同时期血锌含量的变化。结果表明:术后第1天,两组血锌含量均显著下降(P<0.05),对照组第3天仍明显低于术前(P<0.05),而实验组则明显升高,与术前相比,差异不显著(P>0.05)。后期两组曲线变化基本相同,但实验组在各时期血锌含量均高于对照组。提示:补锌可维持血锌含量在高水平,对骨折愈合是有利的。
A comparative study of effects of zinc on serum zinc concentration during maxillofacial fracture healing. YangMang,et al. Department of Stomatology, Shanghai Oriental Hospital, Shanghai 200120
, 百拇医药
Abstract Twelve New Zealand Rabbits with maxillofacial fractures were studied in order to investigate how effects of zinc on serum zinc concentration during fracture healing. The results showed that: Serum zinc concentration decreased significantly in two groups on the lst day(P<0.05). The control group remain significantly decreased on the 3rd day(P<0.05),while the experimental group increased gradually and return to normal level and the difference was not markedly compared with the preoperatively(P>0.05). The serum zinc line in two groups is likely the same in the afterward, but the concentration in experimental group is lasted higher than those of in control group. It implies that extra zinc supplement in early days can maintain the serum zinc concentration in high level, and can improve the fracture healing.
, 百拇医药
Key words zinc frature healing serum zinc concentration
材料和方法
动物实验 选用成年、健康雄性的新西兰兔12只,体重约2.5~3.0 kg,按随机化原则决定实验组和对照组,每组各为6只,动物房中适应性喂养两周后开始实验。用2.5%戊巴比妥钠自耳缘静脉麻醉(按40mg/kg计算)。在无菌操作条件下自双侧眶下区颧骨表面切开皮肤、皮下组织及附着于颧骨表面的嚼肌,显露颧骨后,用牙钻在冷却状态下自颧骨中段形成骨折,骨折线宽度约2mm,术中及术后未加以任何固定,冲洗伤口后分层缝合。
用药方法 实验组术前1天及术后2周内每日肌注0.2%硫酸锌灭菌注射液,按1mg/kg计算;对照组则肌注无菌蒸馏水注射液,按0.5ml/kg计算。
研究内容
, http://www.100md.com
术前1天及术后1、3天,1、2、3、4周分别自耳静脉取血,每次约2ml,置于清洁干燥的试管中,静置2小时后离心,分离血清,用原子吸收光谱法分别测定两组在不同时期血清锌含量,测定结果用成组t检验进行统计学处理。抽血时间定为每日中午11∶00。
结 果
1. 血清锌含量测定结果(表1)。
表1 血清锌含量测定值(μmol/L) (
实 验 组
对 照 组
术前1d
, 百拇医药
2.4512±0.2488
2.4512±0.2488
术后1d
1.6765±0.1479*
1.6527±0.1673*
术后3d**
2.2148±0.0942
1.8157±0.1271*
术后7d
2.4473±0.3918
2.2345±0.1964
, 百拇医药
术后2W
2.6478±0.2420
2.5458±0.1400
术后3W**
2.6938±0.2308
2.2257±0.1794
术后4W
3.1528±0.4328
2.7608±0.1391
注:*不同时期血锌值与术前相比 P<0.05
**同一时期两组血锌值相比 P<0.05
, http://www.100md.com
2. 血清锌含量变化曲线(第1—4周)(图1)。
图1 骨折愈合初期血锌含量变化曲线
(第1~4周)
讨 论
正常情况下,血锌含量是稳定的,而创伤可引起血锌含量的变化。从本文结果可以看出,颌面骨折后会引起血锌的短期降低,即使补锌也未能阻止这一现象的发生。有学者认为[1],创伤后血锌降低是体锌的一种主动释放过程,其释放量与创伤的性质和程度是一致的。造成血锌降低的原因主要有[2~4]:①骨折损伤会引起机体ACTH和LEM(Leukocyte Endogenous Mediator白细胞内源性介质)升高,从而引起体锌的重新分布,把锌输送到创面组织,有利于创面愈合,从而引起血锌降低。②血锌绝大部分和血浆蛋白相结合,骨折出血会使血浆蛋白大量丢失,进而引起血锌降低。③创伤后会引起锌与血浆中一些小分子化合物(如氨基酸)结合而被肾脏滤过排出;同时发生锌浓度升高,加剧了血锌的丢失。
, http://www.100md.com
从本文结果(表1和图1)可以看到:①骨折后1天至4周,两组血锌曲线均保持上升趋势,提示在骨折后机体对锌的需要量增加。②两组曲线形状相似,但补锌组各时间段锌含量均超过未补锌组,说明补锌有助于提高血锌含量。③补锌组术后1天血锌明显下降,术后第3天即明显恢复,而未补锌组至第7天才恢复术前水平,说明补锌可缩短血锌下降时间。有实验证明,即使血锌呈短暂性下降,也会影响到创伤早期肉芽组织的胶原积累,不利于创口愈合。因而创伤后保持一定浓度的血锌含量对创伤组织的修复是必要的。
参 考 文 献
[1] Lindeman RD. Influence of Acute Tissue Injury on Zinc Metabolism in Man. J Lab Clin Med, 1972;79:452.
[2] Tengrup I, Ahonen J, Zederfeldt B. Influence of Zinc Synthesis and the Accumulation of Collagen in Early Granulation Tissue. Surg Gynecology Obstetrics, 1981;152:323~326.
[3] Karcioglu ZA. Zinc and Copper in Medicine. Illinois:Thomes, 1980:535~555.
[4] Hallbook T, Hedelin H. Zinc Metabolism and Surgical Trauma. Br J Surg, 1977;64:271~273.
(收 稿:1998—08—20
修改稿:1998—09—14), http://www.100md.com