6-硫辛酸的新合成方法
作者:王 钝 宫 平 丁亚平
单位:王 钝 宫 平 沈阳药科大学制药系药物合成教研室,沈阳 110015;丁亚平 东北制药总厂质量处,沈阳 110026
关键词:6-硫辛酸;环己酮;合成
摘 要 以环己酮为起始原料摘 要 以环己酮为起始原料,经5步反应合成6-硫辛酸,总收率为25%,6-硫辛酸的结构经熔点测定、红外光谱分析得以确认.
A New Synthetic Method of 6-Thioctic Acid
Wang Dun,Gong Ping
(Pharmaceutical Department of Shenyang Pharmaceutical University,Shenyang 110015)
, 百拇医药
Ding Yaping
(Quality Control Department of the North-Easten Pharmaceutical Factory,Shenyang 110026)
Abstract 6-Thioctic acid was synthesized from cyclohexanone through five steps and the total yield was 25%.The structure of 6-thioctic acid was conformed by the mp test and IR spectrum.
Key words 6-thioctic acid;cyclohexanone;synthesis
6-硫辛酸是生化学中颇为重要的一种化学物质〔1〕,它在临床上用于肝病的治疗,具有抗病毒作用且副作用小〔2〕.关于其合成,文献〔1~4〕报道方法较多,但或原料不易得,或步骤繁冗,均有不尽人意之处.
, 百拇医药
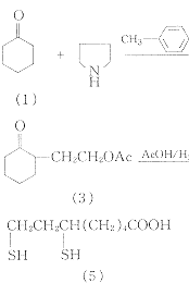
文献〔2〕以环己酮(1)为原料,经烯胺化、加成、羰基保护、还原、乙酰化、脱保护基、过氧化、取代、氧化共9步反应合成6-硫辛酸(6),总收率为19%.本文对该法加以改进,以(1)为起始原料,经烯胺化、加成、过氧化、取代、氧化共5步反应得到(6),总收率为25%,本法具有反应步骤短,操作简便,收率较高的特点,合成路线如图1所示.

Fig.1 The route of synthesis
1 实验部分
1.1 2-乙酰氧乙基环己酮(3)的制备
, 百拇医药
在1 000 mL圆底瓶中加入环己酮50 g、四氢吡咯120 g、苯250 mL,安装苯带水装置,加热回流1.5 h,直至理论量的水全被带出且继续加热再无水生成,反应液减压浓缩得油状残留物,即环己酮-四氢吡咯粗品(2).
将无水苯250 mL加入烯胺中,加热回流,滴加2-碘代乙酸乙酯130 g,加毕加热回流5 h,减压蒸尽溶剂及过量的2-碘代乙酸乙酯,得粘稠残留物,加入甲醇150 mL、水40 mL,回流2 h,反应液减压浓缩,残留物中加入水100 mL,以醚40 mL×3提取,无水硫酸钠干燥醚层,减压蒸尽溶剂,残留液减压精馏,收集bp 152~156℃/2 666 Pa馏分,得(3)62 g,收率:65%(文献〔2〕bp 142~146℃/2 000 Pa,收率:54%).
1.2 6-羟基-8-乙酰氧基正辛酸内酯(4)的制备
将化合物(3)10 g加入乙酸20 mL与双氧水20 mL的混合液中,室温放置24 h,加入二氯甲烷50 mL,所得混合液用5%碳酸钠溶液洗至中性,分离得有机层,水洗,无水硫酸钠干燥,减压蒸尽溶剂,残留液减压精馏,收集bp 150~154℃/666.6 Pa馏分,得(4)6.8 g,收率:63%(文献〔2〕bp 126~130℃/67 Pa,收率:65%).
, http://www.100md.com
1.3 6,8-二硫醇基辛酸(5)的制备
将化合物(4)5 g、硫脲14.5 g及57%氢碘酸19 g混合,加热回流30 h,再加入35%氢氧化钾溶液70 mL,氮气保护下加热回流10 h使水解,反应混合液用乙醚提取,分离得到的水层加2 mol/L盐酸调至pH 3,氯仿提取,有机层水洗,无水硫酸钠干燥,减压浓缩,残留液减压蒸馏,收集bp 200~202℃/667 Pa馏分,得(5)4 g,收率:76%(文献〔2〕bp 180℃/200 Pa,收率:80%).
1.4 6-硫辛酸(6)的合成
将化合物(5)2 g溶于2 mol/L氢氧化钠溶液5 mL中,加入三氯化铁0.1 g,通氧气反应20 h,反应液用2 mol/L盐酸酸化,氯仿提取,有机层水洗,无水硫酸钠干燥,减压浓缩,残留液用石油醚(30~60℃)重结晶得(6)1.6 g,收率:80%,mp 61~62℃.IR(KBr)ν cm-1:1285,1234,(νC=O),1704(νC=O)〔文献〔2〕mp 61~62℃,IR(KBr)ν cm-1:1285,1235(νC=O),1704(νC=O)〕.
, 百拇医药
作者简介:王 钝 通讯联系人
参考文献
1 Braude EA,Linstead RP,Wood dridge RH.A new synthesis of 6∶8-thioctic acid.J Chem Soc,1956,3:3074~3078
2 Segre A,Viterbo R,Parisi G.A new synthesis of 6-thioctic acid(DL-2-Lipoic acid).J Ame Chem Soc,1957,79:3503~3505
3 Donald SA.6,8-Dithioctanoic acid.US Patent 2752373.1956-06-26
4 Donald SA.β-Dimercapto monocarboxylic acid.US Patent 2752374.1956-06-26
收稿日期:1999-07-10, 百拇医药
单位:王 钝 宫 平 沈阳药科大学制药系药物合成教研室,沈阳 110015;丁亚平 东北制药总厂质量处,沈阳 110026
关键词:6-硫辛酸;环己酮;合成
摘 要 以环己酮为起始原料摘 要 以环己酮为起始原料,经5步反应合成6-硫辛酸,总收率为25%,6-硫辛酸的结构经熔点测定、红外光谱分析得以确认.
A New Synthetic Method of 6-Thioctic Acid
Wang Dun,Gong Ping
(Pharmaceutical Department of Shenyang Pharmaceutical University,Shenyang 110015)
, 百拇医药
Ding Yaping
(Quality Control Department of the North-Easten Pharmaceutical Factory,Shenyang 110026)
Abstract 6-Thioctic acid was synthesized from cyclohexanone through five steps and the total yield was 25%.The structure of 6-thioctic acid was conformed by the mp test and IR spectrum.
Key words 6-thioctic acid;cyclohexanone;synthesis
6-硫辛酸是生化学中颇为重要的一种化学物质〔1〕,它在临床上用于肝病的治疗,具有抗病毒作用且副作用小〔2〕.关于其合成,文献〔1~4〕报道方法较多,但或原料不易得,或步骤繁冗,均有不尽人意之处.
, 百拇医药
文献〔2〕以环己酮(1)为原料,经烯胺化、加成、羰基保护、还原、乙酰化、脱保护基、过氧化、取代、氧化共9步反应合成6-硫辛酸(6),总收率为19%.本文对该法加以改进,以(1)为起始原料,经烯胺化、加成、过氧化、取代、氧化共5步反应得到(6),总收率为25%,本法具有反应步骤短,操作简便,收率较高的特点,合成路线如图1所示.
Fig.1 The route of synthesis
1 实验部分
1.1 2-乙酰氧乙基环己酮(3)的制备
, 百拇医药
在1 000 mL圆底瓶中加入环己酮50 g、四氢吡咯120 g、苯250 mL,安装苯带水装置,加热回流1.5 h,直至理论量的水全被带出且继续加热再无水生成,反应液减压浓缩得油状残留物,即环己酮-四氢吡咯粗品(2).
将无水苯250 mL加入烯胺中,加热回流,滴加2-碘代乙酸乙酯130 g,加毕加热回流5 h,减压蒸尽溶剂及过量的2-碘代乙酸乙酯,得粘稠残留物,加入甲醇150 mL、水40 mL,回流2 h,反应液减压浓缩,残留物中加入水100 mL,以醚40 mL×3提取,无水硫酸钠干燥醚层,减压蒸尽溶剂,残留液减压精馏,收集bp 152~156℃/2 666 Pa馏分,得(3)62 g,收率:65%(文献〔2〕bp 142~146℃/2 000 Pa,收率:54%).
1.2 6-羟基-8-乙酰氧基正辛酸内酯(4)的制备
将化合物(3)10 g加入乙酸20 mL与双氧水20 mL的混合液中,室温放置24 h,加入二氯甲烷50 mL,所得混合液用5%碳酸钠溶液洗至中性,分离得有机层,水洗,无水硫酸钠干燥,减压蒸尽溶剂,残留液减压精馏,收集bp 150~154℃/666.6 Pa馏分,得(4)6.8 g,收率:63%(文献〔2〕bp 126~130℃/67 Pa,收率:65%).
, http://www.100md.com
1.3 6,8-二硫醇基辛酸(5)的制备
将化合物(4)5 g、硫脲14.5 g及57%氢碘酸19 g混合,加热回流30 h,再加入35%氢氧化钾溶液70 mL,氮气保护下加热回流10 h使水解,反应混合液用乙醚提取,分离得到的水层加2 mol/L盐酸调至pH 3,氯仿提取,有机层水洗,无水硫酸钠干燥,减压浓缩,残留液减压蒸馏,收集bp 200~202℃/667 Pa馏分,得(5)4 g,收率:76%(文献〔2〕bp 180℃/200 Pa,收率:80%).
1.4 6-硫辛酸(6)的合成
将化合物(5)2 g溶于2 mol/L氢氧化钠溶液5 mL中,加入三氯化铁0.1 g,通氧气反应20 h,反应液用2 mol/L盐酸酸化,氯仿提取,有机层水洗,无水硫酸钠干燥,减压浓缩,残留液用石油醚(30~60℃)重结晶得(6)1.6 g,收率:80%,mp 61~62℃.IR(KBr)ν cm-1:1285,1234,(νC=O),1704(νC=O)〔文献〔2〕mp 61~62℃,IR(KBr)ν cm-1:1285,1235(νC=O),1704(νC=O)〕.
, 百拇医药
作者简介:王 钝 通讯联系人
参考文献
1 Braude EA,Linstead RP,Wood dridge RH.A new synthesis of 6∶8-thioctic acid.J Chem Soc,1956,3:3074~3078
2 Segre A,Viterbo R,Parisi G.A new synthesis of 6-thioctic acid(DL-2-Lipoic acid).J Ame Chem Soc,1957,79:3503~3505
3 Donald SA.6,8-Dithioctanoic acid.US Patent 2752373.1956-06-26
4 Donald SA.β-Dimercapto monocarboxylic acid.US Patent 2752374.1956-06-26
收稿日期:1999-07-10, 百拇医药