蝉翼藤属药用植物的研究概况
作者:杨学东 徐丽珍 杨世林
单位:中国医学科学院 中国协和医科大学 药用植物研究所 北京 100094
关键词:蝉翼藤属;化学成分;药理作用
中草药000537摘 要 蝉翼藤属植物中存在有黄酮、酮、生物碱、皂苷和有机酸等化学成分并具有抗 HIV、抗变异、抗白血病等多种药理活性,开发前景广阔。
蝉翼藤属 Securidaca Mill. 植物属远志科 (Polygalaceae),在全世界约有43种,主产于热带美洲,少数种分布于热带亚洲和非洲。我国仅有两种:蝉翼藤 S.inappendiculata Hassk. 和瑶山蝉翼藤 S.yaoshanensis Hao,分布于云南、广东、广西和海南[1]。蝉翼藤属植物中,民间作为药物应用的主要有3种:
, http://www.100md.com
(1)蝉翼藤,广西民间又称丢了棒、五味藤、一摩消等。其根茎味辛、甘、苦,性微寒。有活血化瘀、消肿止痛、清热利尿的功效,用于跌打损伤、风湿骨痛、腰肌劳损、急慢性肠胃炎、产后恶露不净等[2~4]。其茎叶常用于治疗过敏性皮疹[3]。
(2)长梗蝉翼藤 S.longipedunculata Fres. 是非洲传统药物,用于抗菌消炎,并且在宗教仪式上用作精神治疗药物,被当地人称为 “Tchunfki”[5,6]。
(3)长梗蝉翼藤变种 S.longipedunculata var. parvifolia 产于非洲的刚果、安哥拉、罗德西亚和莫桑比克。在刚果,其粗提物作止痛、泻药、流产、抗风湿和麻醉剂。部落妇女还将其用作自杀药物[7]。
笔者旨在对蝉翼藤属植物化学成分方面的研究成果作一概述,以期今后更加深入地研究该属植物及合理地开发利用该属植物资源。
, 百拇医药
1 化学成分
迄今为止,从蝉翼藤属植物中已确证的化学成分主要有黄酮与酮、生物碱、皂苷和有机酸及其衍生物等4类。
1.1 黄酮与酮类化合物[8,9]:主要是黄酮醇苷类的槲皮素苷和山柰酚苷,包括单糖苷和双糖苷。经水解鉴定糖的种类有葡萄糖、半乳糖、阿拉伯糖、木糖、鼠李糖和芹糖等。此外,Galeffi 等人还分离得到了一个酮化合物[9]。从本属中得到的黄酮及酮化合物列于表1中。
表1 蝉翼藤属植物中的黄酮与酮类成分 名 称
分子式
性状
熔点(℃)
槲皮素-3-葡糖苷
, http://www.100md.com
C21H20O12
黄色结晶
252~256
槲皮素-阿拉伯吡喃糖苷
C20H18O11
黄色结晶
槲皮素-3-木糖苷
C20H18O11
黄色结晶
槲皮素-3-鼠李糖苷
, 百拇医药
C21H20O11
黄色结晶
槲皮素-3-半乳糖苷
C21H20O12
槲皮素-3-槐糖苷
C27H30O17
槲皮素-3-2″-芹糖基半乳糖苷
C26H28O26
黄色粉末
, http://www.100md.com
183~188
槲皮素-3-2″-芹糖基葡糖苷
C26H28O16
黄色粉末
171~175
槲皮素-3-2″-芹糖基阿拉伯糖苷
C25H26O15
黄色粉末
162~166
槲皮素-3-2″-芹糖基木糖苷
, http://www.100md.com
C25H26O15
黄色粉末
164~168
山柰酚-3-阿拉伯糖苷
C20H18O10
黄色粉晶
240~244
山柰酚-3-芹糖基葡糖苷
C26H28O15
黄色粉末
, 百拇医药
165~170
2-羟基-1,7-二甲氧基酮
C15H12O15
1.2 皂苷类化合物:目前从文献上看仅有皂苷元的报道。苷元主要有3种:a.远志皂苷元(presenegenin)[10,11],又称细叶远志皂苷元(tenuigenin),即 2β,3β,27-trihydroxy-Δ12-oleanene-23,28-dioic acid;b.美远志皂苷元(senegenin)[11~13],即12-(chloromethyl)-2β,3β-dihydroxy-27-norolean-13-ene-23,28-dioic acid;c. 金合欢酸(acacic acid)[11,14]。此外,还有甾体皂苷元[7]等存在,但无详细报道。
, 百拇医药
皂苷水解产生的糖有:葡萄糖、半乳糖、木糖、苏阿糖、岩藻糖、鼠李糖、甘露糖、核糖等[7,10,12]。
1.3 有机酸及其衍生物类化合物:从长梗蝉翼藤和蝉翼藤中分离得到:芥子酸(sinapoic acid)、咖啡酸、4,5-二咖啡酰基-D-奎宁酸、3,4,5-三咖啡酰基-D-奎宁酸、β-D-(3-sinapoyl)fructofuranosyl-α-D-(6-sinapoyl)glucopyranoside、β-D-(3,4-disinapoyl)-fructo-furanosyl-α-D-(6-sinapoyl)glucopyranoside 以及水杨酸甲酯(Me salicylate)[7]、正二十六烷酸、花生酸和苯甲酸等[15]。
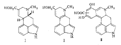
1.4 生物碱类化合物:Costa 等应用硅胶柱层析分离和多种质谱技术鉴定,证明长梗蝉翼藤中含有野麦角碱(elymoclavine,Ⅰ)和脱氢野麦角碱(dehydroelymoclavine,Ⅱ),并且还发现了一种新的麦角灵生物碱(Ⅲ),但未分出单体[5,16,17]。其结构如图1。
, 百拇医药
图1 长梗蝉翼藤中的生物碱类化合物
此外,运用GC-MS 技术对长梗蝉翼藤的主要挥发性成分进行了鉴定[18]。
2 药理活性
2.1 抗 HIV 活性:实验表明,许多多阴离子化合物具有使 T4 淋巴细胞免于 HIV 病毒感染的能力。其作用途径或者与硫酸多糖和外源凝集素(lectins)相同,即与 HIV gp120 糖蛋白结合;或者与金精三羧酸(aurintricarboxylic acid)相同,即与 CD4 受体结合[19~22]。从长梗蝉翼藤中得到的 3,4,5-三咖啡酰基奎宁酸和4,5-二咖啡酰基奎宁酸均具有选择性抑制 HIV 复制的活性,并且前者远强于后者。进一步的研究表明,这类化合物在体外对病毒反转录酶的抑制是非特异性的,他们是通过与 GP120 的特异结合防止其与 T 淋巴细胞的 CD4 发生作用,从而灭活 HIV 的感染能力[23]。
, 百拇医药
2.2 抗变应性和抗白血病活性:美远志皂苷和美远志酸镁具有抗变应性和抗慢性淋巴白血病的活性。其中,前者具有免疫抑制作用[13]。2.3 抗菌消炎活性:药理实验表明三萜酸 2β,3β,27-三羟基齐墩果-12-烯-23,28-二羧酸(远志皂苷元)具有抗菌消炎活性[24]。
此外,长梗蝉翼藤水提物中的皂苷还具有使青蛙心动过缓、心脏收缩幅度提高的作用[25]。
3 结语
蝉翼藤属植物在我国分布少,仅有2种。但蝉翼藤在我国作为民间药物被广泛应用于治疗跌打损伤、风湿骨痛、腰肌劳损、急慢性肠胃炎、产后恶露不净、过敏性皮疹等症。长梗蝉翼藤在非洲国家也作为传统药物得到使用。然而,到目前为止,本属植物的化学和药理学研究均很欠缺。近年来,本属植物中的生物碱类成分得到关注,被认为对神经系统有显著作用[5,16]。现有的药理学研究表明,本属植物具有较强的抗菌消炎、抗 HIV 等多种活性,具有较好的研究价值和广阔的开发前景。
, 百拇医药
Address:Yang Xuedong,Institute of Medicinal Plant Development,Chinese Academy of Medical Sciences,Peking Union Medical College,Beijing
杨学东 男,现在中国医学科学院、中国协和医科大学药用植物研究所攻读天然产物化学博 士学位。主要从事中草药活性成分的分析、提取分离、鉴定和结构修饰;新药质量标准和中 药复方研究。
参 考 文 献
1,中国科学院昆明植物所编.云南植物志.北京:科学出版社,1983:261
2,江苏植物研究所等编.新华本草纲要(第一册).上海:上海科学技术出版社,1988:292
3,谢宗万,等.全国中草药名鉴(上册).北京:人民卫生出版社,1996:229
, 百拇医药
4,尹彤东.中药材,1998,6:23
5,Costa C, et al. J Heterocyclic Chem,1992,29:1641
6,Nunziatina de Tommasi, et al. J Nat Prod,1993,56:134
7,Moes A, et al. J Pharm Belg,1966,21(7-8):347
8,Hamburger M, et al. Phytochemistry,1985,24:2689
9,Galeffi C, et al. Fitoterapia,1990,61(1):79
10,Delaude C. Bull Soc Roy Sci Liege,1971;40(5-8):397
, http://www.100md.com
11,林启寿.中草药成分化学.北京:科学出版社,1977:550,443,546
12,Davrenx M, et al. Bull Soc Roy Sci Liege,1971,40(9-10):498
13,Tubery P R., et al. Fr Demande FR 2,510,557(cl.c07c62/32),04 Feb 1983
14,Izzi E I, et al. Bull Soc R Sci Liege,1989,58(2):53
15,陈家源,等.中国药学杂志,1992,7(4):216
16,Costa C, et al. IL FARMACO,1992,47(1):121
, 百拇医药
17,Marina Scandola, et al. J Heterocyclic Chem,1994,31:219
18,Costa C, et al. Organic Mass Spectromery,1992,27:255
19,Mitsuya H L, et al. Science,1988,240:646
20,Baba M, et al. Annals NY Acad Sci,1989,556:419
21,Schols D, et al. Virology,1990,175:556
22,Weiler B E, et al. J Gen Virol,1990,71:1957
23,Mahmood N, et al. Antiviral Chemistry Chemotherapy,1993,4(4):235
24,Tubery P, et al. Fr Demande 2202683 (cl.A61k,Co7c),10 May 1974
25,J Fraga de Azevedo, et al. Bull Soc Pathol Exotique,1963,56:68
收稿1999-08-23, 百拇医药
单位:中国医学科学院 中国协和医科大学 药用植物研究所 北京 100094
关键词:蝉翼藤属;化学成分;药理作用
中草药000537摘 要 蝉翼藤属植物中存在有黄酮、酮、生物碱、皂苷和有机酸等化学成分并具有抗 HIV、抗变异、抗白血病等多种药理活性,开发前景广阔。
蝉翼藤属 Securidaca Mill. 植物属远志科 (Polygalaceae),在全世界约有43种,主产于热带美洲,少数种分布于热带亚洲和非洲。我国仅有两种:蝉翼藤 S.inappendiculata Hassk. 和瑶山蝉翼藤 S.yaoshanensis Hao,分布于云南、广东、广西和海南[1]。蝉翼藤属植物中,民间作为药物应用的主要有3种:
, http://www.100md.com
(1)蝉翼藤,广西民间又称丢了棒、五味藤、一摩消等。其根茎味辛、甘、苦,性微寒。有活血化瘀、消肿止痛、清热利尿的功效,用于跌打损伤、风湿骨痛、腰肌劳损、急慢性肠胃炎、产后恶露不净等[2~4]。其茎叶常用于治疗过敏性皮疹[3]。
(2)长梗蝉翼藤 S.longipedunculata Fres. 是非洲传统药物,用于抗菌消炎,并且在宗教仪式上用作精神治疗药物,被当地人称为 “Tchunfki”[5,6]。
(3)长梗蝉翼藤变种 S.longipedunculata var. parvifolia 产于非洲的刚果、安哥拉、罗德西亚和莫桑比克。在刚果,其粗提物作止痛、泻药、流产、抗风湿和麻醉剂。部落妇女还将其用作自杀药物[7]。
笔者旨在对蝉翼藤属植物化学成分方面的研究成果作一概述,以期今后更加深入地研究该属植物及合理地开发利用该属植物资源。
, 百拇医药
1 化学成分
迄今为止,从蝉翼藤属植物中已确证的化学成分主要有黄酮与酮、生物碱、皂苷和有机酸及其衍生物等4类。
1.1 黄酮与酮类化合物[8,9]:主要是黄酮醇苷类的槲皮素苷和山柰酚苷,包括单糖苷和双糖苷。经水解鉴定糖的种类有葡萄糖、半乳糖、阿拉伯糖、木糖、鼠李糖和芹糖等。此外,Galeffi 等人还分离得到了一个酮化合物[9]。从本属中得到的黄酮及酮化合物列于表1中。
表1 蝉翼藤属植物中的黄酮与酮类成分 名 称
分子式
性状
熔点(℃)
槲皮素-3-葡糖苷
, http://www.100md.com
C21H20O12
黄色结晶
252~256
槲皮素-阿拉伯吡喃糖苷
C20H18O11
黄色结晶
槲皮素-3-木糖苷
C20H18O11
黄色结晶
槲皮素-3-鼠李糖苷
, 百拇医药
C21H20O11
黄色结晶
槲皮素-3-半乳糖苷
C21H20O12
槲皮素-3-槐糖苷
C27H30O17
槲皮素-3-2″-芹糖基半乳糖苷
C26H28O26
黄色粉末
, http://www.100md.com
183~188
槲皮素-3-2″-芹糖基葡糖苷
C26H28O16
黄色粉末
171~175
槲皮素-3-2″-芹糖基阿拉伯糖苷
C25H26O15
黄色粉末
162~166
槲皮素-3-2″-芹糖基木糖苷
, http://www.100md.com
C25H26O15
黄色粉末
164~168
山柰酚-3-阿拉伯糖苷
C20H18O10
黄色粉晶
240~244
山柰酚-3-芹糖基葡糖苷
C26H28O15
黄色粉末
, 百拇医药
165~170
2-羟基-1,7-二甲氧基酮
C15H12O15
1.2 皂苷类化合物:目前从文献上看仅有皂苷元的报道。苷元主要有3种:a.远志皂苷元(presenegenin)[10,11],又称细叶远志皂苷元(tenuigenin),即 2β,3β,27-trihydroxy-Δ12-oleanene-23,28-dioic acid;b.美远志皂苷元(senegenin)[11~13],即12-(chloromethyl)-2β,3β-dihydroxy-27-norolean-13-ene-23,28-dioic acid;c. 金合欢酸(acacic acid)[11,14]。此外,还有甾体皂苷元[7]等存在,但无详细报道。
, 百拇医药
皂苷水解产生的糖有:葡萄糖、半乳糖、木糖、苏阿糖、岩藻糖、鼠李糖、甘露糖、核糖等[7,10,12]。
1.3 有机酸及其衍生物类化合物:从长梗蝉翼藤和蝉翼藤中分离得到:芥子酸(sinapoic acid)、咖啡酸、4,5-二咖啡酰基-D-奎宁酸、3,4,5-三咖啡酰基-D-奎宁酸、β-D-(3-sinapoyl)fructofuranosyl-α-D-(6-sinapoyl)glucopyranoside、β-D-(3,4-disinapoyl)-fructo-furanosyl-α-D-(6-sinapoyl)glucopyranoside 以及水杨酸甲酯(Me salicylate)[7]、正二十六烷酸、花生酸和苯甲酸等[15]。
1.4 生物碱类化合物:Costa 等应用硅胶柱层析分离和多种质谱技术鉴定,证明长梗蝉翼藤中含有野麦角碱(elymoclavine,Ⅰ)和脱氢野麦角碱(dehydroelymoclavine,Ⅱ),并且还发现了一种新的麦角灵生物碱(Ⅲ),但未分出单体[5,16,17]。其结构如图1。
, 百拇医药
图1 长梗蝉翼藤中的生物碱类化合物
此外,运用GC-MS 技术对长梗蝉翼藤的主要挥发性成分进行了鉴定[18]。
2 药理活性
2.1 抗 HIV 活性:实验表明,许多多阴离子化合物具有使 T4 淋巴细胞免于 HIV 病毒感染的能力。其作用途径或者与硫酸多糖和外源凝集素(lectins)相同,即与 HIV gp120 糖蛋白结合;或者与金精三羧酸(aurintricarboxylic acid)相同,即与 CD4 受体结合[19~22]。从长梗蝉翼藤中得到的 3,4,5-三咖啡酰基奎宁酸和4,5-二咖啡酰基奎宁酸均具有选择性抑制 HIV 复制的活性,并且前者远强于后者。进一步的研究表明,这类化合物在体外对病毒反转录酶的抑制是非特异性的,他们是通过与 GP120 的特异结合防止其与 T 淋巴细胞的 CD4 发生作用,从而灭活 HIV 的感染能力[23]。
, 百拇医药
2.2 抗变应性和抗白血病活性:美远志皂苷和美远志酸镁具有抗变应性和抗慢性淋巴白血病的活性。其中,前者具有免疫抑制作用[13]。2.3 抗菌消炎活性:药理实验表明三萜酸 2β,3β,27-三羟基齐墩果-12-烯-23,28-二羧酸(远志皂苷元)具有抗菌消炎活性[24]。
此外,长梗蝉翼藤水提物中的皂苷还具有使青蛙心动过缓、心脏收缩幅度提高的作用[25]。
3 结语
蝉翼藤属植物在我国分布少,仅有2种。但蝉翼藤在我国作为民间药物被广泛应用于治疗跌打损伤、风湿骨痛、腰肌劳损、急慢性肠胃炎、产后恶露不净、过敏性皮疹等症。长梗蝉翼藤在非洲国家也作为传统药物得到使用。然而,到目前为止,本属植物的化学和药理学研究均很欠缺。近年来,本属植物中的生物碱类成分得到关注,被认为对神经系统有显著作用[5,16]。现有的药理学研究表明,本属植物具有较强的抗菌消炎、抗 HIV 等多种活性,具有较好的研究价值和广阔的开发前景。
, 百拇医药
Address:Yang Xuedong,Institute of Medicinal Plant Development,Chinese Academy of Medical Sciences,Peking Union Medical College,Beijing
杨学东 男,现在中国医学科学院、中国协和医科大学药用植物研究所攻读天然产物化学博 士学位。主要从事中草药活性成分的分析、提取分离、鉴定和结构修饰;新药质量标准和中 药复方研究。
参 考 文 献
1,中国科学院昆明植物所编.云南植物志.北京:科学出版社,1983:261
2,江苏植物研究所等编.新华本草纲要(第一册).上海:上海科学技术出版社,1988:292
3,谢宗万,等.全国中草药名鉴(上册).北京:人民卫生出版社,1996:229
, 百拇医药
4,尹彤东.中药材,1998,6:23
5,Costa C, et al. J Heterocyclic Chem,1992,29:1641
6,Nunziatina de Tommasi, et al. J Nat Prod,1993,56:134
7,Moes A, et al. J Pharm Belg,1966,21(7-8):347
8,Hamburger M, et al. Phytochemistry,1985,24:2689
9,Galeffi C, et al. Fitoterapia,1990,61(1):79
10,Delaude C. Bull Soc Roy Sci Liege,1971;40(5-8):397
, http://www.100md.com
11,林启寿.中草药成分化学.北京:科学出版社,1977:550,443,546
12,Davrenx M, et al. Bull Soc Roy Sci Liege,1971,40(9-10):498
13,Tubery P R., et al. Fr Demande FR 2,510,557(cl.c07c62/32),04 Feb 1983
14,Izzi E I, et al. Bull Soc R Sci Liege,1989,58(2):53
15,陈家源,等.中国药学杂志,1992,7(4):216
16,Costa C, et al. IL FARMACO,1992,47(1):121
, 百拇医药
17,Marina Scandola, et al. J Heterocyclic Chem,1994,31:219
18,Costa C, et al. Organic Mass Spectromery,1992,27:255
19,Mitsuya H L, et al. Science,1988,240:646
20,Baba M, et al. Annals NY Acad Sci,1989,556:419
21,Schols D, et al. Virology,1990,175:556
22,Weiler B E, et al. J Gen Virol,1990,71:1957
23,Mahmood N, et al. Antiviral Chemistry Chemotherapy,1993,4(4):235
24,Tubery P, et al. Fr Demande 2202683 (cl.A61k,Co7c),10 May 1974
25,J Fraga de Azevedo, et al. Bull Soc Pathol Exotique,1963,56:68
收稿1999-08-23, 百拇医药