病例对照在病因学研究中的应用
作者:李 强
单位:广东医学编辑部 广东省广州市 510180
关键词:病例对照研究;病因学研究;危险因素
世界华人消化杂志990758 中国图书馆分类号 R-05
Subject headings case control study; etiological study; risck factors
病例对照研究是一种典型的回顾性研究. 这种研究方法是选取某种特定的患者作为病例,和未患该疾病的个体(对照)进行比较,研究两组个体暴露于某个或某些可能危险因素(或保护因素)频度的差异,来观察这些因素是否与该病存在联系以及联系的强度. 这些危险因素可以是遗传的、心理的或营养缺乏、营养过剩等,保护因素可以是人为的干预措施,也可以是自然的干预措施. 因病例对照研究相对于前瞻性的队列研究来讲,具有花费低,收效快等明显优点,所以被人们广泛采用. 其基本特点:①研究开始时间是在疾病发生之后进行的;②研究对象按患病与否分为病例组与对照组;③被研究因素的暴露情况由研究对象通过对过去的回顾来提供;④探讨疾病与暴露因素关联的顺序是由果到因,必须确定暴露是发生在疾病之前;⑤只能判断暴露与疾病是否有关联及关联的程度,不能下因果联系的最终结论.
, 百拇医药
1 病例对照研究的设计要点
1.1 提出可疑危险因素 临床医生根据临床观察、病例总结及阅读医学文献,提出危险因素的假说. 一种疾病可以有多种危险因素,但要结合资料获得的可能性及时间、经费等条件,尽可能缩小假说的范围,使研究的危险因素明确、具体.
1.2 确定目标人群 病例对照研究所涉及的人群为目标人群. 这个人群必须同时具有暴露于研究因素的可能和发生研究疾病的可能. 病例和对照的选择都应是在目标人群中进行的. 有时具有某病的病例及非病例(对照)不一定都符合研究条件,在选择病例组和对照组时都应予以排除. 如,在研究近期应用口服避孕药和心肌梗塞关系时,所有的绝经期妇女、做过绝育手术的妇女以及因某些慢性病而被禁用口服避孕药的妇女,都不属目标人群. 因为这些个体根本就不具有使用口服避孕药的可能. 所以,在进行病例对照研究时,首先要确立目标人群. 确定目标人群之后,才能着手进行病例和对照的选择.
, 百拇医药 1.3 病例的选择 病例的选择首先要力求符合公认的诊断标准,保证病例的诊断准确无误,有时甚至要求疾病的病理分型也相同. 对诊断有疑问的患者不应纳入病例组中,病例来源可以是社区居民中的某病患者,也可以是在医院就诊的患者. 在选取病例时,尽可能选取病因学上同源的一组个体. 病例一般可分为3种类型,即发病病例、患病病例和死亡病例. 在病例对照研究中,首选的应是发病病例,因为发病病例有患病病例和死亡病例所不具备的优点:①发病时间更接近于病因暴露时间,病例能更好地回忆自已的有关经历和暴露史,并且容易得到就近的病历资料、职业暴露或其他记录:②发病病例能自己回答问题,比死亡病例靠亲友、家属回答要准确的多;③发病病例刚被确诊就接受调查,尚未受到各种决定生存因素的影响,而患病病例是以往确诊的大批发病病例中的残存者,如果某种因素对生存有影响的话,则可能导致错误的结论;④如果发病病例收集完全的话,我们可以得到某种疾病的发病率. 应用现患病病例也有一明显的优点,就是他们的资料现成可得. 死亡病例因较难获得准确可靠的资料,现在已很少被人使用. 在选择病例时,所选病例对目标人群应有较好的代表性,所选病例应包括轻重各型病例.
, 百拇医药
1.4 对照的选择 对照组的选择是决定病例对照研究成功与失败的关键环节. 对照组选择的正确与否直接关系到结果的真实性. 对照组原则上应与病例组有同一来源,即来自同一地区、同一社区中未患所研究疾病的居民(人群对照),或同一医院中未患所研究疾病的其他患者或健康体检者(医院对照). 当病例是来源于某个人群基础的系列时,选取一般人群对照可以保证与病例系列的高度可比,使研究结果有较高的普遍性. 但这种人群对照所花费人力、物力较大,所选中的个体常常不予合作或不易找到,应答情况比其他类型的对照差. 选取医院患者作对照时,通常较为可靠,他们有充裕的空闲时间并且能够合作. 选择医院对照时,还可以使病例和对照组间有关决定住院的因素相似. 医院对照的一个严重缺陷,就是对照可能因为某个与病因学特征有关的条件而有选择性地入院,并且这种选择性倾向和病例是不同的. 这时,就会使结果产生偏差. 且医院对照还可能因病种不同,对照和病例回忆时可能的思维内容也不一定相同. 例如肺癌患者可能更注重于回忆其吸烟史等,而胃癌患者可能更注重回忆其饮食方面的变化. 对于某项具体的病例对照研究,是选择人群对照,还是选择医院对照,不能一概而论,要根据研究的具体情况,如病例的来源、性质、选择个体的方法等而定. 有时在某项病例对照研究时,即包括人群对照,又包括医院对照.
, 百拇医药
在确定和选择对照个体的时候,①尽可能利用与病例相同的诊断方法,来确定所选对照个体不具所要研究的疾病. 其实这一条件本身就包含了两方面的意思,即一方面要求对照个体未患所研究疾病;另一方面,要求病例和对照的诊断手段最好一致. 因为同一疾病用不同的诊断方法进行诊断时,可能有不同的敏感性和特异性;如果用确定病例和对照的诊断方法不同,就有可能对照中混入轻型病例. 如,确定消化性溃疡依靠病史、钡餐检查和(或)内镜检查,确定对照只凭无典型的疼痛史则可能在对照组中混入无疼痛的溃疡患者. 这一点讲起来容易,做起来有时非常困难. 如果用于确定病例的诊断方法费用昂贵或对人体有害,就不可能对对照也全部采用同样的诊断方法来排除所研究疾病. 如果从曾经做过相同诊断试验的其他患者中选取对照,也是不合适的. 因为做同一种诊断试验的患者,可能有同器官的疾病,而同一器官的疾病又可能有相同的病因. 但值得庆幸的是,病例对照研究多用于研究罕见疾病,对照个体存在所研究疾病的概率很小,一般情况下可以忽略. ②对照与病例要有可比性. 为了保证对照与病例的可比性,许多病对照研究加上了相应的配对条件. 在注重这种两组可比性的时候,也不能过份追求. 如果要求病例和对照除研究因素以外,其他因素都相同的话,就可能导致过度匹配. ③在选择医院对照时,应将与研究因素有关的疾病从对照中排除. 如果不排除这类疾病,可能就会出现研究因素的危险性做出过高或过低的估计. 例如,在研究服用阿斯匹林和心肌梗塞的关系时,如果对照中包括有因慢性关节炎而住院的患者,因为这些患者比一般人群使用阿斯匹林机会多,结果就可能会低估阿斯匹林的危险性. 如果对照中包括慢性消化性溃疡的住院患者,因为这类患者会减少阿斯匹林的使用,结果又可能会过高地估计阿斯匹林的危险性. 所以,这两类患者都应从对照中排除. 此外,对照组所患疾病应在解剖学、病理生理学上与所研究疾病无关联. 如研究肺癌时,慢性支气管炎、肺心病患者就不应作为对照.
, http://www.100md.com
1.5 配对和分层 配对是指用特殊的限制方法,根据病例组中每个病例的特征,为每一例病例匹配一个或多个对照,强制性使病例和对照在某些混杂因素上保持一致,以达到消除混杂因素影响的目的. 配对的条件或变量应该是与疾病无直接关系的因素. 如果配对变量中包括了疾病的危险因素或病因,就不能正确分析该因素与疾病的关系. 常用的配对变量有年龄、性别、入院日期、血型、收入水平、文化教育水平等. 具体某项研究的配对条件应视具体情况而定. 但总起来说,配对条件或变量不宜太多,否则将给对照的选择带来困难. 病例与对照的配对比例一般可为1∶1,1∶2,1∶3,最多不宜超过1∶4. 小样本研究以及因病例的某些构成(如年龄、性别构成)特殊时,配对最适合.
分层和配对一样,都是用来消除混杂因素影响而经常被采用的一种方法. 分层是指先按欲控制的混杂因素的不同组合将总体分层,然后从各层中按预定的对比比例随机抽样. 例如,研究45岁以上人群中饮酒因素与心脏病的关系时,可将年龄分为4个组(45~,50~,55~,60~),按性别分两组,将总体按不同的年龄、性别组分成4×2个层,然后从这些层中按一定比例随机抽取病例和对照的样本,这样就可以使两组中年龄、性别因素达到均衡、一致.
, 百拇医药
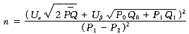
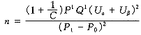
1.6 样本量的估计 样本量的估计是病例对照研究成败的一个重要因素. 样本量太小,组间差异可能就不能充分表现出来;样本量过大,又会造成人力,物力上的不必要的浪费. 在临床实际工作中,样本量的大小经常会受到许多因素的影响,如病例和对照的来源、财力、人力、完成日期等限制. 在估算样本量之前,要明确以下几个指标:①所研究的危险因素在对照组中的暴露率(P0);②预期的OR值;③要求的显著性水平,即α值,一般取α=0.05或0.01;④研究要求的把握度(power值),power值=1-β,β即为第二类误差,一般要求power值在0.8,0.9以上,对把握度要求愈高,样本含量也越大.
①成组(非配对)病例对照研究样本量n的估计
Uα、Uβ分别为α和β取某值时,正态分布分位数,可查标准正态曲线下的面积表,或t值表中自由度为∞时的t值.
, 百拇医药
α=0.05(双侧检验)时,U0.05=1.96;
β=0.20时,U0.20=0.84
P0为研究因素在对照组中暴露率,
这里求得的n为病例组与对照组各需调查的人数.
②配对病例对照研究样本量的估计
式中P0为研究的危险因素在对照组中的暴露率;
, 百拇医药
Uα、Uβ分别为α和β取某值时,正态分布分位数,可查标准正态曲线下的面积表,或t值表中自由度为∞时的t值. C为与每例病例相配的对照数,如1∶3配对时,则C=3.
1.7 设计调查表,实施调查 病例对照所研究的危险因素的暴露情况,主要是根据被调查者的回忆和有关记录而获取. 所以,制定调查表是非常重要的. 调查表应尽可能地包括所能估计到的一切可疑的危险因素,不能遗漏. 因为病例对照研究的目的是从果到因. 如果重要的有关因素被遗漏,则弄不清导致结果的真正原因. 为了得到一个有的放矢的调查表,往往需要对所制定的调查表在一个小范围内试用,了解其可行性和完整性,根据试用结果进行补充修改,最后制定出适用的调查表.
提问的方式可分开放式和闭锁式两种. 在预查中,可设一些开放式的问题. 比如,你认为你患某病可能是什么原因造成的?这样的提问有时会得到一些宝贵的研究者意想不到的重要因素,对完善调查表很有好处. 但这种开放式提问对调查者要求较高,所获得的资料内容比较多,整理和统计调查表要花很多时间. 正式的大样本的病例对照调查常用闭锁式提问,这种提问要求表中问题的答案要包括一切可能的结果,所得到的调查结果比较精确统一,易于编码统计. 比如,调查新生儿的喂养方式,应包括人工喂养、母乳喂养和混合喂养三种可能的结果.
, http://www.100md.com
2 病例对照研究的资料分析
病例对照研究结果的分析,主要是利用统计学方法检验暴露与疾病之间有无联系、联系的强度如何. 病例对照用于病因学研究时,可以先将每个因素的致病效应列成四格表的形式,运用χ2检验比较该因素与致病效应间有无联系,计算OR值及其95%可信限. 然后,再对那些疾病发生有联系的因进行多因素分析,最后筛选出主要的危险因素.
2.1 成组资料(不配对资料)的分析 这是临床医生最常用的一种分析方法,其研究资料可以整理为表1的形式.
表1 成组资料的研究结果 暴露于某因素或具备某特征
病例组
对照组
合计
, 百拇医药
有
a
b
n1
无
c
d
n2
合计
m1
m2
N
①比较研究的危险因素在病例组和对照组中的暴露频率是否存在差异.
, 百拇医药
如果
,则说明病例组中有较多的人以往有这种因素的暴露史. 这种差异如果有统计学意义,就可以认为这种因素与某病有关联,从而提供重要的病因线索. 显著性检验方法可以采用χ2四格表检验.
(未校正公式)
(校正公式)
当b+c>40时,采用未校正公式.
χ20.01(1)=6.63,如所求得的χ2>χ20.01(1),则P<0.01.
这里需要提醒的是,χ2检验只能告诉我们危险因素与疾病的联系有无意义,χ2值的大小并不代表联系的强度.
, 百拇医药
②计算OR值
OR值表示病例组中暴露于某因素者与未暴露某因素者的比值,是对照组该比值的多少倍.
在对照组中,如果
比值不变,对照组例数虽然增多,但OR值可保持不变;但
(即OR值)却随着对照组例数的增加而改变. 所以,衡量病例对照研究中危险因素的联系强度用OR值,而不用RR值.
当OR>1时,提示该研究因素为疾病的致病危险因素;当OR值<1时,提示该因素为疾病的保护因素.
当所研究疾病的发病率较低且样本量具有较好的代表性时,OR值可看成是RR值的估计值.
, 百拇医药
③计算OR值的95%可信区间
OR值的波动范围可通过可信区间来计算. 常用95%可信限,计算方法为:
ORL,
其中χ2为χ2检验的χ2值.
当OR=1,其95%可信区间分布于1的上下两端时,此时疾病与研究因素间无联系. 当OR>1且其95%可信区间的下限ORL>1,或当OR<1且其95%可信区间的上限ORU<1,这两种情况都表明疾病与研究的暴露因素之间存在联系,前者表示为致病的危险因素,后者表示为疾病的保护因素. 当OR>1而ORL<1,或OR<1而ORU>1,则表示疾病与暴露因素间的关系有待进一步研究.
, 百拇医药
2.2 1∶1配对资料的分析 1∶1配对资料的研究结果可整理为表2的形式.
表2 1∶1配对资料的研究结果 病例
对照
暴露
未暴露
暴露
k
s
未暴露
t
u
表中k表示病例,对照均暴露的对子数,u表示病例、对照均不暴露的对子数,s表示病例暴露而对照不暴露的对子数,t表示病例不暴露而对照暴露的对子数.
, http://www.100md.com
以上表格与成组资料的表格的区别在于,成组资料清点的是个数,而1∶1配对资料清点的是匹配组数,即对子数.
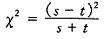
①χ2检验
(校正公式)
(未校正公式)
当t+s>40时,用未校正公式.
χ20.01(1)=6.63,如所求得的χ2>χ20.01(1),则P<0.01.
②OR值及其95%可信限.
OR值95%可信限;
, http://www.100md.com
2.3 1∶2配对资料的分析 1∶2配对资料的研究结果可整理为表3的形式.
表3 1∶2配对资料的研究结果 病例
对照
++
+---
+
a
b
c
-
d
e
, http://www.100md.com f
表中数字均为一个病例两个对子的匹配组数,即对子数.
χ20.05(1)=3.84,χ20.01(1)=6.63,如所求得的χ2>χ20.01(1),则P<0.01.
OR值95%可信限;ORL,
在实际工作中,1∶3配对及1∶4配对因病例、对照选择困难,所以很少被人使用,且1∶3配对及1∶4配对时,资料分析较为复杂. 具体计算方法可参见有关统计学及流行病学教材.
, 百拇医药
3 病例对照研究的应用
3.1 病例对照研究的优点 ①病例对照为回顾性研究,不影响住院病例的治疗,很少涉及伦理学问题. ②此法需要样本量较小,特别适用于罕见病及潜伏期特别长的疾病的病因学研究. 对罕见病来说,如果用前瞻性研究方案,往往需要较大的样本量,在实际工作中有时难以做到. 对于潜伏期特别长的疾病,如果用前瞻性设计方案,则需等待很长时间去观察致病效应是否发生,而采用病例对照研究方案,则可避免上述缺点. ③病例对照是通过询问研究对象的既往暴露史,多数只进行一次性调查,所以研究时间较短,节省人力、物力、容易得出结论. ④在一次调查中,可同时调查多个因素的作用. ⑤可使用病历记录,很少发生病例流失情况.
3.2 病例对照研究的缺点 ①病例对照的论证强度较差,只能为病因研究提供重要线索,它所得出的结论不能做为病因学研究的最终结论. 要确定某因素是否为疾病的病因,还需进一步做前瞻性队列研究或RCT试验. ②选择对照时,较难选择性别相同、年龄和其他已知对发病有影响的危险因素相似的对照. 这样,必然会影响两组的均衡性. ③此方法为回顾性调查,追溯既往的暴露史,但病例和对照对以往回忆的广度和深度不同,获得结果的可靠性也不一样. 这样,就会造成回忆性偏倚. 有时有些资料甚至很难通过调查询问获得. ④所选病例是住院病例时,这些住院病例不能代表全部病例总体,以其他疾病患者作对照也有一定的片面性,也容易产生偏倚. ⑤可能存在研究人员事先未能估计到的对致病效应有一定影响的其他未知因素. 因未能对这些因素进行调查分析,所以同样会对结果的准确性有影响. ⑥很难做到盲法,主观偏倚不可避免. ⑦由于不知道研究的人群人数,因而不能计算发病率或死亡率,也不能计算RR值及AR值,只能近似计算比值比(OR值),也就不能确定研究因素与致病效应间的因果关系. ⑧混杂因素不易控制.
, http://www.100md.com
3.3 病例对照研究的适用范围 病例对照研究主要用于病因学研究,调查疾病的致病因素或危险因素. 目前国内外医学期刊报道最多的就是用于肿瘤的病因学研究. 此外,病例对照研究还可用于研究药物应用于临床后疗效和副作用的情况. 病例对照研究也用于疾病预后的研究. 不论病例对照研究用于什么内容的研究,它们都有一个共同的特点,就是在结果发生之后,如疾病的不同结局——死亡与痊愈,并发症的有无,药物副作用的有无等来将研究对象分为病例和对照,作回顾性分析,追溯产生这种结局的有关因素. 其基本研究方法同前所述.
3.4 病例对照研究论文的评价 目前,国内医学期刊有关宏观病因学研究的临床研究数量不是很多. 其中病例对照相对其他前瞻性研究来说,具有投资少,收效快的明显优点,尤其是对于一些临床少见病的病因学研究更有意义. 所以,临床医学论文中有关病因学的研究大多数作者喜欢采用病例对照的设计方案. 本文主要根据有关文献报道及作者自己的体会,对病例对照研究论文提出以下20条评价原则,供临床医生和医学期刊编辑在评阅医学论文时参考. 这20条原则包括:①是否对所研究的问题进行了详细的阐述;②是否说明对照组的来源和确定方法;③是否说明病例的来源和确定方法;④是否对从资料所得的结论进行了详细的分析阐述;⑤是否说明病例的排除条件;⑥是否对无应答情况进行了客观的分析;⑦是否说明了对照组的排除条件;⑧如果利用了配对,是否有有关匹配程序的信息;⑨是否有有关资料收集方法的信息,如是采用调查员,还是采用填调查表,抑或采用查病历,对这些情况有无说明;⑩有无对混杂因素的可能存在进行分析说明;
有无对偏倚的可能存在进行分析说明;
如果是采用调查员,是否采用了盲法;
有无交待处理混杂作用的方法;
有无对分析方法进行描述;
有无对抽样技术的描述;
有无介绍所用病例是新发病例,还是现患病例;
有无说明确定病例所用的诊断方法;
是否给出可信限;
有无有关暴露的信息(如时间、强度等);
病例与对照的诊断程序是否相同.
, 百拇医药
上述20条标准是病例对照研究论文中必需的不可缺少的信息,是对研究结果的有效性作出判断所需的最低限度的信息. 所以,这20条标准所包含的信息应反映在论文中. 研究人员在研究的设计、资料的分析及书写论文时,都应考虑这些标准. 读者和医学期刊编辑在阅读和评价病例对照研究论文时也可参考这些标准.
通讯作者 李强
4 参考文献
1 Feinstein AR, Horwitz R. Problems in the “Evidence” of “Evidence_based Medicine”. Am J Med, 1997;103:529
2 Rsenberg W, Donnald A. Evidence based medicine: an approach to clinical problem_solving. Br Med J, 1995;310:1122
3 王家良主编. 临床流行病学. 上海:上海科技出版社,1984:24
收稿日期 1999-04-08, http://www.100md.com
单位:广东医学编辑部 广东省广州市 510180
关键词:病例对照研究;病因学研究;危险因素
世界华人消化杂志990758 中国图书馆分类号 R-05
Subject headings case control study; etiological study; risck factors
病例对照研究是一种典型的回顾性研究. 这种研究方法是选取某种特定的患者作为病例,和未患该疾病的个体(对照)进行比较,研究两组个体暴露于某个或某些可能危险因素(或保护因素)频度的差异,来观察这些因素是否与该病存在联系以及联系的强度. 这些危险因素可以是遗传的、心理的或营养缺乏、营养过剩等,保护因素可以是人为的干预措施,也可以是自然的干预措施. 因病例对照研究相对于前瞻性的队列研究来讲,具有花费低,收效快等明显优点,所以被人们广泛采用. 其基本特点:①研究开始时间是在疾病发生之后进行的;②研究对象按患病与否分为病例组与对照组;③被研究因素的暴露情况由研究对象通过对过去的回顾来提供;④探讨疾病与暴露因素关联的顺序是由果到因,必须确定暴露是发生在疾病之前;⑤只能判断暴露与疾病是否有关联及关联的程度,不能下因果联系的最终结论.
, 百拇医药
1 病例对照研究的设计要点
1.1 提出可疑危险因素 临床医生根据临床观察、病例总结及阅读医学文献,提出危险因素的假说. 一种疾病可以有多种危险因素,但要结合资料获得的可能性及时间、经费等条件,尽可能缩小假说的范围,使研究的危险因素明确、具体.
1.2 确定目标人群 病例对照研究所涉及的人群为目标人群. 这个人群必须同时具有暴露于研究因素的可能和发生研究疾病的可能. 病例和对照的选择都应是在目标人群中进行的. 有时具有某病的病例及非病例(对照)不一定都符合研究条件,在选择病例组和对照组时都应予以排除. 如,在研究近期应用口服避孕药和心肌梗塞关系时,所有的绝经期妇女、做过绝育手术的妇女以及因某些慢性病而被禁用口服避孕药的妇女,都不属目标人群. 因为这些个体根本就不具有使用口服避孕药的可能. 所以,在进行病例对照研究时,首先要确立目标人群. 确定目标人群之后,才能着手进行病例和对照的选择.
, 百拇医药 1.3 病例的选择 病例的选择首先要力求符合公认的诊断标准,保证病例的诊断准确无误,有时甚至要求疾病的病理分型也相同. 对诊断有疑问的患者不应纳入病例组中,病例来源可以是社区居民中的某病患者,也可以是在医院就诊的患者. 在选取病例时,尽可能选取病因学上同源的一组个体. 病例一般可分为3种类型,即发病病例、患病病例和死亡病例. 在病例对照研究中,首选的应是发病病例,因为发病病例有患病病例和死亡病例所不具备的优点:①发病时间更接近于病因暴露时间,病例能更好地回忆自已的有关经历和暴露史,并且容易得到就近的病历资料、职业暴露或其他记录:②发病病例能自己回答问题,比死亡病例靠亲友、家属回答要准确的多;③发病病例刚被确诊就接受调查,尚未受到各种决定生存因素的影响,而患病病例是以往确诊的大批发病病例中的残存者,如果某种因素对生存有影响的话,则可能导致错误的结论;④如果发病病例收集完全的话,我们可以得到某种疾病的发病率. 应用现患病病例也有一明显的优点,就是他们的资料现成可得. 死亡病例因较难获得准确可靠的资料,现在已很少被人使用. 在选择病例时,所选病例对目标人群应有较好的代表性,所选病例应包括轻重各型病例.
, 百拇医药
1.4 对照的选择 对照组的选择是决定病例对照研究成功与失败的关键环节. 对照组选择的正确与否直接关系到结果的真实性. 对照组原则上应与病例组有同一来源,即来自同一地区、同一社区中未患所研究疾病的居民(人群对照),或同一医院中未患所研究疾病的其他患者或健康体检者(医院对照). 当病例是来源于某个人群基础的系列时,选取一般人群对照可以保证与病例系列的高度可比,使研究结果有较高的普遍性. 但这种人群对照所花费人力、物力较大,所选中的个体常常不予合作或不易找到,应答情况比其他类型的对照差. 选取医院患者作对照时,通常较为可靠,他们有充裕的空闲时间并且能够合作. 选择医院对照时,还可以使病例和对照组间有关决定住院的因素相似. 医院对照的一个严重缺陷,就是对照可能因为某个与病因学特征有关的条件而有选择性地入院,并且这种选择性倾向和病例是不同的. 这时,就会使结果产生偏差. 且医院对照还可能因病种不同,对照和病例回忆时可能的思维内容也不一定相同. 例如肺癌患者可能更注重于回忆其吸烟史等,而胃癌患者可能更注重回忆其饮食方面的变化. 对于某项具体的病例对照研究,是选择人群对照,还是选择医院对照,不能一概而论,要根据研究的具体情况,如病例的来源、性质、选择个体的方法等而定. 有时在某项病例对照研究时,即包括人群对照,又包括医院对照.
, 百拇医药
在确定和选择对照个体的时候,①尽可能利用与病例相同的诊断方法,来确定所选对照个体不具所要研究的疾病. 其实这一条件本身就包含了两方面的意思,即一方面要求对照个体未患所研究疾病;另一方面,要求病例和对照的诊断手段最好一致. 因为同一疾病用不同的诊断方法进行诊断时,可能有不同的敏感性和特异性;如果用确定病例和对照的诊断方法不同,就有可能对照中混入轻型病例. 如,确定消化性溃疡依靠病史、钡餐检查和(或)内镜检查,确定对照只凭无典型的疼痛史则可能在对照组中混入无疼痛的溃疡患者. 这一点讲起来容易,做起来有时非常困难. 如果用于确定病例的诊断方法费用昂贵或对人体有害,就不可能对对照也全部采用同样的诊断方法来排除所研究疾病. 如果从曾经做过相同诊断试验的其他患者中选取对照,也是不合适的. 因为做同一种诊断试验的患者,可能有同器官的疾病,而同一器官的疾病又可能有相同的病因. 但值得庆幸的是,病例对照研究多用于研究罕见疾病,对照个体存在所研究疾病的概率很小,一般情况下可以忽略. ②对照与病例要有可比性. 为了保证对照与病例的可比性,许多病对照研究加上了相应的配对条件. 在注重这种两组可比性的时候,也不能过份追求. 如果要求病例和对照除研究因素以外,其他因素都相同的话,就可能导致过度匹配. ③在选择医院对照时,应将与研究因素有关的疾病从对照中排除. 如果不排除这类疾病,可能就会出现研究因素的危险性做出过高或过低的估计. 例如,在研究服用阿斯匹林和心肌梗塞的关系时,如果对照中包括有因慢性关节炎而住院的患者,因为这些患者比一般人群使用阿斯匹林机会多,结果就可能会低估阿斯匹林的危险性. 如果对照中包括慢性消化性溃疡的住院患者,因为这类患者会减少阿斯匹林的使用,结果又可能会过高地估计阿斯匹林的危险性. 所以,这两类患者都应从对照中排除. 此外,对照组所患疾病应在解剖学、病理生理学上与所研究疾病无关联. 如研究肺癌时,慢性支气管炎、肺心病患者就不应作为对照.
, http://www.100md.com
1.5 配对和分层 配对是指用特殊的限制方法,根据病例组中每个病例的特征,为每一例病例匹配一个或多个对照,强制性使病例和对照在某些混杂因素上保持一致,以达到消除混杂因素影响的目的. 配对的条件或变量应该是与疾病无直接关系的因素. 如果配对变量中包括了疾病的危险因素或病因,就不能正确分析该因素与疾病的关系. 常用的配对变量有年龄、性别、入院日期、血型、收入水平、文化教育水平等. 具体某项研究的配对条件应视具体情况而定. 但总起来说,配对条件或变量不宜太多,否则将给对照的选择带来困难. 病例与对照的配对比例一般可为1∶1,1∶2,1∶3,最多不宜超过1∶4. 小样本研究以及因病例的某些构成(如年龄、性别构成)特殊时,配对最适合.
分层和配对一样,都是用来消除混杂因素影响而经常被采用的一种方法. 分层是指先按欲控制的混杂因素的不同组合将总体分层,然后从各层中按预定的对比比例随机抽样. 例如,研究45岁以上人群中饮酒因素与心脏病的关系时,可将年龄分为4个组(45~,50~,55~,60~),按性别分两组,将总体按不同的年龄、性别组分成4×2个层,然后从这些层中按一定比例随机抽取病例和对照的样本,这样就可以使两组中年龄、性别因素达到均衡、一致.
, 百拇医药
1.6 样本量的估计 样本量的估计是病例对照研究成败的一个重要因素. 样本量太小,组间差异可能就不能充分表现出来;样本量过大,又会造成人力,物力上的不必要的浪费. 在临床实际工作中,样本量的大小经常会受到许多因素的影响,如病例和对照的来源、财力、人力、完成日期等限制. 在估算样本量之前,要明确以下几个指标:①所研究的危险因素在对照组中的暴露率(P0);②预期的OR值;③要求的显著性水平,即α值,一般取α=0.05或0.01;④研究要求的把握度(power值),power值=1-β,β即为第二类误差,一般要求power值在0.8,0.9以上,对把握度要求愈高,样本含量也越大.
①成组(非配对)病例对照研究样本量n的估计
Uα、Uβ分别为α和β取某值时,正态分布分位数,可查标准正态曲线下的面积表,或t值表中自由度为∞时的t值.
, 百拇医药
α=0.05(双侧检验)时,U0.05=1.96;
β=0.20时,U0.20=0.84
P0为研究因素在对照组中暴露率,
这里求得的n为病例组与对照组各需调查的人数.
②配对病例对照研究样本量的估计
式中P0为研究的危险因素在对照组中的暴露率;
, 百拇医药
Uα、Uβ分别为α和β取某值时,正态分布分位数,可查标准正态曲线下的面积表,或t值表中自由度为∞时的t值. C为与每例病例相配的对照数,如1∶3配对时,则C=3.
1.7 设计调查表,实施调查 病例对照所研究的危险因素的暴露情况,主要是根据被调查者的回忆和有关记录而获取. 所以,制定调查表是非常重要的. 调查表应尽可能地包括所能估计到的一切可疑的危险因素,不能遗漏. 因为病例对照研究的目的是从果到因. 如果重要的有关因素被遗漏,则弄不清导致结果的真正原因. 为了得到一个有的放矢的调查表,往往需要对所制定的调查表在一个小范围内试用,了解其可行性和完整性,根据试用结果进行补充修改,最后制定出适用的调查表.
提问的方式可分开放式和闭锁式两种. 在预查中,可设一些开放式的问题. 比如,你认为你患某病可能是什么原因造成的?这样的提问有时会得到一些宝贵的研究者意想不到的重要因素,对完善调查表很有好处. 但这种开放式提问对调查者要求较高,所获得的资料内容比较多,整理和统计调查表要花很多时间. 正式的大样本的病例对照调查常用闭锁式提问,这种提问要求表中问题的答案要包括一切可能的结果,所得到的调查结果比较精确统一,易于编码统计. 比如,调查新生儿的喂养方式,应包括人工喂养、母乳喂养和混合喂养三种可能的结果.
, http://www.100md.com
2 病例对照研究的资料分析
病例对照研究结果的分析,主要是利用统计学方法检验暴露与疾病之间有无联系、联系的强度如何. 病例对照用于病因学研究时,可以先将每个因素的致病效应列成四格表的形式,运用χ2检验比较该因素与致病效应间有无联系,计算OR值及其95%可信限. 然后,再对那些疾病发生有联系的因进行多因素分析,最后筛选出主要的危险因素.
2.1 成组资料(不配对资料)的分析 这是临床医生最常用的一种分析方法,其研究资料可以整理为表1的形式.
表1 成组资料的研究结果 暴露于某因素或具备某特征
病例组
对照组
合计
, 百拇医药
有
a
b
n1
无
c
d
n2
合计
m1
m2
N
①比较研究的危险因素在病例组和对照组中的暴露频率是否存在差异.
, 百拇医药
如果
当b+c>40时,采用未校正公式.
χ20.01(1)=6.63,如所求得的χ2>χ20.01(1),则P<0.01.
这里需要提醒的是,χ2检验只能告诉我们危险因素与疾病的联系有无意义,χ2值的大小并不代表联系的强度.
, 百拇医药
②计算OR值
OR值表示病例组中暴露于某因素者与未暴露某因素者的比值,是对照组该比值的多少倍.
在对照组中,如果
当OR>1时,提示该研究因素为疾病的致病危险因素;当OR值<1时,提示该因素为疾病的保护因素.
当所研究疾病的发病率较低且样本量具有较好的代表性时,OR值可看成是RR值的估计值.
, 百拇医药
③计算OR值的95%可信区间
OR值的波动范围可通过可信区间来计算. 常用95%可信限,计算方法为:
ORL,
当OR=1,其95%可信区间分布于1的上下两端时,此时疾病与研究因素间无联系. 当OR>1且其95%可信区间的下限ORL>1,或当OR<1且其95%可信区间的上限ORU<1,这两种情况都表明疾病与研究的暴露因素之间存在联系,前者表示为致病的危险因素,后者表示为疾病的保护因素. 当OR>1而ORL<1,或OR<1而ORU>1,则表示疾病与暴露因素间的关系有待进一步研究.
, 百拇医药
2.2 1∶1配对资料的分析 1∶1配对资料的研究结果可整理为表2的形式.
表2 1∶1配对资料的研究结果 病例
对照
暴露
未暴露
暴露
k
s
未暴露
t
u
表中k表示病例,对照均暴露的对子数,u表示病例、对照均不暴露的对子数,s表示病例暴露而对照不暴露的对子数,t表示病例不暴露而对照暴露的对子数.
, http://www.100md.com
以上表格与成组资料的表格的区别在于,成组资料清点的是个数,而1∶1配对资料清点的是匹配组数,即对子数.
①χ2检验
当t+s>40时,用未校正公式.
χ20.01(1)=6.63,如所求得的χ2>χ20.01(1),则P<0.01.
②OR值及其95%可信限.
, http://www.100md.com
2.3 1∶2配对资料的分析 1∶2配对资料的研究结果可整理为表3的形式.
表3 1∶2配对资料的研究结果 病例
对照
++
+---
+
a
b
c
-
d
e
, http://www.100md.com f
表中数字均为一个病例两个对子的匹配组数,即对子数.
χ20.05(1)=3.84,χ20.01(1)=6.63,如所求得的χ2>χ20.01(1),则P<0.01.
OR值95%可信限;ORL,
在实际工作中,1∶3配对及1∶4配对因病例、对照选择困难,所以很少被人使用,且1∶3配对及1∶4配对时,资料分析较为复杂. 具体计算方法可参见有关统计学及流行病学教材.
, 百拇医药
3 病例对照研究的应用
3.1 病例对照研究的优点 ①病例对照为回顾性研究,不影响住院病例的治疗,很少涉及伦理学问题. ②此法需要样本量较小,特别适用于罕见病及潜伏期特别长的疾病的病因学研究. 对罕见病来说,如果用前瞻性研究方案,往往需要较大的样本量,在实际工作中有时难以做到. 对于潜伏期特别长的疾病,如果用前瞻性设计方案,则需等待很长时间去观察致病效应是否发生,而采用病例对照研究方案,则可避免上述缺点. ③病例对照是通过询问研究对象的既往暴露史,多数只进行一次性调查,所以研究时间较短,节省人力、物力、容易得出结论. ④在一次调查中,可同时调查多个因素的作用. ⑤可使用病历记录,很少发生病例流失情况.
3.2 病例对照研究的缺点 ①病例对照的论证强度较差,只能为病因研究提供重要线索,它所得出的结论不能做为病因学研究的最终结论. 要确定某因素是否为疾病的病因,还需进一步做前瞻性队列研究或RCT试验. ②选择对照时,较难选择性别相同、年龄和其他已知对发病有影响的危险因素相似的对照. 这样,必然会影响两组的均衡性. ③此方法为回顾性调查,追溯既往的暴露史,但病例和对照对以往回忆的广度和深度不同,获得结果的可靠性也不一样. 这样,就会造成回忆性偏倚. 有时有些资料甚至很难通过调查询问获得. ④所选病例是住院病例时,这些住院病例不能代表全部病例总体,以其他疾病患者作对照也有一定的片面性,也容易产生偏倚. ⑤可能存在研究人员事先未能估计到的对致病效应有一定影响的其他未知因素. 因未能对这些因素进行调查分析,所以同样会对结果的准确性有影响. ⑥很难做到盲法,主观偏倚不可避免. ⑦由于不知道研究的人群人数,因而不能计算发病率或死亡率,也不能计算RR值及AR值,只能近似计算比值比(OR值),也就不能确定研究因素与致病效应间的因果关系. ⑧混杂因素不易控制.
, http://www.100md.com
3.3 病例对照研究的适用范围 病例对照研究主要用于病因学研究,调查疾病的致病因素或危险因素. 目前国内外医学期刊报道最多的就是用于肿瘤的病因学研究. 此外,病例对照研究还可用于研究药物应用于临床后疗效和副作用的情况. 病例对照研究也用于疾病预后的研究. 不论病例对照研究用于什么内容的研究,它们都有一个共同的特点,就是在结果发生之后,如疾病的不同结局——死亡与痊愈,并发症的有无,药物副作用的有无等来将研究对象分为病例和对照,作回顾性分析,追溯产生这种结局的有关因素. 其基本研究方法同前所述.
3.4 病例对照研究论文的评价 目前,国内医学期刊有关宏观病因学研究的临床研究数量不是很多. 其中病例对照相对其他前瞻性研究来说,具有投资少,收效快的明显优点,尤其是对于一些临床少见病的病因学研究更有意义. 所以,临床医学论文中有关病因学的研究大多数作者喜欢采用病例对照的设计方案. 本文主要根据有关文献报道及作者自己的体会,对病例对照研究论文提出以下20条评价原则,供临床医生和医学期刊编辑在评阅医学论文时参考. 这20条原则包括:①是否对所研究的问题进行了详细的阐述;②是否说明对照组的来源和确定方法;③是否说明病例的来源和确定方法;④是否对从资料所得的结论进行了详细的分析阐述;⑤是否说明病例的排除条件;⑥是否对无应答情况进行了客观的分析;⑦是否说明了对照组的排除条件;⑧如果利用了配对,是否有有关匹配程序的信息;⑨是否有有关资料收集方法的信息,如是采用调查员,还是采用填调查表,抑或采用查病历,对这些情况有无说明;⑩有无对混杂因素的可能存在进行分析说明;
, 百拇医药
上述20条标准是病例对照研究论文中必需的不可缺少的信息,是对研究结果的有效性作出判断所需的最低限度的信息. 所以,这20条标准所包含的信息应反映在论文中. 研究人员在研究的设计、资料的分析及书写论文时,都应考虑这些标准. 读者和医学期刊编辑在阅读和评价病例对照研究论文时也可参考这些标准.
通讯作者 李强
4 参考文献
1 Feinstein AR, Horwitz R. Problems in the “Evidence” of “Evidence_based Medicine”. Am J Med, 1997;103:529
2 Rsenberg W, Donnald A. Evidence based medicine: an approach to clinical problem_solving. Br Med J, 1995;310:1122
3 王家良主编. 临床流行病学. 上海:上海科技出版社,1984:24
收稿日期 1999-04-08, http://www.100md.com