肠—肝循环药动学矩分析研究
作者:景荣荣
单位:浙江医科大学数学教研室 杭州310031
关键词:肠—肝循环;矩分析;平均滞留时间;平均吸收时间
数理医药学杂志990205
摘要 对已有的肠—肝循环药动学模型作了矩分析研究,导出了肠—肝循环药物的平均滞留时间MRTiv、MRTpo以及口服给药后的平均吸收时间MAT。
近十多年来,对药—时曲线多峰现象已有不少研究,肠—肝循环被认为是产生吸收多峰最可能的一种机制。周怀梧等已提出一般的肠—肝循环药物动力学模型[1]。
矩分析与经典的室分析一样,已在药动学研究中被广泛应用。本文对肠—肝循环药动学的矩分析方法作一些探讨。
, http://www.100md.com
1 室模型
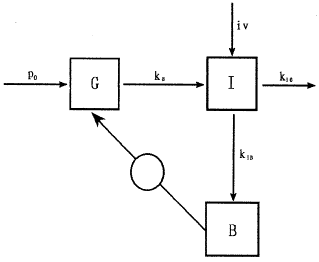
某些药物被肝摄取后,能以代谢物或以原形泌入胆汁,经胆总管进入肠道,而后一部分被消除,另一部分则借门静脉血流再次入肝,形成肠—肝循环。在通过肠—肝循环而重吸收的药量足够大的情况下,一次给药所产生的血药浓度—时间曲线(c-t曲线)将呈双峰或多峰,相应的一室模型如附图所示[1]。假定每间隔一段时间TB,由于胆囊收缩,蓄积在B室中的药量DBi(i=1,2,…)瞬即释入G室,其中一部分(FBDBi,0≤FB≤1)再次进入血液循环,其余被消除。
附图 肠—肝循环模型
图中,G为胃肠道;1为中心室;B为胆囊;ka,k10,k1B为一级转运速率常数。
, 百拇医药
根据此模型,有动力学方程:
当nTB≤t<(n+1)TB时,(n=0,1,2,…)
(1)
在静注情况下,当n=0时,xG(t)=0。
2 矩分析
我们知道,当药物消除仅发生在中心室,且消除为一级过程时,药物在体内的平均滞留时间为
MRT=AUMC/AUC (2)
其中,
, http://www.100md.com
由于肠—肝循环药物随胆囊收缩被释入胃肠道是不连续的,且其中只有一部分被重吸收,用(2)式来计算平均滞留时间便欠妥当。可改用下式进行计算[2]:
(3)
其中,Ab(t)为t时刻在身体内的总药量,D为用药剂量。同理,有
(4)
其中F为吸收分数。
不管药物消除是否仅发生在中心室,(3)、(4)式都是适用的。
由(3)、(4)式,可推得:

, 百拇医药
由(5)、(6)可得
(7)
在TB→0的极限情况下,即B室中的药量连续释入G室时,有
(8)
(9)
(10)
3 讨论
利用c-t方程,可分别得到一次静注或口服剂量D后c-t曲线下的面积;
(11)
(12)
, http://www.100md.com
其中,
为总合生物利用度[1]。
由(11)、(12)式可见,对于伴有肠—肝循环的药物,口服后其c-t曲线下的面积AUCp0与体内有效总药量FtD成正比,但总合生物利用度并不等于AUCp0与AUCiv之比。AUCp0与AUCiv之比仍为通常的吸收分数F。此结果对肠—肝循环药物的生物利用度的研究具有实际意义。
由(5)、(6)、(7)式可见,静注或口服给药后,药物在体内的平均滞留时间MRTiv、MRTp0均与胆囊收缩释放胆汁的时间间隔TB及重吸收分数FB有关,它们均随TB或FB增大而递增。而口服给药后的平均吸收时间MAT却与FB无关,它是TB的递减函数。
, http://www.100md.com
当循环回路被切断,即k1B=0时,药动学模型即被简化为经典的一室模型。在(5)、(6)、(7)式中分别令k1B=0,则得
MRTiv=1/k10 (13)
MRTp0=1/k10+1/ka (14)
MRT=1/ka (15)
这与经典一室模型的矩分析结果相同。
取FB=0.8,ka=1.0,k10=0.1,k1B=0.7,TB=4[1],按(2)、(3)、(4)式求得的结果列于附表。可见,按(AUMC)/(AUC)计算得到的MRTiv及MRTp0明显偏低,应引起我们的注意。
, 百拇医药
附表 两种不同方法算得的MRT、MAT

MRTiv
12.23
13.74
MRTp0
12.77
14.21
MAT
0.54
0.47
, http://www.100md.com
当体内的药量Ab(t)可测量时可由(3)、(4)、(5)式求得MRTiv、MRTp0及MAT。但在一般情况下,体内的药量无法直接测到,所以本文还只是关于肠—肝循环药物的MRT、MAT的一个理论推导。如何从血药浓度推得MRT与MAT,还待作进一步的分析研究。
参考文献
1 Zhou Huaiwu et al. Pharmacokinetic Models in Enterohepatic Circulation.生物数学学报,1991,6(2):97~105.
2 Peter Veng-Pedersen et. Mean Residence Time in Peripheral Tissue: A Linear Disposition Parameter Usefal for Evaluating a Drugs Tissue Distribution. J. Pharmacokin. Biopharm. 1984,12:535~543.
收稿日期:1998-11-03, 百拇医药
单位:浙江医科大学数学教研室 杭州310031
关键词:肠—肝循环;矩分析;平均滞留时间;平均吸收时间
数理医药学杂志990205
摘要 对已有的肠—肝循环药动学模型作了矩分析研究,导出了肠—肝循环药物的平均滞留时间MRTiv、MRTpo以及口服给药后的平均吸收时间MAT。
近十多年来,对药—时曲线多峰现象已有不少研究,肠—肝循环被认为是产生吸收多峰最可能的一种机制。周怀梧等已提出一般的肠—肝循环药物动力学模型[1]。
矩分析与经典的室分析一样,已在药动学研究中被广泛应用。本文对肠—肝循环药动学的矩分析方法作一些探讨。
, http://www.100md.com
1 室模型
某些药物被肝摄取后,能以代谢物或以原形泌入胆汁,经胆总管进入肠道,而后一部分被消除,另一部分则借门静脉血流再次入肝,形成肠—肝循环。在通过肠—肝循环而重吸收的药量足够大的情况下,一次给药所产生的血药浓度—时间曲线(c-t曲线)将呈双峰或多峰,相应的一室模型如附图所示[1]。假定每间隔一段时间TB,由于胆囊收缩,蓄积在B室中的药量DBi(i=1,2,…)瞬即释入G室,其中一部分(FBDBi,0≤FB≤1)再次进入血液循环,其余被消除。
附图 肠—肝循环模型
图中,G为胃肠道;1为中心室;B为胆囊;ka,k10,k1B为一级转运速率常数。
, 百拇医药
根据此模型,有动力学方程:
当nTB≤t<(n+1)TB时,(n=0,1,2,…)
在静注情况下,当n=0时,xG(t)=0。
2 矩分析
我们知道,当药物消除仅发生在中心室,且消除为一级过程时,药物在体内的平均滞留时间为
MRT=AUMC/AUC (2)
其中,
, http://www.100md.com
由于肠—肝循环药物随胆囊收缩被释入胃肠道是不连续的,且其中只有一部分被重吸收,用(2)式来计算平均滞留时间便欠妥当。可改用下式进行计算[2]:
其中,Ab(t)为t时刻在身体内的总药量,D为用药剂量。同理,有
其中F为吸收分数。
不管药物消除是否仅发生在中心室,(3)、(4)式都是适用的。
由(3)、(4)式,可推得:
, 百拇医药
由(5)、(6)可得
在TB→0的极限情况下,即B室中的药量连续释入G室时,有
3 讨论
利用c-t方程,可分别得到一次静注或口服剂量D后c-t曲线下的面积;
, http://www.100md.com
其中,
由(11)、(12)式可见,对于伴有肠—肝循环的药物,口服后其c-t曲线下的面积AUCp0与体内有效总药量FtD成正比,但总合生物利用度并不等于AUCp0与AUCiv之比。AUCp0与AUCiv之比仍为通常的吸收分数F。此结果对肠—肝循环药物的生物利用度的研究具有实际意义。
由(5)、(6)、(7)式可见,静注或口服给药后,药物在体内的平均滞留时间MRTiv、MRTp0均与胆囊收缩释放胆汁的时间间隔TB及重吸收分数FB有关,它们均随TB或FB增大而递增。而口服给药后的平均吸收时间MAT却与FB无关,它是TB的递减函数。
, http://www.100md.com
当循环回路被切断,即k1B=0时,药动学模型即被简化为经典的一室模型。在(5)、(6)、(7)式中分别令k1B=0,则得
MRTiv=1/k10 (13)
MRTp0=1/k10+1/ka (14)
MRT=1/ka (15)
这与经典一室模型的矩分析结果相同。
取FB=0.8,ka=1.0,k10=0.1,k1B=0.7,TB=4[1],按(2)、(3)、(4)式求得的结果列于附表。可见,按(AUMC)/(AUC)计算得到的MRTiv及MRTp0明显偏低,应引起我们的注意。
, 百拇医药
附表 两种不同方法算得的MRT、MAT
MRTiv
12.23
13.74
MRTp0
12.77
14.21
MAT
0.54
0.47
, http://www.100md.com
当体内的药量Ab(t)可测量时可由(3)、(4)、(5)式求得MRTiv、MRTp0及MAT。但在一般情况下,体内的药量无法直接测到,所以本文还只是关于肠—肝循环药物的MRT、MAT的一个理论推导。如何从血药浓度推得MRT与MAT,还待作进一步的分析研究。
参考文献
1 Zhou Huaiwu et al. Pharmacokinetic Models in Enterohepatic Circulation.生物数学学报,1991,6(2):97~105.
2 Peter Veng-Pedersen et. Mean Residence Time in Peripheral Tissue: A Linear Disposition Parameter Usefal for Evaluating a Drugs Tissue Distribution. J. Pharmacokin. Biopharm. 1984,12:535~543.
收稿日期:1998-11-03, 百拇医药