(1′R,2S,2′S)-2-(2-甲基-2-溴甲基-3-亚甲基)环戊基丙酸的合成
作者:管玫 吴勇*
单位:华西医科大学附一院,药学院* 成都 610041
关键词:(+)-内向-3-溴莰酮-2;光学活性;(1′R,2S,2′S)-2-(2-甲基-2-溴甲基-3-亚甲基)环戊基丙酸;合成
华西药学杂志990411 提要 以商业易得的(+)-内向-3-溴莰酮-2为手性源合成了光学活性的(1′R,2S,2′S)-2-
(2-溴甲基-2-甲基-3-亚甲基)环戊基丙酸。
THE SYNTHESIS OF (1′R,2S,2′S)-2-(2-BROMOMETHYL-2-
METHYL-3-METHYLENE)CYCLOPENTYLPROPIONIC ACID
, 百拇医药
Guan Mei Wu Yong*
(The First Affiliated Hospital, School of Pharmacy*,West China University of Medical Scineces Chengdu 610041)
ABSTRACT A method for synthesis of optically active (1′R, 2S, 2′S)-2-(2
-bromomethyl-2-methyl-3-methylene) cyclopentylpropionic acid starting from commercial available(+)-3-Endo-Bromocamphor is described.
Key Words (+)-3-Endo-bromocamphor Optical activity (1′R,2S,2′S)-2-(2
, 百拇医药
-Bromomethyl-2-methyl-3-methylene)cyclopentylpropionic acid Synthesis
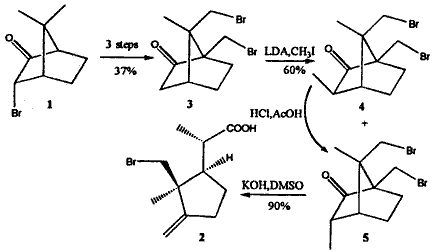
以商业易得的(+)-内向-3-溴莰酮-2(1)为手性源来合成某些天然化合物和手性合成子的研究已受到人们的重视[1,2]。在研究Vitamin D3类似物的全合成时,也计划采用(+)-内向-3-溴莰酮-2(1)为手性源来合成关键中间体(1′R,2S,2′S)-2-(2-甲基2-溴甲基-3-亚甲基)环戊基丙酸,并设计了如Scheme 1所示的合成路线。
Money等人[2,3]曾报道过(1)转化成(+)-外向-3-甲基-9,10-二溴莰酮(4)和它的差向异构体(5)的方法,但关键一步(+)-9,10-二溴莰酮(3)转化成(4)和(5)的反应收率仅34%。实验首先按Money等人[2]的方法,以(1)为原料,经3步合成化合物总收率为37%,随后详细地探讨了(3)转化成(4)和(5)的条件,并发现,当(3)与LDA、HMPA和碘甲烷的摩尔比为1∶1.2∶1.3∶5,在4℃反应3 h后,其收率可达60%,500 MHz NMR显示(4)和(5)的比例为1.8∶1。由于(5)是热力学更稳定的异构体[3],因此,将比例为1.8∶1的(4)和(5)的混合物在盐酸和醋酸混合液中回流16 h后,得到比例为1∶6的(4)和(5)收率90%,经柱层析和多次重结晶后,得光学纯的(5),两步收率可达42%。再将光学纯的(5)在碱催化下开环,即得目标物(2),其结构经IR、1H NMR和元素分析确证。
, 百拇医药
1 实验部分
1.1 仪器和试剂
所用试剂和溶剂为分析纯,用前按已知方法纯化和干燥[4]。熔点用X-4型显微熔点仪测定,未校正;旋光度用Perkin-Elmer 241型仪测定;IR用Perkin-Elmer 983型仪测定,KBr压片法;1H NMR用AM-500型仪测定,CDCl3为溶剂,TMS为内标;元素分析用Carl-Erba 1106型仪测定。
1.2 合成方法
1.2.1 (+)-9,10-二溴莰酮-2(3)的合成 参照文献方法[2]以(+)-内向-3-溴莰酮-2为原料,经3步得总收率为37%的白色固体(3),mp (98~99)℃,[α]20D68.5°(C 1.4,CHCl3),文献[2]mp (97~98)℃,[α]22D67°(C 1.1,CHCl3)。
, 百拇医药
1.2.2 (+)-内向-3-甲基-9,10-二溴莰酮-2(5)的合成 混合二异丙胺7 ml(52.3 mmol)和无水四氢呋喃100 ml,通氩气下,于0℃滴加正丁基锂的正己烷液19 ml(2.5 mol/L),搅拌40 min后,滴加(3)12.3 g(39.5 mmol)的无水四氢呋喃液50 ml,HMPA9 ml和碘甲烷28 g(198 mmol),恒温于4℃搅拌3 h后,冲入100 ml冰水中,用乙醚500 ml分两次提取,合并提取液,无水硫酸钠干燥,硅胶快速柱层析,得比例为1∶1.8的白色固体混合物(5)和(4)7.6 g,收率60%,并恢复(3)4 g。参照文献方法[3],用浓盐酸和醋酸处理(5)和(4)的混合物,经后处理和纯化得5.2 g光学纯的(5),两步收率42%。mp 63~64℃,[α]20D+47°(C 0.25,CH2Cl2),文献mp 62.5~
63℃,[α]22D+46.7°(C 0.30,CH2Cl2)。IRcm-1:2981,1731。1H NMR δ:1.11(3H,d,J=
, 百拇医药
8Hz),1.16(3H,s),2.43~2.54(2H,m),4.44~4.66(2H,AB quartet,J=12Hz),4.61~4.74
(2H,AB quartet,J=10Hz)。
1.2.3 (1′R,2S,2′S)-2-(2-甲基-2-溴甲基-3-亚甲基)环戊基丙酸(2)的合成 混合(5)1.56 g(4.8 mmol)、氢氧化钾1.35 g(24 mmol)、二甲亚砜51 ml和水10 ml,室温搅拌1 h,将此反应液冲入20 ml冰水中,乙醚100 ml洗,水层用浓盐酸酸化至pH 2~3,用乙醚200 ml分四次提取,合并提取液,无水硫酸钠干燥,经减压浓缩得1.1g(2),收率90%。[α]20D-81.2°(C
1.1,CHCl3)。IRcm-1:2550~3300,2964,1707,1653。1H NMR 5.00(1H,s),4.71(1H,S),3.55~
, 百拇医药
3.50(2H,d,J=10.5Hz),2.51(1H,dd,J=7.00,8.53Hz),2.40(2H,m),2.30(1H,m),1.80(1H,m),1.52
(1H,ddd,J=8.0,11.5,23.5Hz),1.31(3H,d,J=7.0Hz),1.10(3H,s)。元素分析(计算值/实测值%):
C 50.59/50.54,H 6.56/6.52。
*通讯联系人
参考文献
1 Hutchinson JH, Money T,Piper SE. Ring cleavage of camphor derivatives:formation of chiral synthon for natural product synthesis.Can J.Chem, 1986, 64∶854
, 百拇医药
2 Clase JA,Money T. An enantiospecific route to C, D ring synthon for steroid synthesis. Can J.Chem, 1992, 70∶1537
3 Hutchinson JH, Money T. Stereoselectivity of C(3)-methylation of camphor and derivatives. Can J. Chem, 1984, 62∶1899
4 Li SW, Fan RL. Handbook of practical chemistry. Shanghai:Shanghai sciences and technology press. 1981, 549, 百拇医药(管玫 吴勇*)
单位:华西医科大学附一院,药学院* 成都 610041
关键词:(+)-内向-3-溴莰酮-2;光学活性;(1′R,2S,2′S)-2-(2-甲基-2-溴甲基-3-亚甲基)环戊基丙酸;合成
华西药学杂志990411 提要 以商业易得的(+)-内向-3-溴莰酮-2为手性源合成了光学活性的(1′R,2S,2′S)-2-
(2-溴甲基-2-甲基-3-亚甲基)环戊基丙酸。
THE SYNTHESIS OF (1′R,2S,2′S)-2-(2-BROMOMETHYL-2-
METHYL-3-METHYLENE)CYCLOPENTYLPROPIONIC ACID
, 百拇医药
Guan Mei Wu Yong*
(The First Affiliated Hospital, School of Pharmacy*,West China University of Medical Scineces Chengdu 610041)
ABSTRACT A method for synthesis of optically active (1′R, 2S, 2′S)-2-(2
-bromomethyl-2-methyl-3-methylene) cyclopentylpropionic acid starting from commercial available(+)-3-Endo-Bromocamphor is described.
Key Words (+)-3-Endo-bromocamphor Optical activity (1′R,2S,2′S)-2-(2
, 百拇医药
-Bromomethyl-2-methyl-3-methylene)cyclopentylpropionic acid Synthesis
以商业易得的(+)-内向-3-溴莰酮-2(1)为手性源来合成某些天然化合物和手性合成子的研究已受到人们的重视[1,2]。在研究Vitamin D3类似物的全合成时,也计划采用(+)-内向-3-溴莰酮-2(1)为手性源来合成关键中间体(1′R,2S,2′S)-2-(2-甲基2-溴甲基-3-亚甲基)环戊基丙酸,并设计了如Scheme 1所示的合成路线。
Money等人[2,3]曾报道过(1)转化成(+)-外向-3-甲基-9,10-二溴莰酮(4)和它的差向异构体(5)的方法,但关键一步(+)-9,10-二溴莰酮(3)转化成(4)和(5)的反应收率仅34%。实验首先按Money等人[2]的方法,以(1)为原料,经3步合成化合物总收率为37%,随后详细地探讨了(3)转化成(4)和(5)的条件,并发现,当(3)与LDA、HMPA和碘甲烷的摩尔比为1∶1.2∶1.3∶5,在4℃反应3 h后,其收率可达60%,500 MHz NMR显示(4)和(5)的比例为1.8∶1。由于(5)是热力学更稳定的异构体[3],因此,将比例为1.8∶1的(4)和(5)的混合物在盐酸和醋酸混合液中回流16 h后,得到比例为1∶6的(4)和(5)收率90%,经柱层析和多次重结晶后,得光学纯的(5),两步收率可达42%。再将光学纯的(5)在碱催化下开环,即得目标物(2),其结构经IR、1H NMR和元素分析确证。
, 百拇医药
1 实验部分
1.1 仪器和试剂
所用试剂和溶剂为分析纯,用前按已知方法纯化和干燥[4]。熔点用X-4型显微熔点仪测定,未校正;旋光度用Perkin-Elmer 241型仪测定;IR用Perkin-Elmer 983型仪测定,KBr压片法;1H NMR用AM-500型仪测定,CDCl3为溶剂,TMS为内标;元素分析用Carl-Erba 1106型仪测定。
1.2 合成方法
1.2.1 (+)-9,10-二溴莰酮-2(3)的合成 参照文献方法[2]以(+)-内向-3-溴莰酮-2为原料,经3步得总收率为37%的白色固体(3),mp (98~99)℃,[α]20D68.5°(C 1.4,CHCl3),文献[2]mp (97~98)℃,[α]22D67°(C 1.1,CHCl3)。
, 百拇医药
1.2.2 (+)-内向-3-甲基-9,10-二溴莰酮-2(5)的合成 混合二异丙胺7 ml(52.3 mmol)和无水四氢呋喃100 ml,通氩气下,于0℃滴加正丁基锂的正己烷液19 ml(2.5 mol/L),搅拌40 min后,滴加(3)12.3 g(39.5 mmol)的无水四氢呋喃液50 ml,HMPA9 ml和碘甲烷28 g(198 mmol),恒温于4℃搅拌3 h后,冲入100 ml冰水中,用乙醚500 ml分两次提取,合并提取液,无水硫酸钠干燥,硅胶快速柱层析,得比例为1∶1.8的白色固体混合物(5)和(4)7.6 g,收率60%,并恢复(3)4 g。参照文献方法[3],用浓盐酸和醋酸处理(5)和(4)的混合物,经后处理和纯化得5.2 g光学纯的(5),两步收率42%。mp 63~64℃,[α]20D+47°(C 0.25,CH2Cl2),文献mp 62.5~
63℃,[α]22D+46.7°(C 0.30,CH2Cl2)。IRcm-1:2981,1731。1H NMR δ:1.11(3H,d,J=
, 百拇医药
8Hz),1.16(3H,s),2.43~2.54(2H,m),4.44~4.66(2H,AB quartet,J=12Hz),4.61~4.74
(2H,AB quartet,J=10Hz)。
1.2.3 (1′R,2S,2′S)-2-(2-甲基-2-溴甲基-3-亚甲基)环戊基丙酸(2)的合成 混合(5)1.56 g(4.8 mmol)、氢氧化钾1.35 g(24 mmol)、二甲亚砜51 ml和水10 ml,室温搅拌1 h,将此反应液冲入20 ml冰水中,乙醚100 ml洗,水层用浓盐酸酸化至pH 2~3,用乙醚200 ml分四次提取,合并提取液,无水硫酸钠干燥,经减压浓缩得1.1g(2),收率90%。[α]20D-81.2°(C
1.1,CHCl3)。IRcm-1:2550~3300,2964,1707,1653。1H NMR 5.00(1H,s),4.71(1H,S),3.55~
, 百拇医药
3.50(2H,d,J=10.5Hz),2.51(1H,dd,J=7.00,8.53Hz),2.40(2H,m),2.30(1H,m),1.80(1H,m),1.52
(1H,ddd,J=8.0,11.5,23.5Hz),1.31(3H,d,J=7.0Hz),1.10(3H,s)。元素分析(计算值/实测值%):
C 50.59/50.54,H 6.56/6.52。
*通讯联系人
参考文献
1 Hutchinson JH, Money T,Piper SE. Ring cleavage of camphor derivatives:formation of chiral synthon for natural product synthesis.Can J.Chem, 1986, 64∶854
, 百拇医药
2 Clase JA,Money T. An enantiospecific route to C, D ring synthon for steroid synthesis. Can J.Chem, 1992, 70∶1537
3 Hutchinson JH, Money T. Stereoselectivity of C(3)-methylation of camphor and derivatives. Can J. Chem, 1984, 62∶1899
4 Li SW, Fan RL. Handbook of practical chemistry. Shanghai:Shanghai sciences and technology press. 1981, 549, 百拇医药(管玫 吴勇*)