阿魏酸衍生物高分子药物的合成及其对血小板聚集和对TXB2,6-Keto-PGF1α释放的影响
作者:李天锡1 袁才英2 杨俊旺 单春文3
单位:李天锡1 袁才英2 兰州医学院药学系药物化学教研室,兰州 730000;杨俊旺 单春文3 解放军兰州医学高等专科学校药理教研室,兰州 730000
关键词:阿魏酸;吲哚美辛;高分子载体药物;血小板聚集
摘 要 以吲哚美辛摘 要 以吲哚美辛(1)为原料先经酯化反应和Knoevenagel缩合,再与可溶性淀粉连接,合成了侧链含有阿魏酸的高分子载体药物(4),该化合物未见文献报道.用比浊法和放免法测定了(4)体外对兔血小板聚集以及对TXB2,6-Keto-PGF1α含量的影响.化合物(4)240 μmol*L-1对AA诱导的兔血小板聚集的抑制率为39.6%,对TXB2释放的抑制率为28.7%.与吲哚美辛(1)或阿魏酸比较,阿魏酸衍生物高分子载体药物(4)显示有抑制兔体外血小板聚集和抑制TXB2,6-Keto-PGF1α释放的作用,呈现明显的药物协同作用.
, 百拇医药
Synthesis of the Polymeric Drug,a Derivative of Ferulic Acid
and Its Effect on Platelet Aggregation and
Release of TXB2 and 6-Keto-PGF1α
Li Tianxi,Yuan Caiying
Division of Medicinal Chemistry,Department of Pharmacy,Lanzhou Medical College,Lanzhou 730000
Yang Junwang,Shan Chunwen
, 百拇医药
Department of Pharmacology,Lanzhou Military Medical Academy,Lanzhou 730020
Abstract The polymeric drug(FAIS) which contains ferulic acid(FA) was synthesized from indomethacin via esterfication and the Knoevenagel condensation,and then conjunction with soluble starch(S).This new compound was obtained for the first time.The results of preliminary pharmacological tests showed that the FAIS could inhibit the rabbit platelet aggregation induced by arachidonic acid(AA) and release of TXB2 and 6-Keto-PGF1α.Its activity was stronger than that of FA and indomethacin.It was in evidence to express the good synergic effect.
, http://www.100md.com
Key words ferulic acid;indomethacin;polymeric drug;platelet aggregation
阿魏酸系当归、川芎等中草药的有效成分,具有抑制血小板聚集、抑制5-羟色胺从血小板中释放和阻抑静脉旁路血栓形成等作用〔1〕.吲哚美辛(1)具有抑制血小板聚集作用,为最强的前列腺素合成酶抑制剂之一,但因其毒副作用,使其应用受到限制.
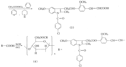
近年来报道,对阿魏酸进行结构改造可提高抗血小板聚集作用〔2,3〕.由于抗血小板聚集机制是通过抑制血小板的释放而与环氧酶抑制剂不尽相同〔1,4〕,选择吲哚美辛(1)与阿魏酸结合成酯(3),以可溶性淀粉为载体,设计合成了未见文献报道的一种抗血栓高分子载体药物(4),旨在实现缓释及协同作用,并期望可降低药物的毒副作用.
1 合成路线
, 百拇医药
采用香草醛与吲哚美辛(1)为原料,以DCC为缩合剂制得(2),并用Knoevenagel-Doebner O改良法得到化合物(3)〔5〕,合成路线见图1.
图1中的两步反应条件温和,较常规方法,即将(1)制成酰氯后与阿魏酸酯化制备(3),其后处理方便,此法收率较高、成本较低.经对(4)进行红外光谱、紫外光谱、元素分析及水解实验确证其化学结构.

Fig.1 Route of synthesis
, 百拇医药
2 合成实验
熔点用X4熔点显微测定仪测定,温度未校正.核磁共振氢谱用美国Varinn公司FT-80A型仪测定.质谱用英国VG公司ZAB-HS型色-质谱联用仪测定.红外光谱用美国Nicolet公司170SX型FT-IR仪测定.元素分析在意大利Carlo-Erba 1106全自动元素分析仪上完成.吲哚美辛由兰州制药厂提供.香草醛、丙二酸均为分析纯.可溶性淀粉为化学纯.
2.1 吲哚美辛香草醛酯(2)的制备
将4.74 g(0.023 mol)DCC溶于100 mL无水苯中,把此溶液加入7.50 g(0.021 mol)吲哚美辛(1)中,搅拌30 min后滴加3.04 g(0.02 mol)香草醛的无水苯溶液,于室温搅拌反应48 h,过滤,减压蒸除溶剂,得淡黄色固体,用丙酮重结晶,得白色结晶(2)9.1 g,收率:92.6%,mp 129.5~131.5℃.元素分析C27H22NO6Cl,实验值(%):C 65.88,H 4.47,N 2.87;计算值(%):C 65.92,H 4.48,N 2.85.1H-NMR(D3CCOCD3)δ:2.41(s,3H,—CH3),3.67(d,6H,—OCH3),4.06(s,2H,—CH2),6.50~7.66(Ar-H),9.83(s,1H,—CHO).MS m/e:491(M+),312(M-189),340(M-151),139(—COArCl),111(—ArCl).
, http://www.100md.com
2.2 吲哚美辛阿魏酸酯(3)的制备
将1.62 g(15.6 mmol)丙二酸溶于3.5 mL吡啶中,滴加0.5 mL哌啶和化合物(2)6.40 g(13 mmol)的苯溶液150 mL,室温搅拌2 h后升温回流7 h.反应毕减压蒸除溶剂,得黄色固体,用乙醇、水重结晶,得白色结晶5.0 g,收率:71.7%,mp 189.5~191.5℃.元素分析C29H24NO7Cl,实验值(%):C 65.74,H 4.95,N 2.64;计算值(%):C 65.24,H 4.5,N 2.62.1H-NMR(D3CCOCD3)δ:2.41(s,3H,—CH3),3.82(d,6H,—OCH3),4.06(s,2H,—CH2),7.11,7.24(2d,2H,J=8 Hz,H-5′,6′),7.43(d,1H,J=2 Hz,H-3′),6.72,6.98(2d,2H,J=9 Hz,H-6,7),7.18(d,1H,J=3 Hz,H-4),6.50(d,1H,J=17 Hz,CHCO————),7.60(d,1H,J=17 Hz,ArCH=
).MS m/e:533(M+),357(M-176),339(M-194),312(M-222).
, http://www.100md.com
2.3 淀粉-吲哚美辛阿魏酸酯(4)的合成
将0.324g(2 mmol)可溶性淀粉和0.534 g化合物(3)与30 mL DMSO混合,于搅拌下全溶后再加入0.412 g(2 mmol)DCC,加热至100℃反应4 h,抽滤,滤液减压浓缩至约10 mL,冷至室温,加入10 mL丙酮得白色沉淀,滤取沉淀,用甲醇、氯仿交替多次研洗,薄层检查无游离阿魏酸酯存在.
3 药理实验
实验动物为新西兰大白兔,由中山医科大学动物所提供.花生四烯酸(AA)为Fluck公司产品.6-Keto-PGF1α,TXB2放免盒由北京东亚免疫技术研究所提供.SPA-4多功能血小板聚集仪为上海科达测试仪器厂出品.
3.1 血小板聚集实验
, http://www.100md.com
参照比浊法〔6〕,以花生四烯酸(AA,3.33 μmol·L-1)诱导兔血小板聚集,测定吲哚美辛、阿魏酸、淀粉-吲哚美辛阿魏酸酯在12.5,60.0,240.0 μmol·L-1不同浓度下对血小板聚集的影响,记录5 min的聚集曲线,实验数据以x±s表示,组间比较采用t检验.结果见表1.
Tab.1 Effect of FAIS(compound 4)on the rabbit platelet aggregation induced by arachidonic acid(AA)in vitro
Compd.
Concentration/μmol.L-1
Platelet aggregation extent/%
, 百拇医药
(x±s)
Inhibition/%
control
0
62.3±8.9
ferulic acid
12.5
69.4±10.2③
-11.3
ferulic acid
60.0
53.0±13.4③
, 百拇医药
15.0
ferulic acid
240.0
50.8±10.0③
18.5
control
0
80.2±4.6
indomethacin
12.5
75.2±6.3
6.2
, 百拇医药
indomethacin
60.0
67.0±5.6②
16.5
indomethacin
240.0
64.0±5.5①
20.2
control
0
90.2±11.2
FAIS
, 百拇医药
12.5
78.8±15.8③
12.6
FAIS
60.0
68.3±11.2①
24.3
FAIS
240.0
54.5±10.9①
39.6
①P<0.01,②P<0.05,③P>0.053.2 TXB2和6-Keto-PGF1α的测定
, 百拇医药
采用放免法〔7〕观察吲哚美辛、阿魏酸、淀粉-吲哚美辛阿魏酸酯等药物(240 μmol·L-1)对AA诱导的兔血小板生成TXB2和6-Keto-PGF1α的影响,计算抑制率.结果见表2.
Tab.2 Effect of FAIS(compound 4)on the content of TXB2 and 6-Keto-PGF1α
in rabbit platelets induced by arachidonic acid(AA)in vitro(x±s,n=6)
Compd.
Concentration/μmol.L-1
, http://www.100md.com
TXB2
6-Keto-PGF1α
6-Keto-PGF1α/TXB2
Content/
ng.mL-1
Inhibition/%
Content/
ng.mL-1
Inhibition/%
control
, 百拇医药
0
82.1±10.4
167.2±6.4
2.04
ferulic acid
240.0
70.0±9.1②
14.8
165.2±6.9②
1.17
2.33
indomethacin
, 百拇医药
240.0
61.7±9.1①
24.9
123.4±5.3①
26.2
1.99
FAIS
240.0
58.5±3.8①
28.7
131.2±8.1①
, 百拇医药
21.4
2.25
①P<0.01,②P<0.05致谢:本实验承中国药科大学曹观坤教授提出宝贵意见;光谱分析、元素分析由中国药科大学、兰州大学测试中心测定.
兰州医学院药学系95届毕业生
解放军第一军医大学药理教研室
参 考 文 献
1.尹钟珠,张凌云,徐理纳.当归及其成分阿魏酸对大鼠血小板聚集和5-TH释放的影响.药学学报,1980,15(6):321~326
2.林迎晖,陈文为.阿魏酸钠的药理作用及分子改造前景.药学学报,1994,29(9):717~720
, 百拇医药
3.曹观坤,周金培,彭司勋.4-(2′-乙酰氧基苯甲酰基)阿魏酸的合成和生物活性.中国药科大学学报,1988,19(4):307~308
4.徐理纳,王润玲,徐德成.阿魏酸钠和阿斯匹林联用对大鼠血小板聚集的影响及对PGI2-TXA2平衡的调节.药学学报,1985,20(1):5~9
5.刘鹰翔,计志忠,徐颖,等.4-肉桂酰阿魏酸苯酚酯衍生物的合成及其抗炎活性.中国药物化学杂志,1997,7(1):18~22
6.Born GVR.Aggeration of blood platelet by adenosine diphosphate and its reversal.Nature,1962,194(4832):927~929
7.李振甲,杨梅芳,郝秀华,等.血浆血栓素B2放射免疫分析法.解放军医学杂志,1985,10(1):35~38
收稿日期:1999-02-06, 百拇医药(李天锡1 袁才英2 杨俊旺 单春文3)
单位:李天锡1 袁才英2 兰州医学院药学系药物化学教研室,兰州 730000;杨俊旺 单春文3 解放军兰州医学高等专科学校药理教研室,兰州 730000
关键词:阿魏酸;吲哚美辛;高分子载体药物;血小板聚集
摘 要 以吲哚美辛摘 要 以吲哚美辛(1)为原料先经酯化反应和Knoevenagel缩合,再与可溶性淀粉连接,合成了侧链含有阿魏酸的高分子载体药物(4),该化合物未见文献报道.用比浊法和放免法测定了(4)体外对兔血小板聚集以及对TXB2,6-Keto-PGF1α含量的影响.化合物(4)240 μmol*L-1对AA诱导的兔血小板聚集的抑制率为39.6%,对TXB2释放的抑制率为28.7%.与吲哚美辛(1)或阿魏酸比较,阿魏酸衍生物高分子载体药物(4)显示有抑制兔体外血小板聚集和抑制TXB2,6-Keto-PGF1α释放的作用,呈现明显的药物协同作用.
, 百拇医药
Synthesis of the Polymeric Drug,a Derivative of Ferulic Acid
and Its Effect on Platelet Aggregation and
Release of TXB2 and 6-Keto-PGF1α
Li Tianxi,Yuan Caiying
Division of Medicinal Chemistry,Department of Pharmacy,Lanzhou Medical College,Lanzhou 730000
Yang Junwang,Shan Chunwen
, 百拇医药
Department of Pharmacology,Lanzhou Military Medical Academy,Lanzhou 730020
Abstract The polymeric drug(FAIS) which contains ferulic acid(FA) was synthesized from indomethacin via esterfication and the Knoevenagel condensation,and then conjunction with soluble starch(S).This new compound was obtained for the first time.The results of preliminary pharmacological tests showed that the FAIS could inhibit the rabbit platelet aggregation induced by arachidonic acid(AA) and release of TXB2 and 6-Keto-PGF1α.Its activity was stronger than that of FA and indomethacin.It was in evidence to express the good synergic effect.
, http://www.100md.com
Key words ferulic acid;indomethacin;polymeric drug;platelet aggregation
阿魏酸系当归、川芎等中草药的有效成分,具有抑制血小板聚集、抑制5-羟色胺从血小板中释放和阻抑静脉旁路血栓形成等作用〔1〕.吲哚美辛(1)具有抑制血小板聚集作用,为最强的前列腺素合成酶抑制剂之一,但因其毒副作用,使其应用受到限制.
近年来报道,对阿魏酸进行结构改造可提高抗血小板聚集作用〔2,3〕.由于抗血小板聚集机制是通过抑制血小板的释放而与环氧酶抑制剂不尽相同〔1,4〕,选择吲哚美辛(1)与阿魏酸结合成酯(3),以可溶性淀粉为载体,设计合成了未见文献报道的一种抗血栓高分子载体药物(4),旨在实现缓释及协同作用,并期望可降低药物的毒副作用.
1 合成路线
, 百拇医药
采用香草醛与吲哚美辛(1)为原料,以DCC为缩合剂制得(2),并用Knoevenagel-Doebner O改良法得到化合物(3)〔5〕,合成路线见图1.
图1中的两步反应条件温和,较常规方法,即将(1)制成酰氯后与阿魏酸酯化制备(3),其后处理方便,此法收率较高、成本较低.经对(4)进行红外光谱、紫外光谱、元素分析及水解实验确证其化学结构.
Fig.1 Route of synthesis
, 百拇医药
2 合成实验
熔点用X4熔点显微测定仪测定,温度未校正.核磁共振氢谱用美国Varinn公司FT-80A型仪测定.质谱用英国VG公司ZAB-HS型色-质谱联用仪测定.红外光谱用美国Nicolet公司170SX型FT-IR仪测定.元素分析在意大利Carlo-Erba 1106全自动元素分析仪上完成.吲哚美辛由兰州制药厂提供.香草醛、丙二酸均为分析纯.可溶性淀粉为化学纯.
2.1 吲哚美辛香草醛酯(2)的制备
将4.74 g(0.023 mol)DCC溶于100 mL无水苯中,把此溶液加入7.50 g(0.021 mol)吲哚美辛(1)中,搅拌30 min后滴加3.04 g(0.02 mol)香草醛的无水苯溶液,于室温搅拌反应48 h,过滤,减压蒸除溶剂,得淡黄色固体,用丙酮重结晶,得白色结晶(2)9.1 g,收率:92.6%,mp 129.5~131.5℃.元素分析C27H22NO6Cl,实验值(%):C 65.88,H 4.47,N 2.87;计算值(%):C 65.92,H 4.48,N 2.85.1H-NMR(D3CCOCD3)δ:2.41(s,3H,—CH3),3.67(d,6H,—OCH3),4.06(s,2H,—CH2),6.50~7.66(Ar-H),9.83(s,1H,—CHO).MS m/e:491(M+),312(M-189),340(M-151),139(—COArCl),111(—ArCl).
, http://www.100md.com
2.2 吲哚美辛阿魏酸酯(3)的制备
将1.62 g(15.6 mmol)丙二酸溶于3.5 mL吡啶中,滴加0.5 mL哌啶和化合物(2)6.40 g(13 mmol)的苯溶液150 mL,室温搅拌2 h后升温回流7 h.反应毕减压蒸除溶剂,得黄色固体,用乙醇、水重结晶,得白色结晶5.0 g,收率:71.7%,mp 189.5~191.5℃.元素分析C29H24NO7Cl,实验值(%):C 65.74,H 4.95,N 2.64;计算值(%):C 65.24,H 4.5,N 2.62.1H-NMR(D3CCOCD3)δ:2.41(s,3H,—CH3),3.82(d,6H,—OCH3),4.06(s,2H,—CH2),7.11,7.24(2d,2H,J=8 Hz,H-5′,6′),7.43(d,1H,J=2 Hz,H-3′),6.72,6.98(2d,2H,J=9 Hz,H-6,7),7.18(d,1H,J=3 Hz,H-4),6.50(d,1H,J=17 Hz,CHCO————),7.60(d,1H,J=17 Hz,ArCH=
, http://www.100md.com
2.3 淀粉-吲哚美辛阿魏酸酯(4)的合成
将0.324g(2 mmol)可溶性淀粉和0.534 g化合物(3)与30 mL DMSO混合,于搅拌下全溶后再加入0.412 g(2 mmol)DCC,加热至100℃反应4 h,抽滤,滤液减压浓缩至约10 mL,冷至室温,加入10 mL丙酮得白色沉淀,滤取沉淀,用甲醇、氯仿交替多次研洗,薄层检查无游离阿魏酸酯存在.
3 药理实验
实验动物为新西兰大白兔,由中山医科大学动物所提供.花生四烯酸(AA)为Fluck公司产品.6-Keto-PGF1α,TXB2放免盒由北京东亚免疫技术研究所提供.SPA-4多功能血小板聚集仪为上海科达测试仪器厂出品.
3.1 血小板聚集实验
, http://www.100md.com
参照比浊法〔6〕,以花生四烯酸(AA,3.33 μmol·L-1)诱导兔血小板聚集,测定吲哚美辛、阿魏酸、淀粉-吲哚美辛阿魏酸酯在12.5,60.0,240.0 μmol·L-1不同浓度下对血小板聚集的影响,记录5 min的聚集曲线,实验数据以x±s表示,组间比较采用t检验.结果见表1.
Tab.1 Effect of FAIS(compound 4)on the rabbit platelet aggregation induced by arachidonic acid(AA)in vitro
Compd.
Concentration/μmol.L-1
Platelet aggregation extent/%
, 百拇医药
(x±s)
Inhibition/%
control
0
62.3±8.9
ferulic acid
12.5
69.4±10.2③
-11.3
ferulic acid
60.0
53.0±13.4③
, 百拇医药
15.0
ferulic acid
240.0
50.8±10.0③
18.5
control
0
80.2±4.6
indomethacin
12.5
75.2±6.3
6.2
, 百拇医药
indomethacin
60.0
67.0±5.6②
16.5
indomethacin
240.0
64.0±5.5①
20.2
control
0
90.2±11.2
FAIS
, 百拇医药
12.5
78.8±15.8③
12.6
FAIS
60.0
68.3±11.2①
24.3
FAIS
240.0
54.5±10.9①
39.6
①P<0.01,②P<0.05,③P>0.053.2 TXB2和6-Keto-PGF1α的测定
, 百拇医药
采用放免法〔7〕观察吲哚美辛、阿魏酸、淀粉-吲哚美辛阿魏酸酯等药物(240 μmol·L-1)对AA诱导的兔血小板生成TXB2和6-Keto-PGF1α的影响,计算抑制率.结果见表2.
Tab.2 Effect of FAIS(compound 4)on the content of TXB2 and 6-Keto-PGF1α
in rabbit platelets induced by arachidonic acid(AA)in vitro(x±s,n=6)
Compd.
Concentration/μmol.L-1
, http://www.100md.com
TXB2
6-Keto-PGF1α
6-Keto-PGF1α/TXB2
Content/
ng.mL-1
Inhibition/%
Content/
ng.mL-1
Inhibition/%
control
, 百拇医药
0
82.1±10.4
167.2±6.4
2.04
ferulic acid
240.0
70.0±9.1②
14.8
165.2±6.9②
1.17
2.33
indomethacin
, 百拇医药
240.0
61.7±9.1①
24.9
123.4±5.3①
26.2
1.99
FAIS
240.0
58.5±3.8①
28.7
131.2±8.1①
, 百拇医药
21.4
2.25
①P<0.01,②P<0.05致谢:本实验承中国药科大学曹观坤教授提出宝贵意见;光谱分析、元素分析由中国药科大学、兰州大学测试中心测定.
兰州医学院药学系95届毕业生
解放军第一军医大学药理教研室
参 考 文 献
1.尹钟珠,张凌云,徐理纳.当归及其成分阿魏酸对大鼠血小板聚集和5-TH释放的影响.药学学报,1980,15(6):321~326
2.林迎晖,陈文为.阿魏酸钠的药理作用及分子改造前景.药学学报,1994,29(9):717~720
, 百拇医药
3.曹观坤,周金培,彭司勋.4-(2′-乙酰氧基苯甲酰基)阿魏酸的合成和生物活性.中国药科大学学报,1988,19(4):307~308
4.徐理纳,王润玲,徐德成.阿魏酸钠和阿斯匹林联用对大鼠血小板聚集的影响及对PGI2-TXA2平衡的调节.药学学报,1985,20(1):5~9
5.刘鹰翔,计志忠,徐颖,等.4-肉桂酰阿魏酸苯酚酯衍生物的合成及其抗炎活性.中国药物化学杂志,1997,7(1):18~22
6.Born GVR.Aggeration of blood platelet by adenosine diphosphate and its reversal.Nature,1962,194(4832):927~929
7.李振甲,杨梅芳,郝秀华,等.血浆血栓素B2放射免疫分析法.解放军医学杂志,1985,10(1):35~38
收稿日期:1999-02-06, 百拇医药(李天锡1 袁才英2 杨俊旺 单春文3)