(±)-磷酸-氢-1,1′-联-2,2′-萘酯[(±)-BNP]的制备与拆分
作者:杨玉龙 宋炳生
单位:南京军区南京总医院 南京 210002
关键词:手性试剂;(±)-BNP;制备;拆分
华西药学杂志990513 提要 以2-萘酚为原料经联苯、磷酰化、水解等反应制备了(±)-BNP。后者用辛可宁拆分,经处理后得S-(+)-BNP和R-(-)-BNP。
PREPARATION AND RESOLUTION OF (±)-1,1-BINAPHTHYL-
2,2′-DIYL HYDROGEN PHOSPHATE [(±)-BNP]
Yang Yulong Song Bingsheng
(Nanjing General Hospital of Nanjing Armed Forces Nanjing 210002)
, 百拇医药
ABSTRACT (±)-BNP was prepared by 3 step reactions from 2-Naphthol, and resolved into S-(+)-BNP and R-(-)-BNP via the cinchonine salt.
Key Words Chiral reagent (±)-BNP Preparation Resolution
手性在药物的研究和发展中具有重要作用。获取单一对映体手性药物是深入研究手性药物的基础。而应用手性试剂对外消旋手性药物进行拆分则是获取单一对映体手性药物的重要方法。70年代,国外报道S-(+)-BNP是某些胺类手性药物的有效拆分剂[1~3]。实验曾应用该试剂成功地拆分了钙拮抗剂盐酸维拉帕米[4]。但其进口价格昂贵,国内尚无生产、市售。因此,参考有关文献方法[5,6],对部分反应条件进行改进,合成了(±)-BNP,并经拆分制得该试剂及其对映体R-(-)-BNP。
, 百拇医药
在由2-萘酚制备2,2′-联萘酚时,因2-萘酚在水中溶解度小,而不便于操作。文献采用在水中分两次加入2-萘酚的方法,现改用一次加料和将反应温度由80℃提高到90℃,并以沸点较低的甲醇代替甲苯作2,2′-联萘酚的重结晶溶剂,简化了操作,提高了产品收率。在由溶剂化的(±)-BNP酸解制备(±)-BNP时,文献报道在沸腾后立即冷却,但此时因反应中有大量气泡生成使部分溶剂化的(±)-BNP随气泡上升未被分解。实验将沸腾时间适当延长,取得满意效果。
1 实验部分
1.1 2,2′-联萘酚(1)
在90℃搅拌下,于40 min内将56 g(0.23mol)FeCl3.6H2O和400 ml水溶液滴加入28.8 g(0.2 mol)2-萘酚和2 000 ml水的悬浮液中。加毕继续搅拌30 min。冷至50℃,吸滤,滤饼用少许水洗涤三次,风干后用无水甲醇重结晶。得类白色固体(1)24 g,收率83.9%,mp215~218℃(文献[5]收率75%,mp 216℃)。

, 百拇医药
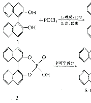
1.2 (±)-BNP(2)
将50 g(1)(0.175 mol)置于225 ml吡啶中。室温搅拌下10 min内将36.8 g POCl3(0.24 mol)滴入。加毕,升温至100℃后冷却至55℃,滴加入10 ml水,反应剧烈。加毕,冷至60℃,倾入一滴液漏斗中备用。
在室温搅拌下,于30 min内将上述制备的溶液滴加至450 ml盐酸(6 mol/L)中。加毕吸滤,滤饼置150 ml盐酸(6 mol/L)中,搅拌下沸腾30 min。冷至室温,吸滤,滤饼用水(10 ml×2)洗涤后空气中风干。得类白色固体(2)58 g,收率95.3%,>300℃不熔(文献[6]收率94~99%,>300℃不熔)。
1.3 S-(+)-BNP(3)和R-(-)-BNP(4) 将16 g(2)(0.045 mol)和13.6 g辛可宁(0.046 mol)加至153 ml甲醇中,再加少许活性炭沸腾15 min。冷后吸滤,回流下于35 min内滴加65 ml热水到滤液中。加毕,立即在强烈搅拌下用冷水浴冷却。放置4 h,吸滤,滤饼用甲醇-水(2∶1)(10 ml×3)洗涤。得白色固体(5)13 g,mp 227~229℃(文献[5]mp 227~228℃),[α]25D+416°(甲醇,C=1){文献[6][α]25D+424°(甲醇,C=0.99)}。
, 百拇医药
将13 g(5)溶解于85 ml 95%乙醇中。在75~78℃,搅拌下,于36 min内滴加96 ml盐酸(6 mol/L)。加毕,静置至20℃。吸滤,滤饼用水(15 ml×5)洗涤后风干。得白色固体(3)5 g,收率62.5%(按对映体计),[α]25D+602°(甲醇,C=1),>300℃不熔{文献[6]收率56%,[α]25D+595±7°(甲醇,C=0.98),>300℃不熔}。
过滤固体(5)之滤液减压下蒸去溶剂,残留物置于90 ml 95%乙醇中,加热至回流,固体溶解。内温75~80℃下,于40 min内滴加入100 ml盐酸(6 mol/L)。加毕,冰水浴冷却至15℃,静置30 min,吸滤,滤饼用水(15 ml×5)洗涤后风干,得白色固体(4)4 g,收率50%(按对映体计),[α]24D-591°(甲醇,C=1),>300℃不熔(文献[6][α]25D-595±7°(C=0.98),>300℃不熔)。
, 百拇医药
致谢 承本院药检室对旋光度的测定
参考文献
1 Jacques J, Fouquey C, Viterbo R. Enantiomeric cyclic binaphthyl phosphoric acids as resolving agent. Tetrahedron Letter, 1971,(48)∶4617
2 Arnold W, Daly JJ, Imhof R, et al.An efficient resolution of 3-PPP and assignment of the absolute configuration. Tetrahedron Letter, 1983,24(4)∶343
3 Cottfried B, Peter D. Process for resolution of verapamil into its enantiomers. Ger offen, 3723684.26 Jan 1989
, 百拇医药
4 杨玉龙,方刚,宋炳生.R-(+)-盐酸维拉帕米的制备.中国医药工业杂志,1997,28(12)∶537
5 Knabe J. Zur synthese des racemats und der enantiomere der 1, 1′-binaphthyl-2,2′-phosphorsaure. Pharmazie, 1989,44(4)∶294
6 Enantiomeric S-(+)-and R-(-)-1,1′-binaphthyl-2,2′-diyl hydrogen phosphate. Oganic syntheses Vol 8 (Coll).New York:John & Sons Inc,1993.50, 百拇医药
单位:南京军区南京总医院 南京 210002
关键词:手性试剂;(±)-BNP;制备;拆分
华西药学杂志990513 提要 以2-萘酚为原料经联苯、磷酰化、水解等反应制备了(±)-BNP。后者用辛可宁拆分,经处理后得S-(+)-BNP和R-(-)-BNP。
PREPARATION AND RESOLUTION OF (±)-1,1-BINAPHTHYL-
2,2′-DIYL HYDROGEN PHOSPHATE [(±)-BNP]
Yang Yulong Song Bingsheng
(Nanjing General Hospital of Nanjing Armed Forces Nanjing 210002)
, 百拇医药
ABSTRACT (±)-BNP was prepared by 3 step reactions from 2-Naphthol, and resolved into S-(+)-BNP and R-(-)-BNP via the cinchonine salt.
Key Words Chiral reagent (±)-BNP Preparation Resolution
手性在药物的研究和发展中具有重要作用。获取单一对映体手性药物是深入研究手性药物的基础。而应用手性试剂对外消旋手性药物进行拆分则是获取单一对映体手性药物的重要方法。70年代,国外报道S-(+)-BNP是某些胺类手性药物的有效拆分剂[1~3]。实验曾应用该试剂成功地拆分了钙拮抗剂盐酸维拉帕米[4]。但其进口价格昂贵,国内尚无生产、市售。因此,参考有关文献方法[5,6],对部分反应条件进行改进,合成了(±)-BNP,并经拆分制得该试剂及其对映体R-(-)-BNP。
, 百拇医药
在由2-萘酚制备2,2′-联萘酚时,因2-萘酚在水中溶解度小,而不便于操作。文献采用在水中分两次加入2-萘酚的方法,现改用一次加料和将反应温度由80℃提高到90℃,并以沸点较低的甲醇代替甲苯作2,2′-联萘酚的重结晶溶剂,简化了操作,提高了产品收率。在由溶剂化的(±)-BNP酸解制备(±)-BNP时,文献报道在沸腾后立即冷却,但此时因反应中有大量气泡生成使部分溶剂化的(±)-BNP随气泡上升未被分解。实验将沸腾时间适当延长,取得满意效果。
1 实验部分
1.1 2,2′-联萘酚(1)
在90℃搅拌下,于40 min内将56 g(0.23mol)FeCl3.6H2O和400 ml水溶液滴加入28.8 g(0.2 mol)2-萘酚和2 000 ml水的悬浮液中。加毕继续搅拌30 min。冷至50℃,吸滤,滤饼用少许水洗涤三次,风干后用无水甲醇重结晶。得类白色固体(1)24 g,收率83.9%,mp215~218℃(文献[5]收率75%,mp 216℃)。
, 百拇医药
1.2 (±)-BNP(2)
将50 g(1)(0.175 mol)置于225 ml吡啶中。室温搅拌下10 min内将36.8 g POCl3(0.24 mol)滴入。加毕,升温至100℃后冷却至55℃,滴加入10 ml水,反应剧烈。加毕,冷至60℃,倾入一滴液漏斗中备用。
在室温搅拌下,于30 min内将上述制备的溶液滴加至450 ml盐酸(6 mol/L)中。加毕吸滤,滤饼置150 ml盐酸(6 mol/L)中,搅拌下沸腾30 min。冷至室温,吸滤,滤饼用水(10 ml×2)洗涤后空气中风干。得类白色固体(2)58 g,收率95.3%,>300℃不熔(文献[6]收率94~99%,>300℃不熔)。
1.3 S-(+)-BNP(3)和R-(-)-BNP(4) 将16 g(2)(0.045 mol)和13.6 g辛可宁(0.046 mol)加至153 ml甲醇中,再加少许活性炭沸腾15 min。冷后吸滤,回流下于35 min内滴加65 ml热水到滤液中。加毕,立即在强烈搅拌下用冷水浴冷却。放置4 h,吸滤,滤饼用甲醇-水(2∶1)(10 ml×3)洗涤。得白色固体(5)13 g,mp 227~229℃(文献[5]mp 227~228℃),[α]25D+416°(甲醇,C=1){文献[6][α]25D+424°(甲醇,C=0.99)}。
, 百拇医药
将13 g(5)溶解于85 ml 95%乙醇中。在75~78℃,搅拌下,于36 min内滴加96 ml盐酸(6 mol/L)。加毕,静置至20℃。吸滤,滤饼用水(15 ml×5)洗涤后风干。得白色固体(3)5 g,收率62.5%(按对映体计),[α]25D+602°(甲醇,C=1),>300℃不熔{文献[6]收率56%,[α]25D+595±7°(甲醇,C=0.98),>300℃不熔}。
过滤固体(5)之滤液减压下蒸去溶剂,残留物置于90 ml 95%乙醇中,加热至回流,固体溶解。内温75~80℃下,于40 min内滴加入100 ml盐酸(6 mol/L)。加毕,冰水浴冷却至15℃,静置30 min,吸滤,滤饼用水(15 ml×5)洗涤后风干,得白色固体(4)4 g,收率50%(按对映体计),[α]24D-591°(甲醇,C=1),>300℃不熔(文献[6][α]25D-595±7°(C=0.98),>300℃不熔)。
, 百拇医药
致谢 承本院药检室对旋光度的测定
参考文献
1 Jacques J, Fouquey C, Viterbo R. Enantiomeric cyclic binaphthyl phosphoric acids as resolving agent. Tetrahedron Letter, 1971,(48)∶4617
2 Arnold W, Daly JJ, Imhof R, et al.An efficient resolution of 3-PPP and assignment of the absolute configuration. Tetrahedron Letter, 1983,24(4)∶343
3 Cottfried B, Peter D. Process for resolution of verapamil into its enantiomers. Ger offen, 3723684.26 Jan 1989
, 百拇医药
4 杨玉龙,方刚,宋炳生.R-(+)-盐酸维拉帕米的制备.中国医药工业杂志,1997,28(12)∶537
5 Knabe J. Zur synthese des racemats und der enantiomere der 1, 1′-binaphthyl-2,2′-phosphorsaure. Pharmazie, 1989,44(4)∶294
6 Enantiomeric S-(+)-and R-(-)-1,1′-binaphthyl-2,2′-diyl hydrogen phosphate. Oganic syntheses Vol 8 (Coll).New York:John & Sons Inc,1993.50, 百拇医药